盐酸阿扎司琼
-
中文名半合成脂肪酸甘油酯
-
英文名Azasetron (hydrochloride)
-
中文别名N-(1-氮杂双环[2.2.2]辛-8-基)-6-氯-4-甲基-3-氧代-3,4-二氢-2H-1,4-苯并恶嗪-8-甲酰胺盐酸盐 | Y-25130 盐酸
-
英文别名
Azasetron HCl UNII:2BSS7XL60S AZASETRON Azasetron (hydrochloride) MFCD00209913 Y-25130 Hydrochloride N-1-AZABICYCLO[2.2.2]OCT-3-YL-6-CHLORO-3,4-DIHYDRO-4-METHYL-3-OXO-2H-1,4-BENZOXAZINE-8-CARBOXAMIDE Serotone 2H-1,4-BENZOXAZINE-8-CARBOXAMIDE,N-1-AZABICYCLO[2.2.2]OCT-3-YL-6-CHLORO-3,4-DIHYDRO-4-METHYL-3-OXO-,HYDROCHLORIDE (1:1) N-(1-Azabicyclo[2.2.2]oct-3-yl)-6-chloro-4-methyl-3-oxo-3,4-dihydro-2H-1,4-benzoxazine-8-carboxamide hydrochloride (1:1) INTERMEDIATE OF AZASETRON HCL 2H-1,4-BENZOXAZINE-8-CARBOXAMIDE, 3,4-DIHYDRO-N-1-AZABICYCLO(2.2.2)OCT-3-YL-6-C Azasetron hydrochloride 2H-1,4-Benzoxazine-8-carboxamide, N-1-azabicyclo[2.2.2]oct-3-yl-6-chloro-3,4-dihydro-4-methyl-3-oxo-, hydrochloride (1:1) N-(1-AZABICYCLO[2.2.2]OCT-3-YL)-6-CHLORO-4-METHYL-3-OXO-3,4-DIHYDRO-2H-1,4-BENZOXAZINE-8-CARBOXAMIDE HYDROCHLORIDE Azasetronhydrochloride -
常用名盐酸阿扎司琼
-
C A S号123040-16-4
-
密度N/A
-
沸点558ºC at 760 mmHg
-
熔点N/A
-
化学式C17H21Cl2N3O3
-
结构式
1、摩尔折射率:无可用的
2、摩尔体积(cm3/mol):无可用的
3、等张比容(90.2K):无可用的
4、表面张力(dyne/cm):无可用的
5、介电常数:无可用的
6、极化率(10-24cm3):无可用的
7、单一同位素质量:385.095997 Da
8、标称质量:385 Da
9、平均质量:386.2729 Da
-
闪点291.2ºC
-
分子量386.273
-
精确质量385.096008
-
P S A61.88000
-
外观形状
-
储存条件Desiccate at -20°C
-
稳定性
-
水溶解性
-
形态未确定
-
H L B值
-
粘度
-
PH值
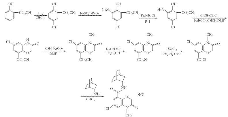
1. 5-氯水杨酸甲酯的制备
在反应瓶中加入氯仿1L和水杨酸甲酯304g(2mol),搅拌下于10~20ºC通入氯气,反应液变成浅黄色,约6h反应毕.用水(200ml×3)洗,有机层用无水硫酸钠干燥,过滤,滤液回收氯仿,剩余物减压蒸馏,收集117~120ºC/1.1kPa馏分,冷却固化,得浅黄色固体5-氯水杨酸甲酯317g,收率85%,mp47~49ºC.
2. 5-氯-2-羟基-3-硝基苯甲酸甲酯的制备
在反应瓶中加入5-氯水杨酸甲酯74.6g(0.4mol)和浓H2SO4 200ml,搅拌冷至0ºC,剧烈搅拌下滴加混酸[发烟硝酸27.7g(0.44mol)和浓H2SO4 18.5ml组成],滴毕0~5ºC搅拌1h.倒入冰水1L中,过滤,滤饼用冰水洗,用乙醇450ml重结晶,得浅黄色片状晶体5-氯-2-羟基-3-硝基苯甲酸甲酯81.5g,收率88%,mp164~165ºC.
3. 3-氨基-5-氯-2-羟基苯甲酸甲酯的制备
在反应瓶中加入氯化铵4.2g(0.078mol)的水100ml溶液和铁粉35g(0.63mol)#搅拌加热到90ºC,30min内滴加5-氯-2-羟基-3-硝基苯甲酸甲酯49g(0.21mol)的甲苯400ml溶液,回流搅拌1h.热过滤,滤液倒入冰水500ml中,振摇充分后静置分层,有机层用无水MgSO4干燥,过滤,滤液浓缩至干,剩余物用乙醇250ml重结晶,得白色或类白色晶体3-氨基-5-氯-2-羟基苯甲酸甲酯34.7g,收率82%,mp90~91ºC.
4. 6-氯-3,4-二氢-3-氧代-2H-1,4-苯并嗪-8-苯甲酸甲酯的制备
在反应瓶中加入3-氨基-5-氯-2-羟基苯甲酸甲酯20.2g(0.1mol)、氯仿400ml和饱和碳酸氢钠溶液200ml,于5ºC剧烈搅拌下分批加入氯乙酰氯14g(0.12mol),加毕,搅拌2h.有机层用水洗,无水MgSO4干燥,过滤,滤液浓缩回收溶剂,剩余物加入DMF140ml和K2CO3 27.6g(0.2mol),于70ºC搅拌反应2h.冷却,倒入冰水200ml中,析出固体,过滤,滤饼水洗,干燥,得白色固体6-氯-3,4-二氢-3-氧代-2H-1,4-苯并嗪-8-苯甲酸甲酯21.2g,收率88%,mp238~240ºC,直接用于下步反应.
5. 6-氯-4-甲基-3,4-二氢-3-氧代-2H-1,4-苯并噁嗪-8-苯甲酸甲酯的制备
在反应瓶中加入6-氯-3,4-二氢-3-氧代-2H-1,4-苯并嗪-8-苯甲酸甲酯24.2g(0.1mol)、K2CO3 20.7g(0.15mol) 和DMF100ml,于10~18ºC搅拌下滴加碘甲烷18.5g(0.13mol),滴毕,室温搅拌3h.40~45ºC搅拌1h.倒入冰水180ml中,过滤,滤饼水洗,抽干,用乙醇120ml重结晶,得白色粉末6-氯-4-甲基-3,4-二氢-3-氧代-2H-1,4-苯并噁嗪-8-苯甲酸甲酯23.0g,收率90%,mp150~152ºC.
6. 6-氯-4-甲基-3,4-二氢-3-氧代-2H-1,4-苯并噁嗪-8-甲酸的制备
在反应瓶中加入6-氯-4-甲基-3,4-二氢-3-氧代-2H-1,4-苯并噁嗪-8-苯甲酸甲酯25.6g(0.1mol)、乙醇100ml和5%NaOH溶液240ml,搅拌加热回流3h.降至10ºC,加10%盐酸调至pH1~2,过滤,滤饼水洗,干燥,得白色固体6-氯-4-甲基-3,4-二氢-3-氧代-2H-1,4-苯并噁嗪-8-甲酸21.8g,收率90%,mp236~238ºC.
7. 盐酸阿扎司琼的合成
在反应瓶中加入6-氯-4-甲基-3,4-二氢-3-氧代-2H-1,4-苯并噁嗪-8-甲酸24.2g(0.1mol)、二氯甲烷200ml、SOCl2 18g(0.15mol)和2滴DMF,搅拌加热回流3h.反应毕,减压蒸除过量的SOCl2和溶剂,剩余物用少量CH2Cl2洗,溶于氯仿100ml,搅拌加入3-氨基奎宁环12.6g(0.1mol)的氯仿300ml溶液,室温搅拌1h.有固体析出,加入2mol/L碳酸钠溶液200ml,有机层用水洗,减压蒸除溶剂,剩余物为白色固体,用80%乙醇340ml 40ºC溶解,过滤,加浓盐酸将滤液调至pH1~2,静置冷却析晶,抽滤,得盐酸阿扎司琼32.8g,收率85%,mp305ºC,含量100.1%,纯度99.6%(HPLC法)
| 安全声明 (欧洲) | S22-S24/25 |
|---|---|
| WGK德国 | 3 |

搜索







