 
                        奥克太啶
                                
					【用途1】
双吡啶胺类广谱抗菌药,为局部抗感染药。能有效地抑制血链球菌、内氏放线菌等,其抑制牙菌斑及防止牙龈炎的疗效良好。
                        双吡啶胺类广谱抗菌药,为局部抗感染药。能有效地抑制血链球菌、内氏放线菌等,其抑制牙菌斑及防止牙龈炎的疗效良好。
产品名称
                           - 
                                   中文名奥克太啶
- 
                                   英文名Octenidine
- 
                                   中文别名N,N'-[1,10-亚癸基二-1(4H)-吡啶-4-亚基]双(1-辛胺)
- 
                                   英文别名Octeniderm 1,1'-(1,10-Decanediyl)bis[1,4-dihydro-4-(octylimino)pyridine] 1,1'-Decamethylenebis(1,4-dihydro-4-(octylimino)pyridine) Octenisept NeoKodan 
- 
                                   常用名奥克太啶
- 
                                   C A S号71251-02-0
物理性质
                            - 
                                    密度0.94 g/cm3
- 
                                    沸点609.3ºC at 760 mmHg
- 
                                    熔点215-217ºC
- 
                                    化学式C36H62N4
- 
                                    结构式1、 摩尔折射率:177.02 2、 摩尔体积(cm3/mol):583.5 3、 等张比容(90.2K):1427.4 4、 表面张力(dyne/cm):35.8 5、 极化率(10-24cm3):70.17 
- 
                                    闪点N/A
- 
                                    分子量550.90400
- 
                                    精确质量550.49700
- 
                                    P S A34.58000
- 
                                    外观形状
- 
                                    储存条件
- 
                                    稳定性
- 
                                    水溶解性
- 
                                    形态
- 
                                    H L B值
- 
                                    粘度
- 
                                    PH值
作用/用途
                            
                                
					【用途1】
双吡啶胺类广谱抗菌药,为局部抗感染药。能有效地抑制血链球菌、内氏放线菌等,其抑制牙菌斑及防止牙龈炎的疗效良好。
                        双吡啶胺类广谱抗菌药,为局部抗感染药。能有效地抑制血链球菌、内氏放线菌等,其抑制牙菌斑及防止牙龈炎的疗效良好。
制备方法
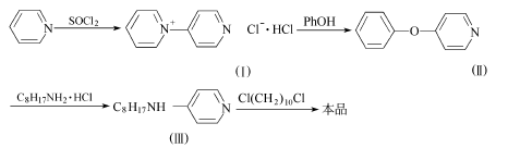
                             吡啶和氯化亚砜反应,可得到化合物(I)。
苯酚和化合物(I)混合,在160℃反应。加人辛胺盐酸盐,在220℃下反应。冷却,加入2mol/L盐酸,水蒸气蒸馏除去苯酚。再加入10%氢氧化钠溶液碱化。冷却,滤集固体,用稀盐酸溶解,脱色,加入10%氢氧化钠溶液碱化。滤集固体,水洗,干燥,得白色结晶的化合物(Ⅲ),收率60%。
化合物(Ⅲ)和二氯癸烷,在120℃下反应。冷至100℃左右,加入二甲基甲酰胺,搅拌溶解,自然冷却。滤集固体,得白色结晶的奥替尼啶,收率。70%。
安全提醒
                            MSDS
                            原料简介
                            应用范围
                            毒性和生态
                            安全信息
                            是否危险品
                            危险性
                            危险类别码
                            危险等级
                            触发危险方式
                            安全技术说明书
                            环境影响程度
                            包装与储运
                            相关供应商
     
        
 
                                     
                    
 
                 
            





 
                             
                 
                        