盐酸舍曲林
-
中文名盐酸舍曲林
-
英文名Sertraline hydrochloride
-
中文别名[(1S)-顺式]-4-(3,4-二氯苯基)-1,2,3,4-四氢-N-甲基-1-萘胺盐酸盐 | 舍曲林盐酸盐 | (1S,4S)-1-(3,4-二氯苯基)-1,2,3,4-四氢-4-(甲氨基)萘盐酸盐 | (1S-顺式)-4-(3,4-二氯苯基)-1,2,3,4-四氢-N-甲基-1-萘胺盐酸盐 | (1S,4S)-4-(3,4-二氯苯基)-1,2,3,4-四氢-N-甲基-L-萘胺盐酸盐 | 肌酸酐
-
英文别名
(1S,4S)-4-(3,4-Dichlorophenyl)-1,2,3,4-tetrahydro-N-methyl-1-napthalenamine hydrochloride Zoloft EINECS 200-659-6 (1S,4S)-4-(3,4-Dichlorphenyl)-N-methyl-1,2,3,4-tetrahydronaphthalen-1-aminhydrochlorid Sertraline hydrochloride (1S,4S)-4-(3,4-Dichlorophenyl)-N-methyl-1,2,3,4-tetrahydro-1-naphthalenamine hydrochloride (1:1) (+)-sertraline hydrochloride CP-51974-1 (+)-cis-(1S,4S)-1-methylamino-4-(3,4-dichlorophenyl)tetralin hydrochloride CP 51974-1 1-Naphthalenamine, 4-(3,4-dichlorophenyl)-1,2,3,4-tetrahydro-N-methyl-, (1S,4S)-, hydrochloride (1:1) (1S,4S)-4-(3,4-Dichlorophenyl)-1,2,3,4-tetrahydro-N-methyl-1-naphthylamine hydrochloride (1S,4S)-4-(3,4-dichlorophényl)-N-méthyl-1,2,3,4-tétrahydronaphtalén-1-amine chlorhydrate Cp 51,974-1 (1S,4S)-4-(3,4-Dichlorophenyl)-1,2,3,4-tetrahydro-N-methyl-1-naphthalenamine hydrochloride MFCD00895772 (1S,4S)-4-(3,4-Dichlorophenyl)-N-methyl-1,2,3,4-tetrahydro-1-naphthalenamine hydrochloride 1-naphthalenamine, 4-(3,4-dichlorophenyl)-1,2,3,4-tetrahydro-N-methyl-, (1S,4S)-, hydrochloride Lustral Sertraline.HCl (1S,4S)-4-(3,4-Dichlorophenyl)-N-methyl-1,2,3,4-tetrahydronaphthalen-1-amine hydrochloride (1:1) (1S,4S)-4-(3,4-dichlorophenyl)-N-methyl-1,2,3,4-tetrahydronaphthalen-1-amine hydrochloride Sertraline (hydrochloride) -
常用名盐酸舍曲林
-
C A S号79559-97-0
-
密度N/A
-
沸点416.3ºC at 760 mmHg
-
熔点246-249°C
-
化学式C17H18Cl3N
-
结构式
-
闪点205.6ºC
-
分子量342.690
-
精确质量341.050476
-
P S A12.03000
-
外观形状白色至灰白色晶体
-
储存条件
存放在密封容器内,并放在阴凉,干燥处。
-
稳定性
-
水溶解性
-
形态白色固体。
-
H L B值
-
粘度
-
PH值
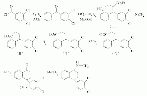
1. 3,4-二氯苯甲酰氯在三氯化铝存在下,对苯酰化得到3,4-二氯二苯甲酮。再在叔丁醇钾作用下,和丁二酸二乙酯反应,得化合物(Ⅰ)。(Ⅰ)水解并脱羧,得化合物(Ⅱ)。(Ⅱ)还原得化合物(Ⅲ),再二氯亚砜氯化为其酰氯(Ⅳ)。然后在三氯化铝作用下环合为化合物(Ⅴ),最后和甲胺作用,得消旋的舍曲林。经拆分,可得光学活性的盐酸舍曲林
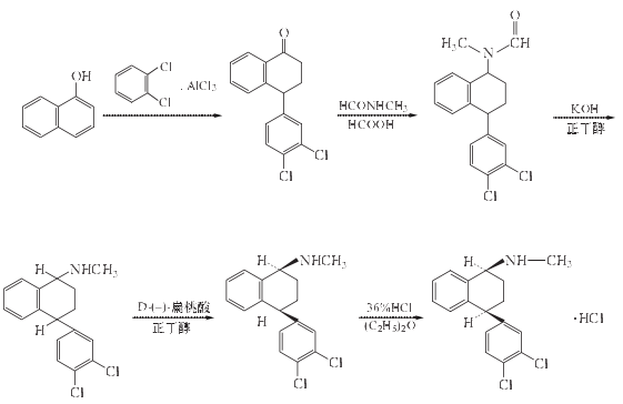
2. 4-(3,4-二氯苯基)-3,4-二氢-1(2H)-萘酮的制备
在反应瓶中加入邻二氯苯500ml和α-萘酚144g(1mol),搅拌下分批加入无水三氯化铝200g(1.5mol),120ºC下反应,搅拌反应过程中,深黄色固体悬浮物逐渐溶解,溶解逐渐变成绿色.搅拌反应3h后冷却,加水500ml终止反应,水层用少量邻二氯苯洗涤.合并有机层,将其用无水MgSO4干燥,过滤,滤液蒸除溶剂,得浅褐色固体290g, 用己烷500ml类白色固体4-(3,4-二氯苯基)-3,4-二氢-1(2H)-萘酮275g,收率95%,mp96~99ºC(文献[5,6]报道mp99~101ºC).
3. N-[4-(3,4-二氯苯基)-1,2,3,4-四氢-1-萘基]-N-甲基甲酰胺的制备
在反应瓶中加入4-(3,4-二氯苯基)-3,4-二氢-1(2H)-萘酮275g(0.95mol)和N-甲基甲酰胺168g(0.85mol),搅拌混合后分批加入甲酸30g(0.65mol),在195~200ºC反应5h后停止加热,冷却,蒸除过量的N-甲基甲酰胺,剩余物冷却后得到浅棕色胶状体.加入乙酸乙酯200ml后室温搅拌1h.过滤,滤饼干燥,得灰白色固体N-[4-(3,4-二氯苯基)-1,2,3,4-四氢-1-萘基]-N-甲基甲酰胺267g,收率84%,mp109~110 ºC.
4. 舍曲林[(1S,4S)-异构体]的制备
在反应瓶中加入正丁醇200ml和N-[4-(3,4-二氯苯基)-1,2,3,4-四氢-1-萘基]-N-甲基甲酰胺137g(0.5mol),于100 ºC搅拌下分批加入KOH110g(1.96mol),热回流4h.冷却,加入水200ml静置分层,有机相(含舍曲林顺式外消旋体)中加入热D-(-)-扁桃酸76g(0.5mol)的正丁醇(100ml)溶液,搅拌15min后冷却,有固体析出,放置冰箱过夜.过滤,滤饼用少量正丁醇洗涤后干燥#,得白色舍曲林D-(-)-扁桃酸盐粗品110.5g,用正丁醇100ml重结晶,得纯品100.3g,收率36.7%,mp190~192ºC.(文献[5,6]报道190~191ºC).取纯品100g(0.2mol)溶于水/乙醚(1:1), 搅拌下滴入5mol/LNaOH溶液,调至pH11,水层用乙醚洗,合并乙醚相,得舍曲林(舍曲林1S,4S-异构体)的乙醚溶液待用.
5. 盐酸舍曲林的合成
在烧杯中加舍曲林[(1S,4S)-异构体]的乙醚溶液和过量的36%盐酸,搅拌混匀,有白色固体生成,静置过夜后过滤,滤饼用乙醚洗,常温减压干燥,得白色盐酸舍曲林粗品65g,收率95%,mp242~244 ºC.( 文献[5,6]报道收率96%,mp243~245ºC).粗品用乙醇100ml重结晶2次,得纯品盐酸舍曲林58g,精制收率89%,纯度99.5%(HPLC归一化法).
|
: Sertraline HCl
产品名称 : Cerilliant 1.2 鉴别的其他方法 无数据资料 1.3 有关的确定了的物质或混合物的用途和建议不适合的用途 仅用于研发。不作为药品、家庭或其它用途。
模块2. 危险性概述 2.1 GHS-分类 易燃液体 (类别 2) 急性毒性, 经口 (类别 3) 急性毒性, 吸入 (类别 3) 急性毒性, 经皮 (类别 3) 特异性靶器官系统毒性(一次接触) (类别 1) 2.2 GHS 标记要素,包括预防性的陈述 象形图 警示词危险 危险申明 H225高度易燃液体和蒸气 H301吞咽会中毒 H311皮肤接触会中毒 H331吸入会中毒。 H370对器官造成损害。 警告申明 预防 P210远离热源、火花、明火和热表面。- 禁止吸烟。 P233保持容器密闭。 P240容器和接收设备接地/等势连接。 P241使用防爆的电气/ 通风/ 照明 设备。 P242只能使用不产生火花的工具。 P243采取防止静电放电的措施。 P260不要吸入粉尘/ 烟/ 气体/ 烟雾/ 蒸汽/ 喷雾。 P264操作后彻底清洁皮肤。 P270使用本产品时不要进食、饮水或吸烟。 P271只能在室外或通风良好之处使用。 P280戴防护手套/穿防护服/戴护目镜/戴面罩. 响应 P301 + P310如果吞下去了: 立即呼救解毒中心或医生。 P303 + P361 + P353如皮肤(或头发)沾染:立即去除/ 脱掉所有沾染的衣服。用水清洗皮肤/ 淋浴。 P304 + P340如吸入: 将患者移到新鲜空气处休息,并保持呼吸舒畅的姿势。 P307 + P311如接触到:呼叫解毒中心或医生。 P322具体措施(见本标签上提供的急救指导)。 P330漱口。 P361立即去除/脱掉所有沾染的衣服。 P363沾染的衣服清洗后方可重新使用。 P370 + P378火灾时: 用干的砂子,干的化学品或耐醇性的泡沫来灭火。 储存 P403 + P233存放于通风良的地方。 保持容器密闭。 P403 + P235存放在通风良好的地方。保持低温。 P405存放处须加锁。 处置 P501将内容物/ 容器处理到得到批准的废物处理厂。 2.3 其它危害物 - 无 模块3. 成分/组成信息 3.2 混合物 组分分类浓度或浓度范围 Methanol 化学文摘登记号(CA67-56-1Flam. Liq. 2; Acute Tox. 3;50 - 100 % S No.)200-659-6STOT SE 1; H225, H301, EC-编号603-001-00-XH311, H331, H370 索引编号01-2119433307-44-XXXX 注册号 如需在本章节中提及的H类告知和R类描述的全部文字说明,请见第16章节. 模块4. 急救措施 4.1 必要的急救措施描述 一般的建议 请教医生。 向到现场的医生出示此安全技术说明书。 吸入 如果吸入,请将患者移到新鲜空气处。 如呼吸停止,进行人工呼吸。 请教医生。 皮肤接触 用肥皂和大量的水冲洗。 立即将患者送往医院。 请教医生。 眼睛接触 用水冲洗眼睛作为预防措施。 食入 禁止催吐。 切勿给失去知觉者通过口喂任何东西。 用水漱口。 请教医生。 4.2 主要症状和影响,急性和迟发效应 据我们所知,此化学,物理和毒性性质尚未经完整的研究。 如吞服甲醇可能致命或致盲。, 不能制成无毒性的。, 摄入的影响可包括:, 恶心, 头痛, 呕吐, 消化系统失调, 头晕, 虚弱, 混乱 4.3 及时的医疗处理和所需的特殊处理的说明和指示 无数据资料 模块5. 消防措施 5.1 灭火介质 灭火方法及灭火剂 用水雾,抗乙醇泡沫,干粉或二氧化碳灭火。 5.2 源于此物质或混合物的特别的危害 无数据资料 5.3 给消防员的建议 如必要的话,戴自给式呼吸器去救火。 5.4 进一步信息 用水喷雾冷却未打开的容器。 模块6. 泄露应急处理 6.1 作业人员防护措施、防护装备和应急处置程序 戴呼吸罩。 避免吸入蒸气、烟雾或气体。 保证充分的通风。 移去所有火源。 人员疏散到安全区域。 谨防蒸气积累达到可爆炸的浓度。蒸气能在低洼处积聚。 6.2 环境保护措施 如能确保安全,可采取措施防止进一步的泄漏或溢出。 不要让产品进入下水道。 6.3 泄漏化学品的收容、清除方法及所使用的处置材料 围堵溢出,用防电真空清洁器或湿刷子将溢出物收集起来,并放置到容器中去,根据当地规定处理(见第13部 分)。 6.4 参考其他部分 丢弃处理请参阅第13节。 模块7. 操作处置与储存 7.1 安全操作的注意事项 避免接触皮肤和眼睛。 避免吸入蒸气和烟雾。 切勿靠近火源。-严禁烟火。采取措施防止静电积聚。 7.2 安全储存的条件,包括任何不兼容性 贮存在阴凉处。 使容器保持密闭,储存在干燥通风处。 打开了的容器必须仔细重新封口并保持竖放位置以防止泄漏。 建议的贮存温度: -20 °C 7.3 特定用途 无数据资料 模块8. 接触控制和个体防护 8.1 容许浓度 最高容许浓度 组分化学文摘登值容许浓度基准 记号(CAS No.) Methanol67-56-1PC-25 mg/m3工作场所有害因素职业接触限值 - TWA化学有害因素 备注皮 PC-50 mg/m3工作场所有害因素职业接触限值 - STEL化学有害因素 皮 8.2 暴露控制 适当的技术控制 避免与皮肤、眼睛和衣服接触。 休息前和操作本品后立即洗手。 个体防护设备 眼/面保护 面罩與安全眼鏡请使用经官方标准如NIOSH (美国) 或 EN 166(欧盟) 检测与批准的设备防护眼部。 皮肤保护 戴手套取 手套在使用前必须受检查。 请使用合适的方法脱除手套(不要接触手套外部表面),避免任何皮肤部位接触此产品. 使用后请将被污染过的手套根据相关法律法规和有效的实验室规章程序谨慎处理. 请清洗并吹干双手 所选择的保护手套必须符合EU的89/686/EEC规定和从它衍生出来的EN 376标准。 身体保护 全套防化学试剂工作服, 阻燃防静电防护服, 防护设备的类型必须根据特定工作场所中的危险物的浓度和数量来选择。 呼吸系统防护 如危险性评测显示需要使用空气净化的防毒面具,请使用全面罩式多功能防毒面具(US)或ABEK型 (EN 14387)防毒面具筒作为工程控制的候补。如果防毒面具是保护的唯一方式,则使用全面罩式送风防 毒面具。 呼吸器使用经过测试并通过政府标准如NIOSH(US)或CEN(EU)的呼吸器和零件。 模块9. 理化特性 9.1 基本的理化特性的信息 a) 外观与性状 形状: 液体 b) 气味 无数据资料 c) 气味阈值 无数据资料 d) pH值 无数据资料 e) 熔点/凝固点 无数据资料 f) 沸点、初沸点和沸程 64 - 65 °C 在 1.013 hPa g) 闪点 9.7 °C - 闭杯 h) 蒸发速率 无数据资料 i) 易燃性(固体,气体) 无数据资料 j) 高的/低的燃烧性或爆炸性限度 爆炸上限: 36 %(V) 爆炸下限: 6 %(V) k) 蒸气压 无数据资料 l) 蒸汽密度 无数据资料 m) 密度/相对密度 0.791 g/cm3 在 20 °C n) 水溶性 无数据资料 o) n-辛醇/水分配系数 无数据资料 p) 自燃温度 无数据资料 q) 分解温度 无数据资料 r) 粘度 无数据资料 模块10. 稳定性和反应活性 10.1 反应性 无数据资料 10.2 稳定性 无数据资料 10.3 危险反应 无数据资料 10.4 应避免的条件 热,火焰和火花。 极端温度和直接日晒。 10.5 不相容的物质 酸, 氧化剂, 碱金属, 强氧化剂, 强酸, 酰基氯, 酸酐, 还原剂, 强还原剂, 含磷卤化物 10.6 危险的分解产物 其它分解产物 - 无数据资料 模块11. 毒理学资料 11.1 毒理学影响的信息 急性毒性 无数据资料 皮肤刺激或腐蚀 无数据资料 眼睛刺激或腐蚀 无数据资料 呼吸道或皮肤过敏 无数据资料 生殖细胞突变性 无数据资料 致癌性 IARC: 此产品中没有大于或等于 0。1%含量的组分被 IARC鉴别为可能的或肯定的人类致癌物。 生殖毒性 无数据资料 特异性靶器官系统毒性(一次接触) 无数据资料 特异性靶器官系统毒性(反复接触) 无数据资料 吸入危险 无数据资料 潜在的健康影响 吸入吸入会中毒。 可能引起呼吸道刺激。 摄入误吞会中毒。 皮肤如果被皮肤吸收会有毒性 可能引起皮肤刺激。 眼睛可能引起眼睛刺激。 接触后的征兆和症状 据我们所知,此化学,物理和毒性性质尚未经完整的研究。 如吞服甲醇可能致命或致盲。, 不能制成无毒性的。, 摄入的影响可包括:, 恶心, 头痛, 呕吐, 消化系统失调, 头晕, 虚弱, 混乱 附加说明 化学物质毒性作用登记: 无数据资料 模块12. 生态学资料 12.1 生态毒性 无数据资料 12.2 持久性和降解性 无数据资料 12.3 潜在的生物累积性 无数据资料 12.4 土壤中的迁移性 无数据资料 12.5 PBT 和 vPvB的结果评价 无数据资料 12.6 其它不良影响 无数据资料 模块13. 废弃处置 13.1 废物处理方法 产品 在装备有加力燃烧室和洗刷设备的化学焚烧炉内燃烧处理,特别在点燃的时候要注意,因为此物质是高度易燃 性物质 将剩余的和不可回收的溶液交给有许可证的公司处理。 受污染的容器和包装 按未用产品处置。 模块14. 运输信息 14.1 联合国危险货物编号 欧洲陆运危规: 1230国际海运危规: 1230国际空运危规: 1230 14.2 联合国运输名称 欧洲陆运危规: METHANOL, 溶液 国际海运危规: METHANOL, 溶液 国际空运危规: Methanol, 溶液 14.3 运输危险类别 欧洲陆运危规: 3 (6.1)国际海运危规: 3 (6.1)国际空运危规: 3 (6.1) 14.4 包裹组 欧洲陆运危规: II国际海运危规: II国际空运危规: II 14.5 环境危险 欧洲陆运危规: 否国际海运危规国际空运危规: 否 海洋污染物(是/否): 否 14.6 对使用者的特别提醒 无数据资料 模块 15 - 法规信息 N/A 模块16 - 其他信息 N/A |
| 符号 |
GHS02, GHS06, GHS08 |
|---|---|
| 信号词 | Danger |
| 危害声明 | H225-H301 + H311 + H331-H370 |
| 警示性声明 | P210-P260-P280-P301 + P310-P311 |
| 个人防护装备 | Eyeshields;Gloves;type N95 (US);type P1 (EN143) respirator filter |
| 危害码 (欧洲) | Xi |
| 风险声明 (欧洲) | R36/37/38 |
| 安全声明 (欧洲) | S22-S24/25 |
| 危险品运输编码 | UN1230 - class 3 - PG 2 - Methanol, solution |
| WGK德国 | 3 |
| RTECS号 | QJ0352070 |
| 海关编码 | 2921300090 |

搜索








