头孢唑兰
Cefozopran(SCE 2787)是第四代头孢菌素。
产品名称
-
中文名头孢唑兰
-
英文名Cefozopran
-
中文别名1-[[(6R,7R)-7-[(Z)-2-(5-氨基-1,2,4-噻二唑-3-基)-2-甲氧亚氨基乙酰胺基]-2-羧基-8-氧代-5-硫杂-1-氮杂双环[4.2.0]辛-2-烯-3-基]甲基]咪唑并[1,2-b]哒嗪鎓氢氧化物内盐
-
英文别名
(6R,7R)-7-{[(2Z)-2-(5-Amino-1,2,4-thiadiazol-3-yl)-2-(methoxyimino)acetyl]amino}-3-(imidazo[1,2-b]pyridazin-1-ium-1-ylmethyl)-8-oxo-5-thia-1-azabicyclo[4.2.0]oct-2-ene-2-carboxylate MFCD00883679 Firstcin) sce2787 [6R-[6a,7b(Z)]]-1-[[7-[[(5-Amino-1,2,4-thiadiazol-3-yl)(methoxyimino)acetyl]amino]-2-carboxy-8-oxo-5-thia-1-azabicyclo[4.2.0]oct-2-en-3-yl]methyl]imidazo[1,2-b]pyridazinium inner salt Cefozopran Firstcin Firstci Imidazo[1,2-b]pyridazinium, 1-[[(6R,7R)-7-[[(2Z)-2-(5-amino-1,2,4-thiadiazol-3-yl)-2-(methoxyimino)-1-oxoethyl]amino]-2-carboxy-8-oxo-5-thia-1-azabicyclo[4.2.0]oct-2-en-3-yl]methyl]-, inner salt SCE-1787 -
常用名头孢唑兰
-
C A S号113359-04-9
物理性质
-
密度1.59 g/cm3
-
沸点N/A
-
熔点>300°C
-
化学式C19H17N9O5S2
-
结构式
-
闪点N/A
-
分子量515.526
-
精确质量515.079407
-
P S A238.39000
-
外观形状白色至灰白的-黄色粉末
-
储存条件
-
稳定性
-
水溶解性
-
形态
-
H L B值
-
粘度
-
PH值
作用/用途
Cefozopran(SCE 2787)是第四代头孢菌素。
制备方法
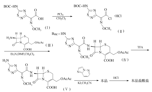
2-(5-叔丁氧羰基氨基-1,2,4-噻二唑-3-基)-2(Z)-甲氧基亚氨基乙酸(I,302mg)溶于4 ml二氯甲烷,加入208mg五氯化磷,在冰浴冷却下搅拌15min。浓缩,加入正己烷,再浓缩。残物溶于4ml二氯甲烷,在冰浴冷却和搅拌下,将其加到300mg 7-AACA(Ⅲ)和O.6ml三乙胺在5ml二甲基甲酰胺的溶液中,搅拌30min。加入10ml 10%磷酸,用甲基乙基酮提取。提取液水洗,干燥,浓缩。残物溶于50ml乙酸乙酯,再浓缩,得到390mg化合物(Ⅳ),收率65%。
13g化合物(Ⅳ)和50ml三氟乙酸,在冰浴冷却下搅拌,再在室温下搅拌30min。浓缩,加入乙酸乙酯,再浓缩。往残液中加入100ml乙醚,过滤收集产生的粉末,干燥,得10g化合物(V),收率92%。
1.1g化合物(V)、1.0g咪唑并[1,2-b]哒嗪和1.1g碘化钾溶于50%乙腈水溶液,在60--70℃下搅拌2h。冷却,经硅胶层析,以丙酮和80%丙酮水溶液洗脱。收集含产物的组分,浓缩。残物经MCl胶CHP 20P柱层析提纯,以2%乙醇水溶液洗脱。收集含产物的组分,浓缩,冻干,得0.2g头孢唑兰,收率17%。
0.4g头孢唑兰溶于1.0ml 0.01mol/L盐酸,经Amberlite XAD-2层析,以0.01mol/L盐酸-乙腈(1:9体积比)洗脱。洗脱液浓缩,加入丙酮,过滤收集产生的粉末,以小量丙酮洗,干燥,得0.25g盐酸头孢唑兰。
安全提醒
MSDS
原料简介
应用范围
毒性和生态
安全信息
| 危害码 (欧洲) | Xi |
|---|---|
| 风险声明 (欧洲) | R36/37/38:Irritating to eyes, respiratory system and skin . |
| 安全声明 (欧洲) | S24/25 |
| WGK德国 | 2 |
| RTECS号 | YK0493000 |
| 海关编码 | 29021990 |
是否危险品
危险性
危险类别码
危险等级
触发危险方式
安全技术说明书
环境影响程度
包装与储运
相关供应商

搜索






