洛非西定
Lofexidine 是选择性的、 α2 受体 激动剂,常用于缓解海洛因和其他阿片类戒断的躯体症状。
产品名称
-
中文名洛非西定
-
英文名Lofexidine
-
中文别名2-[1-(2,6-二氯苯氧基)乙基]-4,5-二氢-IH-咪唑 | 2-[1-(2,6-二氯苯氧基)乙基]-2-咪唑啉 | 氯氧压定 | 2-(1-(2,6-二氯苯氧基)乙基)-4,5-二氢-1H-咪唑
-
英文别名
MFCD00865915 2-{1-[(2,6-dichlorophenyl)oxy]ethyl}-4,5-dihydro-1H-imidazole 2-(a-(2,6-dichlorophenoxy)ethyl)2-imidazoline Lofexidinum [INN-Latin] Lofexidina 1H-Imidazole, 2-[1-(2,6-dichlorophenoxy)ethyl]-4,5-dihydro- Britlofex Lofexidine (±)-2-[1-(2,6-Dichlorophenoxy)ethyl]-2-imidazoline Lofexidinum Lofexidine [INN:BAN] Lofexidina [INN-Spanish] 2-[1-(2,6-dichlorophenoxy)ethyl]-2-imidazoline UNII:UI82K0T627 (-)-2-[1-(2,6-dichlorophenoxy)-ethyl]-1,3-diazacyclopent-2-ene 2-[1-(2,6-Dichlorophenoxy)ethyl]-4,5-dihydro-1H-imidazole rac-2-[1-(2,6-dichlorophenoxy)ethyl]-1,3-diazacyclopent-2-ene -
常用名洛非西定
-
C A S号31036-80-3
物理性质
-
密度1.4±0.1 g/cm3
-
沸点421.5±35.0 °C at 760 mmHg
-
熔点215-225 °C
-
化学式C11H12Cl2N2O
-
结构式
1、 摩尔折射率:64.65
2、 摩尔体积(cm3/mol):186.3
3、 等张比容(90.2K):478.3
4、 表面张力(dyne/cm):43.4
5、 极化率(10-24cm3):25.63
-
闪点208.7±25.9 °C
-
分子量259.132
-
精确质量258.032654
-
P S A33.62000
-
外观形状
-
储存条件
-
稳定性
-
水溶解性
-
形态
-
H L B值
-
粘度
-
PH值
作用/用途
Lofexidine 是选择性的、 α2 受体 激动剂,常用于缓解海洛因和其他阿片类戒断的躯体症状。
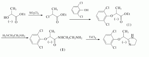
制备方法
方法1:(-)-2-羟基丙酸乙酯用硫酰氯氯化后,再和2,6-二氯苯酚缩合,得到的化合物和乙二胺反应,反应产物在四氯化钛作用下环合,得(-)-洛非西定。
方法2:化合物(Ⅲ)和2,6-二氯苯酚钠在二氧六烷中回流6h,得洛非西定,收率76.2%。
安全提醒
MSDS
原料简介
应用范围
毒性和生态
安全信息
| 安全声明 (欧洲) | S24/25 |
|---|---|
| WGK德国 | 3 |
是否危险品
危险性
危险类别码
危险等级
触发危险方式
安全技术说明书
环境影响程度
包装与储运
相关供应商

搜索








