 
                        伊曲康唑
                                
					Itraconazole是抗真菌剂。
					 
					
				                            
                        产品名称
                           - 
                                   中文名伊曲康唑
- 
                                   英文名Itraconazole
- 
                                   中文别名4-[4-[4-[4-[[cis-2-(2,4-二氯苯基)-2-(1H-1,2,4-三唑-1-基甲基)-1,3-二氧戊环-4-基]甲氧基]苯基]哌嗪-1-基]苯基]-2-[(1RS)-1-甲基丙基]-1,2,4-三唑-3-酮 | 依他康唑 | 斯皮仁诺 | 亚特那唑 | 4-[4-[4-[4-[[2-(2,4-二氯苯基)-2-(1H-1,2,4-三唑-1-基甲基)-1,3-二氧戊环-4-基]甲氧基]苯基]-1-哌嗪基]苯基]-2,4-二氢-2-(1-甲基丙基)-3H-1,2,4-三唑-3-酮
- 
                                   英文别名2-(butan-2-yl)-4-{4-[4-(4-{[(2R,4S)-2-(2,4-dichlorophenyl)-2-(1H-1,2,4-triazol-1-ylmethyl)-1,3-dioxolan-4-yl]methoxy}phenyl)piperazin-1-yl]phenyl}-2,4-dihydro-3H-1,2,4-triazol-3-one Itrizole Candistat 3H-1,2,4-Triazol-3-one, 4-[4-[4-[4-[[(2R,4S)-2-(2,4-dichlorophenyl)-2-(1H-1,2,4-triazol-1-ylmethyl)-1,3-dioxolan-4-yl]methoxy]phenyl]-1-piperazinyl]phenyl]-2,4-dihydro-2-(1-methylpropyl)- Sporanos 2-sec-Butyl-4-{4-[4-(4-{[(2R,4S)-2-(2,4-dichlorophenyl)-2-(1H-1,2,4-triazol-1-ylmethyl)-1,3-dioxolan-4-yl]methoxy}phenyl)piperazin-1-yl]phenyl}-2,4-dihydro-3H-1,2,4-triazol-3-one 2-sec-Butyl-4-{4-[4-(4-{[(2R,4S)-2-(2,4-dichlorophenyl)-2-(1H-1,2,4-triazol-1-ylmethyl)-1,3-dioxolan-4-yl]methoxy}phenyl)-1-piperazinyl]phenyl}-2,4-dihydro-3H-1,2,4-triazol-3-one 2-(Butan-2-yl)-4-{4-[4-(4-{[(2R,4S)-2-(2,4-dichlorphenyl)-2-(1H-1,2,4-triazol-1-ylmethyl)-1,3-dioxolan-4-yl]methoxy}phenyl)piperazin-1-yl]phenyl}-2,4-dihydro-3H-1,2,4-triazol-3-on MFCD08064196 Itrac Cladosal 100 Canditral (±)-1-sec-Butyl-4-[p-[4-[p-[[(2R*,4S*)-2-(2,4-dichlorophenyl)-2-(1H-1,2,4-triazol-1-ylmethyl)-1,3-dioxolan-4-yl]methoxy]phenyl]-1-piperazinyl]phenyl]-d2-1,2,4-triazolin-5-one 4-(4-{4-[4-({[(2R,4S)-2-(2,4-dichlorophenyl)-2-(1H-1,2,4-triazol-1-ylmethyl)-1,3-dioxolan-4-yl]methyl}oxy)phenyl]piperazin-1-yl}phenyl)-2-(1-methylpropyl)-2,4-dihydro-3H-1,2,4-triazol-3-one 4-{4-[4-(4-{[(2R,4S)-2-(2,4-Dichlorphenyl)-2-(1H-1,2,4-triazol-1-ylmethyl)-1,3-dioxolan-4-yl]methoxy}phenyl)piperazin-1-yl]phenyl}-2-(1-methylpropyl)-2,4-dihydro-3H-1,2,4-triazol-3-on 4-{4-[4-(4-{[(2R,4S)-2-(2,4-dichlorophenyl)-2-(1H-1,2,4-triazol-1-ylmethyl)-1,3-dioxolan-4-yl]methoxy}phenyl)piperazin-1-yl]phenyl}-2-(1-methylpropyl)-2,4-dihydro-3H-1,2,4-triazol-3-one Itraconazole 
- 
                                   常用名伊曲康唑
- 
                                   C A S号84625-61-6
物理性质
                            - 
                                    密度1.4±0.1 g/cm3
- 
                                    沸点850.0±75.0 °C at 760 mmHg
- 
                                    熔点166°C
- 
                                    化学式C35H38Cl2N8O4
- 
                                    结构式1、 摩尔折射率:189.33 2、 摩尔体积(cm3/mol):502.0 3、 等张比容(90.2K):1372.7 4、 表面张力(dyne/cm):55.9 5、 极化率(10-24cm3):75.05 
- 
                                    闪点467.9±37.1 °C
- 
                                    分子量705.633
- 
                                    精确质量704.239319
- 
                                    P S A104.70000
- 
                                    外观形状灰白色结晶固体
- 
                                    储存条件2-8°C
- 
                                    稳定性
- 
                                    水溶解性
- 
                                    形态
- 
                                    H L B值
- 
                                    粘度
- 
                                    PH值
作用/用途
                            
                                
					Itraconazole是抗真菌剂。
					 
					
				                            
                        制备方法
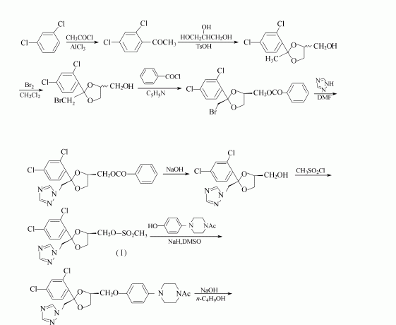
                            从间二氯苯出发,经和酮康唑完全相似的反应可得到化合物(I)。化合物(Ⅰ)再和1-乙酰基-4-(4-羟基苯基)哌嗪缩合,接着水解脱去乙酰基,和对硝基氯苯缩合,氢化还原,氯甲酸酯酰化,然后和水合肼反应后再环合,烷基化得伊曲康唑。其中间体1-乙酰基-4-(4-羟基苯基)哌嗪可以哌嗪为原料,经下面的反应来制备。
安全提醒
                            MSDS
                            | 
			  	
			  		伊曲康唑MSDS英文版
			  	
				 | 
原料简介
                            应用范围
                            毒性和生态
                            安全信息
                            | 符号 |   GHS07 | 
|---|---|
| 信号词 | Warning | 
| 危害声明 | H302-H315-H319-H335 | 
| 警示性声明 | P261-P305 + P351 + P338 | 
| 个人防护装备 | dust mask type N95 (US);Eyeshields;Faceshields;Gloves | 
| 危害码 (欧洲) | Xi:Irritant | 
| 风险声明 (欧洲) | R36/37/38 | 
| 安全声明 (欧洲) | S22-S26-S36 | 
| 危险品运输编码 | NONH for all modes of transport | 
| WGK德国 | 3 | 
| RTECS号 | XZ5481000 | 
| 海关编码 | 2934999090 | 
是否危险品
                            危险性
                            危险类别码
                            危险等级
                            触发危险方式
                            安全技术说明书
                            环境影响程度
                            包装与储运
                            相关供应商
     
        
 
                                     
                    
 
                 
            







 
                             
                 
                        