折尼铂
第三代铂络合物抗肿瘤药,在开发中。
产品名称
-
中文名折尼铂
-
英文名zeniplatin
-
中文别名(SP-4-2)-[2,2-双(氨基甲基)-1,3-丙二醇-N,N,][1,1-环丁烷二羧酸络(2-)-O,O']铂
-
英文别名
anti-antheraxanthin Antheraxanthin (1,3-dihydroxy-2,2-bis(aminomethyl)propane)(1,1-cyclobutanedicarboxylato)platinum(II) zeaxanthin monoepoxide -
常用名折尼铂
-
C A S号111490-36-9
物理性质
-
密度N/A
-
沸点366.4ºC at 760 mmHg
-
熔点N/A
-
化学式C11H20N2O6Pt
-
结构式
-
闪点189.6ºC
-
分子量471.36400
-
精确质量471.09700
-
P S A145.10000
-
外观形状
-
储存条件
-
稳定性
-
水溶解性
-
形态
-
H L B值
-
粘度
-
PH值
作用/用途
第三代铂络合物抗肿瘤药,在开发中。
制备方法
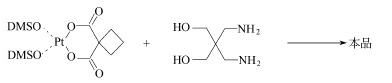
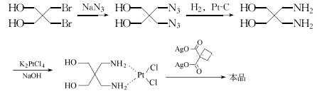
其制备和Enloplatin完全相似。可将2,2-二溴甲基-1-3-丙二醇通过和叠氮钠反应后还原,得2,2-二胺甲基-1,3-丙二醇,再先后和氯亚铂酸钾及环丁烷-1,1-二羧酸银反应得产品。
同样也可以先将氯亚铂酸钾和二甲亚砜反应后,再和环丁烷-1,1-二羧酸银缩合,得(1,1-环丁烷二羧酸-O,O'-)双二甲亚砜合铂。
再将该铂络合物和2,2-胺甲基丙二醇反应,得到产品。
安全提醒
MSDS
原料简介
应用范围
毒性和生态
安全信息
是否危险品
危险性
危险类别码
危险等级
触发危险方式
安全技术说明书
环境影响程度
包装与储运
相关供应商

搜索








