哌库溴铵
-
中文名哌库溴铵
-
英文名4,4'-((2beta,3alpha,5alpha,16beta,17beta)-3,17-Bis(acetyloxy)androstane-2,16-diyl)bis(1,1-dimethyl-piperazinium) dibromide
-
中文别名4,4'-[(2Β,3Α,5Α,16Β,17Β)-3,17-双(乙酰氧基)雄甾烷-2,16-亚基]双(1,1-二甲基哌嗪锚)二溴化物 | 阿端
-
英文别名
PIPECURINIUM BROMIDE PIPECURIUM BROMIDE Ardtm Pipecuronium RGH-1106 EINECS 257-740-4 Arduan (tn) pipecuronium bromide Pipecuroniumbromid Pipecuriurn Brmnide Arduan -
常用名哌库溴铵
-
C A S号52212-02-9
-
密度1.329
-
沸点N/A
-
熔点262-264ºC
-
化学式C35H62Br2N4O4
-
结构式
-
闪点N/A
-
分子量762.69900
-
精确质量760.31400
-
P S A59.08000
-
外观形状
-
储存条件
-
稳定性
-
水溶解性
-
形态
-
H L B值
-
粘度
-
PH值
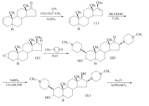
5α-雄甾-2-烯-17-酮在硫酸催化下,和乙酸异丙烯酯反应,得化合物(I),收率80%,熔点96~98℃。
90g化合物(I)溶于500ml苯中,在冷却和搅拌下,于1h内加入92g过苯甲酸在1000ml苯中的溶液,在室温下放置5h。反应液用冰冷却过的氢氧化钠溶液洗,然后水洗,无水硫酸镁干燥。减压浓缩,剩余物用乙醚重结晶,得80g化合物(Ⅱ),收率81%,熔点182~184℃。
20g化合物(Ⅱ)溶于100ml N-甲基哌嗪和30ml水的混合液,在氮气中回流70h。减压蒸出过量的N-甲基哌嗪,剩余物和2倍量的乙腈混合,沸腾回流数分钟。冷至0℃,过滤析出的白色结晶,真空干燥至恒重,得19g化合物(Ⅲ),收率63%,熔点199~201℃。
10.6g化合物(Ⅲ)溶于50ml四氢呋喃和50ml甲醇的混合液,加入9g过量的硼氢化钠,搅拌6h。减压蒸出溶剂,剩余物溶于氯仿。先用2%氢氧化钠溶液洗,然后用水洗。干燥后蒸出溶剂,剩余物用氯仿和丙酮混合液重结晶,得9.3g化合物(Ⅳ),收率91%,熔点264~267℃。
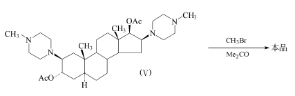
5.8g化合物(Ⅳ)溶于20ml乙酸酐和5ml乙酸的混合液,加入0.5g氯化锌,在室温下搅拌3h。反应液倾人250ml水,于0℃放置。过滤出沉淀,溶于乙醚,用水洗至中性。蒸去溶剂,再用正己烷重结晶,得5g化合物(V),收率71%,熔点128~130℃。
37.4g化合物(V)和16g溴甲烷溶于1300ml丙酮,在室温下保持30h。过滤析出的结晶,用二氯甲烷和丙酮的混合液来提纯,得48g哌库溴铵,收率92%,熔点262~264℃(分解)。
最后一步反应如下。4g化合物(V)溶于40ml二氯甲烷和20ml硝基甲烷的混合液中,加入9ml溴甲烷。在压力管中于室温下放置2d。过滤除去三甲基化的溴化物副产物。滤液用乙醚稀释,过滤形成的固体,用二氯甲烷和乙醚混合液重结晶,得哌库溴铵。
| 危害码 (欧洲) | Xi |
|---|---|
| 风险声明 (欧洲) | R36/37/38:Irritating to eyes, respiratory system and skin . |
| 安全声明 (欧洲) | S26-S36 |
| WGK德国 | 3 |
| RTECS号 | GN6820000 |
| 海关编码 | 29322980 |

搜索







