酮咯酸
Ketorolac 是一种非甾体抗炎剂,为非选择性的 COX 抑制剂,对 COX-1 和 COX-2 的 IC50 值分别为 20 nM 和 120 nM。
产品名称
-
中文名酮咯酸
-
英文名Ketorolac
-
中文别名(+/-)-5-苯甲酰基-2,3-二氢-1H-吡咯并吡咯烷-1-甲酸
-
英文别名
Lixidol 1H-Pyrrolizine-1-carboxylic acid, 2,3-dihydro-5-(phenyl-d-carbonyl)- 5-[(H)Phenylcarbonyl]-2,3-dihydro-1H-pyrrolizine-1-carboxylic acid Ketorolac Tm-asyn 5-Benzoyl-2,3-dihydro-1H-pyrrolizine-1-carboxylic acid Fluoxetin MFCD00864281 1H-Pyrrolizine-1-carboxylic acid, 5-benzoyl-2,3-dihydro- Dolac Toratex KETOROLAC-D5 5-(phenylcarbonyl)-2,3-dihydro-1H-pyrrolizine-1-carboxylic acid Acular Ketoralac UNII:YZI5105V0L -
常用名酮咯酸
-
C A S号74103-06-3
物理性质
-
密度1.3±0.1 g/cm3
-
沸点493.2±40.0 °C at 760 mmHg
-
熔点160-161°C
-
化学式C15H13NO3
-
结构式
1、 摩尔折射率:70.53
2、 摩尔体积(cm3/mol):191.2
3、 等张比容(90.2K):520.2
4、 表面张力(dyne/cm):54.8
5、 极化率(10-24cm3):27.96
-
闪点252.1±27.3 °C
-
分子量255.269
-
精确质量255.089539
-
P S A59.30000
-
外观形状白色结晶或白色粉末
-
储存条件
-
稳定性
-
水溶解性
-
形态
-
H L B值
-
粘度
-
PH值
作用/用途
Ketorolac 是一种非甾体抗炎剂,为非选择性的 COX 抑制剂,对 COX-1 和 COX-2 的 IC50 值分别为 20 nM 和 120 nM。
制备方法
方法1:吡咯和二甲硫醚在N-氯代丁二酰亚胺作用下,得到2-(甲硫基)吡咯。2-(甲硫基)吡咯在含三氯氧磷的二氯乙烷溶液中,在回流下用苯甲酰二甲胺进行酰化,得到2-(甲硫基)-5-苯甲酰基毗咯。该化合物和螺二氧杂辛烷二酮缩合得化合物(I)。化合物(I)先氧化,然后甲醇解,得二酯化物(Ⅱ)。(Ⅱ)在二甲基甲酰胺中,氢化钠作用下环合得到化合物(Ⅲ)。(Ⅲ)水解并脱羧得到酮咯酸。
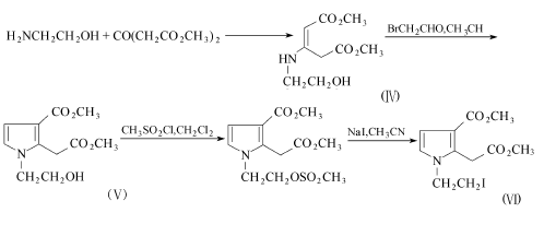
方法2:氨基乙醇和3-氧戊二酸二甲酯反应,得到化合物(Ⅳ)。(Ⅳ)和溴乙醛加热环合,得化合物(V)。(V)甲磺酰化后,再碘代得到化合物(Ⅵ)。(Ⅵ)在碱的作用下环合得化合物(Ⅶ)。(Ⅶ)水解后,再重新单酯化、脱羧,得化合物(Ⅷ)。(Ⅷ)用苯甲酰二甲胺酰化,接着水解得酮咯酸。
方法3:吡咯在三氯氧磷作用下,和N-苯甲酰基吗啉在二氯乙烷中反应,得2-苯甲酰基吡咯,收率72.3%。高锰酸钾、二乙酸锰四水合物及冰乙酸一起温热,再小心滴入乙酸酐。滴毕,冷至室温,加入原甲酸三乙酯、2-苯甲酰基吡咯和无水乙酸钠,在65℃下充入氮气搅拌。处理后得原甲酸三乙酯衍生物,收率86%。该衍生物在碳酸钾和溴化四正丁基铵作用下,在二氯乙烷中回流,得到环合产物;不用提纯,水解、酸化后得酮咯酸,收率66.7%。
安全提醒
MSDS
原料简介
应用范围
毒性和生态
安全信息
| 危险品运输编码 | 3249 |
|---|---|
| 包装等级 | II |
| 危险类别 | 6.1(a) |
是否危险品
危险性
危险类别码
危险等级
触发危险方式
安全技术说明书
环境影响程度
包装与储运
相关供应商

搜索









