非那雄胺
-
中文名非那雄胺
-
英文名Finasteride
-
中文别名N-叔丁基-3-氧代-4-氮杂-5α-雄甾-1-烯-17β-甲酰胺 | N-tert-Butyl-3-oxo-4-aza-5α-androst-1-en-17β-carboxamide | 非那甾胺
-
英文别名
Proscar Finasteride (4aR,4bS,6aS,7S,9aS,9bS,11aR)-4a,6a-Dimethyl-N-(2-methyl-2-propanyl)-2-oxo-2,4a,4b,5,6,6a,7,8,9,9a,9b,10,11,11a-tetradecahydro-1H-indeno[5,4-f]quinoline-7-carboxamide 5H-Indeno[5,4-f]quinoline-7-carboximidic acid, N-(1,1-dimethylethyl)-4a,4b,6,6a,7,8,9,9a,9b,10,11,11a-dodecahydro-2-hydroxy-4a,6a-dimethyl-, (4aR,4bS,6aS,7S,9aS,9bS,11aR)- Prostide Finasterida (4aR,4bS,6aS,7S,9aS,9bS,11aR)-N-tert-Butyl-4a,6a-dimethyl-2-oxo-2,4a,4b,5,6,6a,7,8,9,9a,9b,10,11,11a-tetradecahydro-1H-indeno[5,4-f]quinoline-7-carboxamide 17b-(N-tert-Butylcarbamoyl)-4-aza-5a-androst-1-en-3-one (4aR,4bS,6aS,7S,9aS,9bS,11aR)-N-(1,1-diméthyléthyl)-4a,6a-diméthyl-2-oxo-2,4a,4b,5,6,6a,7,8,9,9a,9b,10,11,11a-tétradécahydro-1H-indéno[5,4-f]quinoléine-7-carboxamide (5a,17b)-(1,1-Dimethylethyl)-3-oxo-4-azaandrost-1-ene-17-carboxamide MK-906 (4aR,4bS,6aS,7S,9aS,9bS,11aR)-2-Hydroxy-4a,6a-dimethyl-N-(2-methyl-2-propanyl)-4b,5,6,6a,7,8,9,9a,9b,10,11,11a-dodecahydro-4aH-indeno[5,4-f]quinoline-7-carboximidic acid Chibro-Proscar Finastid Propecia Finpecia (4aR,4bS,6aS,7S,9aS,9bS,11aR)-N-tert-Butyl-4a,6a-dimethyl-2-oxo-2,4a,4b,5,6,6a,7,8,9,9a,9b,10,11,11a-tetradecahydro-1H-indeno[5,4-f]chinolin-7-carboxamid 1H-Indeno[5,4-f]quinoline-7-carboxamide, N-(1,1-dimethylethyl)-2,4a,4b,5,6,6a,7,8,9,9a,9b,10,11,11a-tetradecahydro-4a,6a-dimethyl-2-oxo-, (4aR,4bS,6aS,7S,9aS,9bS,11aR)- Propecia (TN) Proscar (TN) (1S,3aS,3bS,5aR,9aR,9bS,11aS)-N-tert-butyl-9a,11a-dimethyl-7-oxo-1,2,3,3a,3b,4,5,5a,6,9b,10,11-dodecahydroindeno[5,4-f]quinoline-1-carboxamide MFCD00869737 Finasteridum -
常用名非那雄胺
-
C A S号98319-26-7
-
密度1.1±0.1 g/cm3
-
沸点576.6±50.0 °C at 760 mmHg
-
熔点253 °C
-
化学式C23H36N2O2
-
结构式
1、 摩尔折射率:106.90
2、 摩尔体积(cm3/mol):349.5
3、 等张比容(90.2K):866.5
4、 表面张力(dyne/cm):37.7
5、 极化率(10-24cm3):42.38
-
闪点177.4±30.3 °C
-
分子量372.544
-
精确质量372.277679
-
P S A58.20000
-
外观形状白色至灰白色结晶粉末
-
储存条件
密封储存,储存于阴凉、干燥的库房。
-
稳定性
-
水溶解性
-
形态白色或类白色结晶性固体
-
H L B值
-
粘度
-
PH值
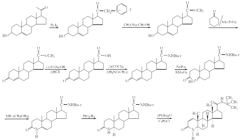
以孕烯醇酮为原料.先和吡啶作用,再和甲醇钠反应得3-羟基-5-雄甾烯-17β-羧酸甲酯(Ⅲ).再和异丙醇铝在甲苯和环己酮中,回流.过滤,洗涤,干燥,减压浓缩.加入石油醚,于5℃搅拌,抽滤得氧化产物(Ⅳ),收率74.6%.该氧化产物和95%乙醇及10%氢氧化钾溶液,在氮气保护下回流.减压蒸去乙醇后,用6mol几盐酸调至Ph值约为3.抽滤,滤饼用水洗至中性,干燥得水解产物(V),收率96.4%.水解产物溶于叔丁醇中,搅拌下加入无水碳酸钠的水溶液,回流下滴加高碘酸钠和高锰酸钾的水溶液,加毕回流.冷却,过滤.滤液减压蒸去大部分叔丁醇后,冰浴下用6mol/L盐酸调至Ph值约为2.乙酸乙酯提取,提取液用饱和氯化钠洗,干燥.减压蒸干,乙酸乙酯重结晶得开环产物(Ⅵ),收率66%.在冰浴冷却下,往乙二醇中通入氨气,加入开环产物,缓慢升至180℃反应.冷却,加水,用6mol/I.盐酸调至Ph值约为2.滤集固体,水洗至中性,用二甲基甲酰胺重结晶,得环合产物(Ⅶ),收率62.1%.该环合产物和二氧化铂、醋酸及少量高氯酸,在85℃和常压下氢化.滤去催化剂后,减压浓缩至干.残留物用二甲基甲酰胺重结晶,得氢化产物(Ⅷ),收率92.9%.该氢化产物和三苯基膦、甲苯及2,2’-二吡啶二硫化物(DPDS)混合,室温搅拌.柱层析分离得吡啶硫化物(Ⅸ),收率79.0%.该硫化物和无水四氢呋喃及叔丁胺,室温搅拌过夜,加入二氯甲烷,用2mol/L盐酸和饱和氯化钠洗,干燥,减压浓缩.残留物用乙酸乙酯重结晶,得酰胺产物(X),收率77.1%.该酰胺和苯亚硒酸酐及氯苯一起,回流并缓慢蒸出溶剂和生成的水.柱层析分离,粗品用乙酸乙酯重结晶,得白色的非那雄胺晶体,收率52.3%,熔点253~255℃.
1. 孕(甾)烯醇酮21-吡啶碘的制备
在反应器中加入孕(甾)烯醇酮3.0kg(0.47mol)和吡啶8L,搅拌预热至90ºC,于15~30min内往该混合液分批加入碘2.6kg(10.23mol),在加碘期间因放热反应而致使物料产生回流,加毕,保持温度>100ºC继续搅拌60min. 将混合物慢慢冷至室温,过滤,滤饼用吡啶2L洗3次,用乙醚3L洗两次,风干,得到孕(甾)烯醇酮21-吡啶碘粗品5.1kg,该品为棕黄色粉末,mp228~230ºC.
2. 3β-羟基-5-雄(甾)烯-17β-羧酸甲酯的制备
在反应器中加入甲醇钠574g(10.65mol)和甲醇15L(加料前反应器要充分干燥和用N2流驱赶反应器内空气),搅拌溶解,升温至回流,于15min内分批加入孕(甾)烯醇酮21-吡啶碘5.0kg(9.58mol),加毕,黏稠浆状物逐渐
溶解,将深色溶液再搅拌回流1h.2h内冷至45ºC,酯结晶析出,在强烈搅拌下加水15L,用6mol/L盐酸950ml中和,静置陈化1h后,将固体过滤,滤饼用甲醇/水(体积比为1:1)6L洗4次,直至固体颜色被大部分洗掉,抽干,于空气中风干得3β-羟基-5-雄(甾)烯-17β-羧酸甲酯粗品2.709kg,收率85%[以孕(甾)烯醇酮计],mp173~176ºC.
3. 3-羰基-4-雄(甾)烯-17β-羧酸的制备
在反应器中加入3β-羟基-5-雄(甾)烯-17β-羧酸甲酯2.65kg(7.96mol)、甲苯26L和环己酮6.6L,搅拌加热,直至馏出液收集3L.加入浆状异丙醇铝1.46kg(7.15mol)溶于甲苯6L的液体.将混合物回流1h,收集馏出液6L.冷至65ºC后,往混合物中加入活性炭66.g、Supercel 600g和水660ml,搅拌陈化15min后过滤,滤饼用乙酸乙酯6~8L洗数次,合并滤液洗液浓缩,黏稠浆状剩余物加水(500ml×3),减压共沸蒸除残留溶剂.剩余物加己烷4L,于5ºC下搅拌16h.然后在冰/甲醇浴冷却下搅拌1h.过滤,滤饼用冷己烷(500ml×2)洗,抽干,真空(50ºC)干燥, 得1.975kg,mp128~130ºC.
在反应器中加入1.84kg(5.58mol)和10%KOH甲醇溶液9.5L,搅拌和N2保护下回流6H进行皂化.反应毕,用6mol/L盐酸水溶液和水稀释,析出固体,过滤,滤饼真空干燥,得3-羰基-4-雄(甾)烯-17β-羧酸1.71kg,收率62.2%,mp245~248ºC.
4. N-叔丁基-3-羰基-4-雄甾烯-17β-甲酰胺的制备
在反应瓶中加入3-羰基-4-雄(甾)烯-17β-羧酸5.0g(15.8mmol)、无水甲苯50ml和吡啶1.6ml,冷至0ºC ,搅拌滴加草酰氯1.75ml(20mmol)的无水甲苯1.75ml溶液$10ºC以下滴加叔丁胺8.5ml(18mmol)的无水甲苯8.5ml溶液,加毕,室温搅拌10min.倒入冰水70ml,水层用乙酸乙酯(20ml×2)提取,合并有机相,依次用适量2mol/L盐酸溶液、饱和NaHCO3溶液和饱和NaCl溶液洗,无水Na2SO4干燥,过滤,滤液减压浓缩至干,剩余物用乙酸乙酯重结晶,得类白色晶体N-叔丁基-3-羰基-4-雄甾烯-17β-甲酰胺5.5g,收率93.7%,mp214~217ºC.
5. N-叔丁基-5-羰基-17β-氨甲酰基-A-失碳-3,5-开裂-雄甾-3-酸的制备
在反应瓶中加入N-叔丁基-3-羰基-4-雄甾烯-17β-甲酰胺4.0g(10.77mmol)和叔丁醇60ml,搅拌溶解,搅拌下加入无水Na2CO3 1.68g(10.85mmol)的水8ml溶液.搅拌回流下滴加含高碘酸钠16g(74.8mmol)和高锰酸钾13g(0.82mmol)的水60ml溶液.加毕,再搅拌回流30min.冷至室温,滤除固体.滤液减压蒸除大部分叔丁醇,残留液在冰浴下用6mol/L盐酸溶液调pH2左右,析出白色固体$抽滤后干燥,得白色粉末状固体N-叔丁基-5-羰基-17β-氨甲酰基-A-失碳-3,5-开裂-雄甾-3-酸3.55g,收率84.2%,mp202~204ºC.
6. N-叔丁基-3-羰基-4-氮杂-5-雄甾烯-17β-甲酰胺的制备
在反应瓶中加入N-叔丁基-5-羰基-17β-氨甲酰基-A-失碳-3,5-开裂-雄甾-3-酸3.55g(9.07mmol)和乙二醇18ml,搅拌下用冰浴降温,慢慢通入氨气1.2g(70.46mmol),缓慢升温至180ºC,在该温度下搅拌反应2h.冷至室温,加水50ml,抽滤,滤饼用水洗至中性,干燥,得粗品2.5g,用乙酸乙酯重结晶,得白色粉末状固体N-叔丁基-3-羰基-4-氮杂-5-雄甾烯-17β-甲酰胺2.25g,收率66.6%,mp>250ºC.
7. N-叔丁基-3-羰基-4-氮杂-5a-雄甾-17β-甲酰胺的制备
在反应瓶中加入N-叔丁基-3-羰基-4-氮杂-5-雄甾烯-17β-甲酰胺2.5g(6.71mmol),精确称取氧化铂0.25g和冰乙酸15ml,搅拌(快速),用N2置换加氢反应瓶中空气3次,慢慢升温至100ºC,通氢气(常压下),一直通至不吸收氢气为止,一般反应时间为6~8h.降温至室温,真空抽滤,滤饼用少量冰乙酸洗涤,滤饼为废催化剂可回收再生利用.滤液和洗液在减压下蒸除冰乙酸,残余物加适量乙酸乙酯和适量脱色用活性炭,搅拌回流20~30min,过滤,滤液冷却,静置(5ºC左右),析出白色晶体,过滤,抽干,于40~50ºC下真空干燥,得N-叔丁基-3-羰基-4-氮杂-5a-雄甾-17β-甲酰胺的白色结晶固体2.26g,收率90%,mp276~277ºC.
8. 非那雄胺的合成
在反应瓶中加入N-叔丁基-3-羰基-4-氮杂-5a-雄甾-17β-甲酰胺0.5g(1.33mmol)、苯亚硒酸酐0.68g(1.88mmol)和氯苯15ml,加热至回流并慢慢蒸出溶剂和生成水,搅拌反应4h.硅胶柱色谱分离得粗产品0.33g,用乙酸乙酯重结晶,得白色晶体0.26g,收率52.3%,mp276~277ºC.
|
非那甾胺
修改号码:5
模块1. 化学品 产品名称: Finasteride 修改号码: 5 模块2. 危险性概述 GHS分类 物理性危害未分类
健康危害 急性毒性(经口) 第4级 环境危害未分类 GHS标签元素 图标或危害标志 信号词警告 危险描述吞咽有害。 防范说明 [预防]使用本产品时切勿吃东西,喝水或吸烟。 处理后要彻底清洗双手。 [急救措施] 食入:若感不适,呼叫解毒中心/医生。漱口。 [废弃处置] 根据当地政府规定把物品/容器交与工业废弃处理机构。 模块3. 成分/组成信息 单一物质/混和物单一物质 化学名(中文名):非那甾胺 百分比: >98.0%(GC) CAS编码: 98319-26-7 俗名: N-tert-Butyl-3-oxo-4-aza-5α-androst-1-en-17β-carboxamide 分子式: C23H36N2O2 模块4. 急救措施 吸入: 将受害者移到新鲜空气处,保持呼吸通畅,休息。若感不适请求医/就诊。 非那甾胺 修改号码:5 模块4. 急救措施 皮肤接触: 立即去除/脱掉所有被污染的衣物。用水清洗皮肤/淋浴。 若皮肤刺激或发生皮疹:求医/就诊。 眼睛接触:用水小心清洗几分钟。如果方便,易操作,摘除隐形眼镜。继续清洗。 如果眼睛刺激:求医/就诊。 食入: 若感不适,呼叫解毒中心/医生。漱口。 紧急救助者的防护:救援者需要穿戴个人防护用品,比如橡胶手套和气密性护目镜。 模块5. 消防措施 合适的灭火剂:干粉,泡沫,雾状水,二氧化碳 特殊危险性:小心,燃烧或高温下可能分解产生毒烟。 特定方法:从上风处灭火,根据周围环境选择合适的灭火方法。 非相关人员应该撤离至安全地方。 周围一旦着火:如果安全,移去可移动容器。 消防员的特殊防护用具:灭火时,一定要穿戴个人防护用品。 模块6. 泄漏应急处理 个人防护措施,防护用具, 使用个人防护用品。远离溢出物/泄露处并处在上风处。 紧急措施:泄露区应该用安全带等圈起来,控制非相关人员进入。 环保措施:防止进入下水道。 控制和清洗的方法和材料:清扫收集粉尘,封入密闭容器。注意切勿分散。附着物或收集物应该立即根据合适的 法律法规处置。 模块7. 操作处置与储存 处理 技术措施:在通风良好处进行处理。穿戴合适的防护用具。防止粉尘扩散。处理后彻底清洗双手 和脸。 注意事项:如果粉尘或浮质产生,使用局部排气。 操作处置注意事项:避免接触皮肤、眼睛和衣物。 贮存 储存条件:保持容器密闭。存放于凉爽、阴暗处。 远离不相容的材料比如氧化剂存放。 包装材料:依据法律。 模块8. 接触控制和个体防护 工程控制:尽可能安装封闭体系或局部排风系统,操作人员切勿直接接触。同时安装淋浴器和洗 眼器。 个人防护用品 呼吸系统防护:防尘面具。依据当地和政府法规。 手部防护:防护手套。 眼睛防护:安全防护镜。如果情况需要,佩戴面具。 皮肤和身体防护:防护服。如果情况需要,穿戴防护靴。 模块9. 理化特性 固体 外形(20°C): 外观: 晶体-粉末 颜色:白色类白色 气味:无资料 pH:无数据资料 熔点: 253°C 非那甾胺 修改号码:5 模块9. 理化特性 沸点/沸程无资料 闪点:无资料 爆炸特性 爆炸下限:无资料 爆炸上限:无资料 密度:无资料 溶解度: [水]极微溶于 [其他溶剂] 易溶于: 甲醇, 氯仿, 乙醇, 二甲亚砜, 丙醇 极微溶于:丙二醇 模块10. 稳定性和反应性 化学稳定性:一般情况下稳定。 危险反应的可能性:未报道特殊反应性。 须避免接触的物质氧化剂 危险的分解产物: 一氧化碳, 二氧化碳, 氮氧化物 (NOx) 模块11. 毒理学信息 急性毒性:无资料 对皮肤腐蚀或刺激:无资料 对眼睛严重损害或刺激:无资料 生殖细胞变异原性:无资料 致癌性: IARC =无资料 NTP =无资料 生殖毒性:无资料 RTECS 号码: CL5245000 模块12. 生态学信息 生态毒性: 鱼类:无资料 甲壳类:无资料 藻类:无资料 残留性 / 降解性:无资料 潜在生物累积 (BCF):无资料 土壤中移动性 log水分配系数:无资料 土壤吸收系数 (Koc):无资料 亨利定律无资料 constant(PaM3/mol): 模块13. 废弃处置 如果可能,回收处理。请咨询当地管理部门。建议在可燃溶剂中溶解混合,在装有后燃和洗涤装置的化学焚烧炉中 焚烧。废弃处置时请遵守国家、地区和当地的所有法规。 模块14. 运输信息 联合国分类:与联合国分类标准不一致 UN编号:未列明 非那甾胺 修改号码:5 模块15. 法规信息 《危险化学品安全管理条例》(2002年1月26日国务院发布,2011年2月16日修订): 针对危险化学品的安全使用、 生产、储存、运输、装卸等方面均作了相应的规定。 模块16 - 其他信息 N/A |
| 符号 |
GHS07 |
|---|---|
| 信号词 | Warning |
| 危害声明 | H302 |
| 警示性声明 | P301 + P312 + P330 |
| 个人防护装备 | dust mask type N95 (US);Eyeshields;Faceshields;Gloves |
| 危害码 (欧洲) | T:Toxic |
| 风险声明 (欧洲) | R22;R60;R61 |
| 安全声明 (欧洲) | S36/37/39-S45-S53 |
| 危险品运输编码 | NONH for all modes of transport |
| WGK德国 | 3 |
| RTECS号 | CL5245000 |
| 海关编码 | 2937290090 |









