司他夫定
Stavudine是核苷类似物,能抑制HIV逆转录酶。
产品名称
-
中文名司他夫定
-
英文名Stavudine
-
中文别名1-(2,3-Dideoxy-β-D-glycero-pent-2-enofuranosyl)thymine | 3'-脱氧-2',3'-双脱氢胸苷 | 2',3'-二脱氢-3'-脱氧胸苷 | 2',3'-二去氢-3'-去氧胸腺定 | 1-(2,3-Dideoxy-β-D-glycero-pent-2-e | 司他夫啶
-
英文别名
1-(2,3-Dideoxy-Beta-D-Glycero-2-Pentenofuranosyl)Thymine Sanilvudine Virostav 2,4(1H,3H)-Pyrimidinedione, 1-[(2R,5S)-2,5-dihydro-5-(hydroxymethyl)-2-furanyl]-5-methyl- 1-[(2R,5S)-5-(Hydroxymethyl)-2,5-dihydro-2-furanyl]-5-methyl-2,4(1H,3H)-pyrimidinedione 4-Hydroxy-1-[(2R,5S)-5-(hydroxymethyl)-2,5-dihydro-2-furanyl]-5-methyl-2(1H)-pyrimidinone Stavudine Stauvidine 3'-Deoxy-2'-thymidinene 1-(2,3-Dideoxy-β-D-glycero-2-pentenofuranosyl)thymine Zerit 1-[(2R,5S)-5-(Hydroxymethyl)-2,5-dihydrofuran-2-yl]-5-methylpyrimidin-2,4(1H,3H)-dion 2(1H)-Pyrimidinone, 1-[(2R,5S)-2,5-dihydro-5-(hydroxymethyl)-2-furanyl]-4-hydroxy-5-methyl- 2',3'-dideoxy-2',3'-didehydrothymidine 1-[(2R,5S)-5-(hydroxyméthyl)-2,5-dihydrofuran-2-yl]-5-méthylpyrimidine-2,4(1H,3H)-dione Thymidine, 2',3'-didehydro-3'-deoxy- 2',3'-didehydro-3'-deoxythimidine 1-(2,3-Dideoxy-b-glycero-pent-2-enofuranosyl)thymine D 4T D4T estavudina MFCD00132921 2',3'-Anhydrothymidine Stavir Avostav Sanilvudine (JAN) 1-[(2R,5S)-5-(hydroxymethyl)-2,5-dihydrofuran-2-yl]-5-methylpyrimidine-2,4(1H,3H)-dione 2',3'-Didehydro-3'-deoxythyMidine Thymine, 1-(2,3-dideoxy-β-D-glycero-pent-2-enofuranosyl)- (7CI,8CI) 2',3'-dideoxy-2',3'-didehydrothymine -
常用名司他夫定
-
C A S号3056-17-5
物理性质
-
密度1.5±0.1 g/cm3
-
沸点440.6±55.0 °C at 760 mmHg
-
熔点159-160°C
-
化学式C10H12N2O4
-
结构式
1、 摩尔折射率:53.85
2、 摩尔体积(cm3/mol):163.0
3、 等张比容(90.2K):441.1
4、 表面张力(dyne/cm):53.5
5、 极化率(10-24cm3):21.35
-
闪点220.3±31.5 °C
-
分子量224.213
-
精确质量224.079712
-
P S A84.32000
-
外观形状白色粉末
-
储存条件
密闭于-20 ºC阴凉干燥环境中
-
稳定性
-
水溶解性
-
形态无色颗粒状固体.
-
H L B值
-
粘度
-
PH值
作用/用途
Stavudine是核苷类似物,能抑制HIV逆转录酶。
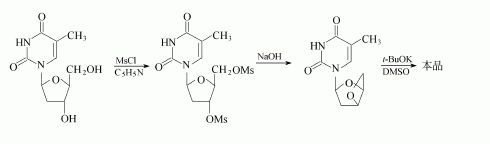
制备方法
胸苷溶于无水吡啶,冰盐冷却下滴加甲磺酰氯,搅拌、过滤,真空干燥,得磺酰化粗品。粗品用90%乙醇重结晶,得精品。将上述磺酰化产物溶于氢氧化钠水溶液,回流。用盐酸中和,蒸去溶剂,残液加氯仿,滤除不溶物,蒸去氯仿,用乙酸、乙醇结晶,得。色固体的环氧物。用乙醇重结晶2次可得白色絮状固体。将该环氧物溶于二甲亚砜,加入叔丁醇钾,在室温下搅拌。用50%乙酸的乙醇溶液中和至pH=7。减压浓缩,得到的物质用热丙酮洗涤。洗液过滤后浓缩,再加乙醇,活性炭脱色,过滤。蒸出乙醇,加少量苯旋转蒸发至溶液出现浑浊,静置。析出的固体用乙醇-苯(1:5)重结晶,得白色粉状的司他夫定。
安全提醒
MSDS
|
2',3'-二脱氢-3'-脱氧胸苷
修改号码:5
模块1. 化学品 产品名称: 2',3'-Didehydro-3'-deoxythymidine 修改号码: 5 模块2. 危险性概述 GHS分类 物理性危害未分类
健康危害 急性毒性(经口) 第5级 生殖细胞敏感性 第2级 特异性靶器官毒性器官 - 单一接触 [第2级] 环境危害未分类 GHS标签元素 图标或危害标志 信号词警告 危险描述吞咽可能有害。 怀疑会造成遗传缺陷 可能因延长或接触对器官产生损害: 器官 防范说明 [预防]使用前获取特定手册。 处理前必须阅读并理解所有安全措施。 切勿吸入。 使用个人所需的防护用具。 [急救措施] 如接触到或相关接触:求医/就诊。 [储存]存放处须加锁。 [废弃处置] 根据当地政府规定把物品/容器交与工业废弃处理机构。 模块3. 成分/组成信息 单一物质/混和物单一物质 化学名(中文名): 2',3'-二脱氢-3'-脱氧胸苷 2',3'-二脱氢-3'-脱氧胸苷 修改号码:5 模块3. 成分/组成信息 百分比: >98.0%(LC)(T) CAS编码: 3056-17-5 俗名: d4T , 2',3'-Anhydrothymidine , 1-(2,3-Dideoxy-β-D-glycero-2- pentenofuranosyl)thymine , Stavudine , Sanilvudine 分子式: C10H12N2O4 模块4. 急救措施 吸入: 将受害者移到新鲜空气处,保持呼吸通畅,休息。求医/就诊。 皮肤接触: 立即去除/脱掉所有被污染的衣物。用大量肥皂和水轻轻洗。 求医/就诊。 眼睛接触:用水小心清洗几分钟。如果方便,易操作,摘除隐形眼镜。 求医/就诊。 食入: 求医/就诊。漱口。 紧急救助者的防护:救援者需要穿戴个人防护用品,比如橡胶手套和气密性护目镜。 模块5. 消防措施 合适的灭火剂:干粉,泡沫,雾状水,二氧化碳 特殊危险性:小心,燃烧或高温下可能分解产生毒烟。 特定方法:从上风处灭火,根据周围环境选择合适的灭火方法。 非相关人员应该撤离至安全地方。 周围一旦着火:如果安全,移去可移动容器。 消防员的特殊防护用具:灭火时,一定要穿戴个人防护用品。 模块6. 泄漏应急处理 个人防护措施,防护用具, 使用特殊的个人防护用品(针对有毒颗粒的P3过滤式空气呼吸器)。远离溢出物/泄露 紧急措施:处并处在上风处。 泄露区应该用安全带等圈起来,控制非相关人员进入。 环保措施:防止进入下水道。 控制和清洗的方法和材料:清扫收集粉尘,封入密闭容器。注意切勿分散。附着物或收集物应该立即根据合适的 法律法规处置。 模块7. 操作处置与储存 处理 技术措施:在通风良好处进行处理。穿戴合适的防护用具。防止粉尘扩散。处理后彻底清洗双手 和脸。 注意事项:如果可能,使用封闭系统。如果粉尘或浮质产生,使用局部排气。 操作处置注意事项:避免所有部位的接触! 贮存 储存条件:保持容器密闭。存放于凉爽、阴暗处。 存放处须加锁。 远离不相容的材料比如氧化剂存放。 包装材料:依据法律。 模块8. 接触控制和个体防护 工程控制:尽可能安装封闭体系或局部排风系统。同时安装淋浴器和洗眼器。 个人防护用品 呼吸系统防护: 防尘面具,自携式呼吸器(SCBA),供气呼吸器等。使用通过政府标准的呼吸器。依 据当地和政府法规。 手部防护:防渗手套。 2',3'-二脱氢-3'-脱氧胸苷 修改号码:5 模块8. 接触控制和个体防护 眼睛防护:护目镜。如果情况需要,佩戴面具。 皮肤和身体防护:防渗防护服。如果情况需要,穿戴防护靴。 模块9. 理化特性 固体 外形(20°C): 外观: 晶体-粉末 颜色:白色类白色 气味:无资料 pH:无数据资料 熔点: 166°C (分解) 沸点/沸程无资料 闪点:无资料 爆炸特性 爆炸下限:无资料 爆炸上限:无资料 密度:无资料 溶解度: [水]溶于 [其他溶剂]无资料 模块10. 稳定性和反应性 化学稳定性:一般情况下稳定。 危险反应的可能性:未报道特殊反应性。 须避免接触的物质氧化剂 危险的分解产物: 一氧化碳, 二氧化碳, 氮氧化物 (NOx) 模块11. 毒理学信息 急性毒性: ivn-rat LD50:>1200 mg/kg orl-rat LD50:4 g/kg 对皮肤腐蚀或刺激:无资料 对眼睛严重损害或刺激:无资料 生殖细胞变异原性: dni-hmn-lym 20 umol/L cyt-mus-orl 600 mg/kg/3D-C 致癌性: IARC =无资料 NTP =无资料 生殖毒性:无资料 RTECS 号码: XP2075000 模块12. 生态学信息 生态毒性: 鱼类:无资料 甲壳类:无资料 藻类:无资料 残留性 / 降解性:无资料 潜在生物累积 (BCF):无资料 土壤中移动性 log水分配系数:无资料 土壤吸收系数 (Koc):无资料 2',3'-二脱氢-3'-脱氧胸苷 修改号码:5 模块12. 生态学信息 亨利定律无资料 constant(PaM3/mol): 模块13. 废弃处置 如果可能,回收处理。请咨询当地管理部门。建议在可燃溶剂中溶解混合,在装有后燃和洗涤装置的化学焚烧炉中 焚烧。废弃处置时请遵守国家、地区和当地的所有法规。 模块14. 运输信息 联合国分类:与联合国分类标准不一致 UN编号:未列明 模块15. 法规信息 《危险化学品安全管理条例》(2002年1月26日国务院发布,2011年2月16日修订): 针对危险化学品的安全使用、 生产、储存、运输、装卸等方面均作了相应的规定。 模块16 - 其他信息 N/A |
原料简介
应用范围
毒性和生态
安全信息
| 个人防护装备 | Eyeshields;Gloves;type N95 (US);type P1 (EN143) respirator filter |
|---|---|
| 危害码 (欧洲) | Xi |
| 风险声明 (欧洲) | R36/37/38 |
| 安全声明 (欧洲) | S26-S36 |
| 危险品运输编码 | NONH for all modes of transport |
| WGK德国 | 2 |
| RTECS号 | XP2075000 |
| 海关编码 | 2938901000 |
是否危险品
危险性
危险类别码
危险等级
触发危险方式
安全技术说明书
环境影响程度
包装与储运
相关供应商

搜索







