茚地那韦
Indinavir(MK-639; L735524)是HIV蛋白酶抑制剂,具有很好的口服生物相容性。
产品名称
-
中文名茚地那韦
-
英文名Indinavir
-
中文别名[1(1S,2R),5(S)]-2,3,5-三去氧-N-(2,3-二氢-2-羟基.1H-茚-1-基)-5-[2-[[(1,1-二甲基乙基)氨基]羰基]-4-(3-吡啶基甲基)-1-哌嗪基]-2-(苯基甲基)-D-赤式-戊酰胺 | 吲地纳韦
-
英文别名
(1(1S,2R)5(S))-2,3,5-TRIDEOXY-N-(2,3-DIHYDRO-2HYDROXY-1H-INDEN-1-YI) (2S)-1-[(2S,4R,5E)-4-Benzyl-2,5-dihydroxy-5-{[(1S,2R)-2-hydroxy-2,3-dihydro-1H-inden-1-yl]imino}pentyl]-N-(2-methyl-2-propanyl)-4-(3-pyridinylmethyl)-2-piperazinecarboximidic acid (non-preferred name) (1(1S,2R),5(S))-2,3,5-Trideoxy-N-(2,3-dihydro-2-hydroxy-1H-inden-1-yl)-5-(2-(((1,1-dimethylethyl)amino)carbonyl)-4-(3-pyridinylmethyl)-1-piperazinyl)-2-(phenylmethyl)-D-erythro-pentonamide (2S)-1-[(2S,4R)-4-Benzyl-2-hydroxy-5-{[(1S,2R)-2-hydroxy-2,3-dihydro-1H-inden-1-yl]amino}-5-oxopentyl]-N-(2-methyl-2-propanyl)-4-(3-pyridinylmethyl)-2-piperazinecarboxamide (2S)-1-[(2S,4R)-4-Benzyl-2-hydroxy-5-{[(1S,2R)-2-hydroxy-2,3-dihydro-1H-inden-1-yl]amino}-5-oxopentyl]-N-tert-butyl-4-(pyridin-3-ylmethyl)piperazine-2-carboxamide (non-preferred name) N-[2(R)-hydroxy-1(S)-indanyl]-5-{[2(S)-tert-butylaminocarbonyl]-4-(3-pyridylmethyl)piperazino}-4(S)-hydroxy-2(R)-phenylmethylpentanamide (2S)-1-[(2S,4R)-4-benzyl-2-hydroxy-4-{[(1S,2R)-2-hydroxy-2,3-dihydro-1H-inden-1-yl]carbamoyl}butyl]-N-tertbutyl-4-(pyridin-3-ylmethyl)piperazine-2-carboxamide Indinavir -
常用名茚地那韦
-
C A S号150378-17-9
物理性质
-
密度1.2±0.1 g/cm3
-
沸点831.6±75.0 °C at 760 mmHg
-
熔点150-153ºC
-
化学式C36H47N5O4
-
结构式
1、 摩尔折射率:124.34
2、 摩尔体积(cm3/mol):328.7
3、 等张比容(90.2K):958.7
4、 表面张力(dyne/cm):72.3
5、 极化率(10-24cm3):49.29
-
闪点456.8±37.1 °C
-
分子量613.789
-
精确质量613.362793
-
P S A118.03000
-
外观形状
-
储存条件
-
稳定性
-
水溶解性
-
形态
-
H L B值
-
粘度
-
PH值
作用/用途
Indinavir(MK-639; L735524)是HIV蛋白酶抑制剂,具有很好的口服生物相容性。
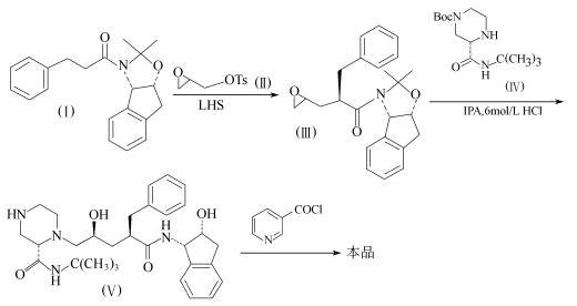
制备方法
在-50℃下,将弱碱Lithium hexamethyl disilazide(LHS)加到化合物(I)和(S)-(+)-脱水甘油醇甲苯磺酸酯(Ⅱ)的溶液中,然后升温至-25℃,反应可得72%收率的化合物(Ⅲ)。(Ⅲ)和化合物(Ⅳ)在异丙醇(IPA)中回流缩合,再加入6mol/L盐酸脱去N上的保护基,得到化合物(V)。最后和3-吡啶羧酰氯反应,即得产物,收率71%以化合物(Ⅲ)计。
安全提醒
MSDS
原料简介
应用范围
毒性和生态
安全信息
是否危险品
危险性
危险类别码
危险等级
触发危险方式
安全技术说明书
环境影响程度
包装与储运
相关供应商

搜索






