瑞巴派特
-
中文名瑞巴匹特
-
英文名Rebamipide
-
中文别名2-(4-氯苯甲酰胺基)-3-(1,2-二氢-2-氧代-4-喹啉基)丙酸 | 瑞巴派特
-
英文别名
1H-benzimidazol-2-yl(4-chlorophenyl)methanone 2-(4-chlorobenzoylamino)-3-[2(1H)-quinolinone-4-yl]propionic acid 4-quinolinepropanoic acid, α-[(4-chlorobenzoyl)amino]-2-hydroxy- Mucosta Proamipide 2-(4-Chlorobenzoylamino)-3-[2(1H)-quinolinon-4-yl]propionic acid 2-(4-Chlorobenzoylamino)-3-(1,2-dihydro-2-oxo-4-quinolyl)propionic acid 2-(4-chlorobenzamido)-3-(2-oxo-1,2-dihydroquinolin-4-yl)propanoic acid REBAMIPIDEREBAMIPIDE (R)-2-(4-chlorobenzamido)-3-(2-oxo-1,2-dihydroquinolin-4-yl)propanoic acid N-(4-Chlorobenzoyl)-3-(2-hydroxyquinolin-4-yl)alanine N-(4-Chlorobenzoyl)-3-(2-oxo-1,2-dihydro-4-quinolinyl)alanine REACTIVE ORANGE 122,CINO.ORANGE 122 (±)-a-(p-Chlorobenzamido)-1,2-dihydro-2-oxo-4-quinolinepropionic acid N-[(4-chlorophenyl)carbonyl]-3-(2-oxo-1,2-dihydroquinolin-4-yl)alanine MFCD00866895 N-(4-Chlorobenzoyl)-3-(2-oxo-1,2-dihydroquinolin-4-yl)alanine 2-[(4-chlorobenzoyl)amino]-3-(2-oxo-1H-quinolin-4-yl)propanoic acid 2-(4-chlorobenzoyl)benzimidazole Rebamipide 2-(4-chlorobenzoylamino)-3-[2(1H)-quinolon-4-yl]propionic acid 4-Quinolinepropanoic acid, α-[(4-chlorobenzoyl)amino]-1,2-dihydro-2-oxo- a-[(4-Chlorobenzoyl)amino]-1,2-dihydro-2-oxo-4-quinolinepropanoic acid -
常用名瑞巴派特
-
C A S号90098-04-7
-
密度1.4±0.1 g/cm3
-
沸点695.0±55.0 °C at 760 mmHg
-
熔点288-290ºC dec.
-
化学式C19H15ClN2O4
-
结构式
-
闪点374.1±31.5 °C
-
分子量370.786
-
精确质量370.072021
-
P S A99.26000
-
外观形状白色粉末
-
储存条件-20°C Freezer
-
稳定性
-
水溶解性
-
形态
-
H L B值
-
粘度
-
PH值
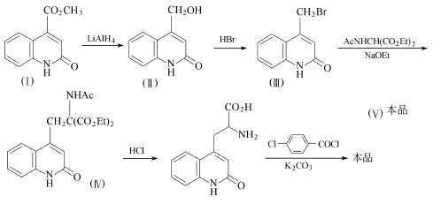
1.消旋瑞巴派特的制备。以2(1H)-喹啉酮-4-羧酸甲酯(I)为原料,经氢硼化锂还原为2(1H)-喹啉-4-基甲醇(II),再和氢溴酸作用溴化为4-溴甲基-2(1H)-喹啉酮(Ⅲ)。
乙酰氨基丙二酸二乙酯(12.0g,55mmo1)和金属钠(1.5g,65mmo1)溶于150ml无水乙醇,加热至沸,在搅拌下加入(Ⅲ)(12.0g,50mmo1),再回流2h。减压浓缩,剩余物倾入水。过滤收集析出的沉淀,用乙醇重结晶,得13.0g无色棱状结晶的化合物(Ⅳ),收率69%,熔点224~226℃(分解)。
化合物(Ⅳ)(5.0g,13mmo1)悬浮于150ml 20%盐酸,回流9h。减压浓缩至干,剩余物用乙醇-水重结晶,得3.2g无色棱状结晶的化合物(V),收率89%,熔点220~225℃(分解)。
化合物(V)(2.7g,10mmo1)和碳酸钾(4.2g,30mmo1)溶于100rnl丙酮和20ml水的混合溶液,在冰浴冷却和搅拌下,滴入对氯苯甲酰氯(2.1g,12mmo1),再搅拌2h。减压蒸去丙酮,剩余液用稀盐酸酸化。过滤收集析出的沉淀,用甲醇-水重结晶,得1.8g白色粉末状的瑞巴派特,收率49%,熔点288~290℃(分解)。
2.(-)-构型的制备。从消旋体拆分而得。21.6g消旋瑞巴派特悬浮于1100ml甲醇,加入23g(-)-二甲马钱子碱(brucine),形成的澄清溶液在室温下搅拌4h,再冷却过夜。过滤收集析出的沉淀,用冷甲醇洗。再重结晶4次得7.6g纯的盐,[α]D20+60.4°(C=1.0,氯仿)。将10%盐酸加到该盐的甲醇悬浮液中,过滤析出的沉淀,用水洗。然后用二甲基甲酰胺-水重结晶3次,得1.6g无色针状结晶的(-)-构型的瑞巴派特,收率14.8%,熔点305~306℃,[α]D20-116.7°(C=1.0,二甲基甲酰胺)。
3.(+)-构型的制备。将从上述(-)-构型的制备中第1次母液中得到的固体溶于甲醇,加入10%盐酸。过滤析出的沉淀,水洗后,悬浮于甲醇,再加入(-)-二甲马钱子碱,在室温搅拌1h。过滤除去不溶物,往滤液中加入浓盐酸。过滤收集析出的沉淀,水洗。用二甲基甲酰胺-水重结晶4次,得3g无色针状结晶的(+)一构型的瑞巴派特,收率27.8%,熔点305~306℃(分解),[α]D20+116.9°(C=1.0,二甲基甲酰胺)。
|
瑞巴派特
模块1. 化学品 产品名称: Rebamipide 模块2. 危险性概述 GHS分类 物理性危害未分类 健康危害未分类
环境危害未分类 GHS标签元素 图标或危害标志无 信号词无信号词 危险描述无 防范说明无 模块3. 成分/组成信息 单一物质/混和物单一物质 化学名(中文名):瑞巴派特 百分比: >95.0%(LC)(T) CAS编码: 90098-04-7 俗名: 2-(4-Chlorobenzamido)-3-[2(1H)-quinolinon-4-yl]propionic Acid 分子式: C19H15ClN2O4 模块4. 急救措施 吸入: 将受害者移到新鲜空气处,保持呼吸通畅,休息。若感不适请求医/就诊。 皮肤接触: 立即去除/脱掉所有被污染的衣物。用水清洗皮肤/淋浴。 若皮肤刺激或发生皮疹:求医/就诊。 眼睛接触:用水小心清洗几分钟。如果方便,易操作,摘除隐形眼镜。继续清洗。 如果眼睛刺激:求医/就诊。 食入: 若感不适,求医/就诊。漱口。 紧急救助者的防护:救援者需要穿戴个人防护用品,比如橡胶手套和气密性护目镜。 模块5. 消防措施 合适的灭火剂:干粉,泡沫,雾状水,二氧化碳 特殊危险性:小心,燃烧或高温下可能分解产生毒烟。 瑞巴派特 模块5. 消防措施 特定方法:从上风处灭火,根据周围环境选择合适的灭火方法。 非相关人员应该撤离至安全地方。 周围一旦着火:如果安全,移去可移动容器。 消防员的特殊防护用具:灭火时,一定要穿戴个人防护用品。 模块6. 泄漏应急处理 个人防护措施,防护用具, 使用个人防护用品。远离溢出物/泄露处并处在上风处。 紧急措施:泄露区应该用安全带等圈起来,控制非相关人员进入。 环保措施:防止进入下水道。 控制和清洗的方法和材料:清扫收集粉尘,封入密闭容器。注意切勿分散。附着物或收集物应该立即根据合适的 法律法规处置。 模块7. 操作处置与储存 处理 技术措施:在通风良好处进行处理。穿戴合适的防护用具。防止粉尘扩散。处理后彻底清洗双手 和脸。 注意事项:如果粉尘或浮质产生,使用局部排气。 操作处置注意事项:避免接触皮肤、眼睛和衣物。 贮存 储存条件:保持容器密闭。存放于凉爽、阴暗处。 远离不相容的材料比如氧化剂存放。 包装材料:依据法律。 模块8. 接触控制和个体防护 工程控制:尽可能安装封闭体系或局部排风系统,操作人员切勿直接接触。同时安装淋浴器和洗 眼器。 个人防护用品 呼吸系统防护:防尘面具。依据当地和政府法规。 手部防护:防护手套。 眼睛防护:安全防护镜。如果情况需要,佩戴面具。 皮肤和身体防护:防护服。如果情况需要,穿戴防护靴。 模块9. 理化特性 固体 外形(20°C): 外观: 晶体-粉末 颜色:白色类白色 气味:无资料 pH:无数据资料 熔点: 290°C (分解) 沸点/沸程无资料 闪点:无资料 爆炸特性 爆炸下限:无资料 爆炸上限:无资料 密度:无资料 溶解度: [水]无资料 [其他溶剂]无资料 瑞巴派特 模块10. 稳定性和反应性 化学稳定性:一般情况下稳定。 危险反应的可能性:未报道特殊反应性。 须避免接触的物质氧化剂 危险的分解产物: 一氧化碳, 二氧化碳, 氮氧化物 (NOx), 氯化氢 模块11. 毒理学信息 急性毒性: orl-rat LDLo:5 g/kg orl-rbt LD50:>3 g/kg ivn-rat LD50:700 mg/kg scu-mus LD50:2637 mg/kg 对皮肤腐蚀或刺激:无资料 对眼睛严重损害或刺激:无资料 生殖细胞变异原性:无资料 致癌性: IARC =无资料 NTP =无资料 生殖毒性:无资料 RTECS 号码: VC2518500 模块12. 生态学信息 生态毒性: 鱼类:无资料 甲壳类:无资料 藻类:无资料 残留性 / 降解性:无资料 潜在生物累积 (BCF):无资料 土壤中移动性 log水分配系数:无资料 土壤吸收系数 (Koc):无资料 亨利定律无资料 constant(PaM3/mol): 模块13. 废弃处置 如果可能,回收处理。请咨询当地管理部门。建议在可燃溶剂中溶解混合,在装有后燃和洗涤装置的化学焚烧炉中 焚烧。废弃处置时请遵守国家、地区和当地的所有法规。 模块14. 运输信息 联合国分类:与联合国分类标准不一致 UN编号:未列明 模块15. 法规信息 《危险化学品安全管理条例》(2002年1月26日国务院发布,2011年2月16日修订): 针对危险化学品的安全使用、 生产、储存、运输、装卸等方面均作了相应的规定。 瑞巴派特 模块16 - 其他信息 N/A |
| 海关编码 | 2933790090 |
|---|

搜索







