氟卡尼
【用途一】
新型、广谱、高效抗心律失常药。用于多种心律失常的防治,如室上性心动过速、心房颤动、单源性及多源性室性过早搏动综合征及其它抗心律失常药无效的病例。可作首选药物。
新型、广谱、高效抗心律失常药。用于多种心律失常的防治,如室上性心动过速、心房颤动、单源性及多源性室性过早搏动综合征及其它抗心律失常药无效的病例。可作首选药物。
产品名称
-
中文名氟卡尼
-
英文名flecainide
-
中文别名氟卡胺 | 消旋氟卡胺异构体 | N-(2-哌啶基甲基)-2,5-双(2,2,2-三氟乙氧基)苯甲酰胺 | 哌氟酰胺
-
英文别名
N-(2-Piperidinylmethyl)-2,5-bis(2,2,2-trifluoroethoxy)benzamide FLECAINTDE BASE N-(piperidin-2-ylmethyl)-2,5-bis(2,2,2-trifluoroethoxy)benzamide 2,5-bis-(2,2,2-Trifluoroethoxy)-n-(2-piperidyl-methyl)-benzamid EINECS 200-659-6 N-(2-piperidylmethyl)-2,5-bis(2,2,2-trifluoroethoxy)benzamide Flecainide Benzamide,N-(2-piperidinylmethyl)-2,5-bis(2,2,2-trifluoroethoxy) Flecanide Flecaine MFCD00864713 -
常用名氟卡尼
-
C A S号54143-55-4
物理性质
-
密度1.286 g/cm3
-
沸点434.9ºC at 760 mmHg
-
熔点105-1070C
-
化学式C17H20F6N2O3
-
结构式
1、 摩尔折射率:83.19
2、 摩尔体积(cm3/mol):305.5
3、 等张比容(90.2K):726.1
4、 表面张力(dyne/cm):31.8
5、 极化率(10-24cm3):32.98
-
闪点216.8ºC
-
分子量414.34300
-
精确质量414.13800
-
P S A59.59000
-
外观形状白色结晶
-
储存条件Refrigerator
-
稳定性
-
水溶解性
-
形态
-
H L B值
-
粘度
-
PH值
作用/用途
【用途一】
新型、广谱、高效抗心律失常药。用于多种心律失常的防治,如室上性心动过速、心房颤动、单源性及多源性室性过早搏动综合征及其它抗心律失常药无效的病例。可作首选药物。
新型、广谱、高效抗心律失常药。用于多种心律失常的防治,如室上性心动过速、心房颤动、单源性及多源性室性过早搏动综合征及其它抗心律失常药无效的病例。可作首选药物。
制备方法
方法1:以2,5-二羟基苯甲酸为原料,经三氟乙基化后,对2-氨甲基吡啶进行酰化得酰胺,最后在氧化铂存在下氢化得氟卡尼。
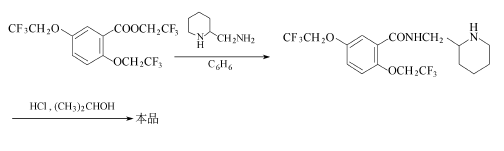
方法2:在氮气保护下,25min内,往28.4g(0.249mo1)2-氨甲基哌啶中滴加10.0g(0.0249 mo1)2,5-双(2,2,2-三氟乙氧基)苯甲酸-2,2,2-三氟乙酯。3h后,往该粘稠的反应液中,加入50ml苯,在45℃下继续搅拌40h。减压加热浓缩,以除去挥发性的组分。剩余物在冷却后固化,进行水蒸气蒸馏以进一步纯化,过滤,并用二氯甲烷萃取。萃取液用饱和氯化钠水溶液洗涤,无水硫酸镁干燥。过滤除去干燥剂,在搅拌下往滤液中加入4ml 8.4mol/L氯化氢的异丙醇溶液。搅拌2h后,冷却至0℃,过滤收集粗产品,用乙醚洗,真空干燥。然后活性炭脱色,用等量的异丙醇和甲醇重结晶,得盐酸氟卡尼,熔点228~229℃。
安全提醒
MSDS
原料简介
应用范围
毒性和生态
安全信息
| 符号 |
GHS02, GHS06, GHS08 |
|---|---|
| 信号词 | Danger |
| 危害声明 | H225-H301 + H311 + H331-H370 |
| 警示性声明 | P210-P260-P280-P301 + P310-P311 |
| 危害码 (欧洲) | F,T |
| 风险声明 (欧洲) | 11-23/24/25-39/23/24/25 |
| 安全声明 (欧洲) | 7-16-36/37-45 |
| 危险品运输编码 | 3249 |
| 包装等级 | III |
| 危险类别 | 6.1(b) |
是否危险品
危险性
危险类别码
危险等级
触发危险方式
安全技术说明书
环境影响程度
包装与储运
相关供应商

搜索







