阿齐利特
Azimilide(NE-10064)是抗心律失常化合物,能抑制I(Ks)和I(Kr)活性。
产品名称
-
中文名阿齐利特
-
英文名Azimilide
-
中文别名阿米利特 | 1-[[[5-(4-氯苯基)-2-呋喃基]亚甲基]氨基]-3-[4-(4-甲基-1-哌嗪基)丁基]-2,4-咪唑啉二酮
-
英文别名
UNII-74QU6P2934 AZIMILIDE Azimilide [INN:BAN] C23H28ClN5O3 -
常用名阿齐利特
-
C A S号149908-53-2
物理性质
-
密度1.32 g/cm3
-
沸点594.9ºC at 760 mmHg
-
熔点N/A
-
化学式C23H28ClN5O3
-
结构式
1、 摩尔折射率:129.34
2、 摩尔体积(cm3/mol):361.8
3、 等张比容(90.2K):969.9
4、 表面张力(dyne/cm):51.5
5、 极化率(10-24cm3):51.27
-
闪点313.6ºC
-
分子量457.95300
-
精确质量457.18800
-
P S A72.60000
-
外观形状
-
储存条件
-
稳定性
-
水溶解性
-
形态
-
H L B值
-
粘度
-
PH值
作用/用途
Azimilide(NE-10064)是抗心律失常化合物,能抑制I(Ks)和I(Kr)活性。
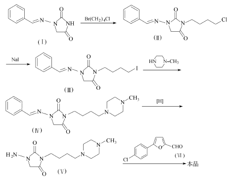
制备方法
化合物(I)和l-溴-4-氯丁烷反应,生成物(Ⅱ)再用碘化钠转化为碘代物(Ⅲ),再和1-甲基哌嗪反应,得到化合物(Ⅳ)。然后氢化还原为胺(V),再和化合物(Ⅵ)形成Schiff碱而得产物。产物以二盐酸盐的形式得到。
安全提醒
MSDS
原料简介
应用范围
毒性和生态
安全信息
是否危险品
危险性
危险类别码
危险等级
触发危险方式
安全技术说明书
环境影响程度
包装与储运
相关供应商

搜索






