头孢唑肟
-
中文名头孢唑肟
-
英文名Ceftizoxime
-
中文别名(6R,7R)-7-[[2,3-二氢-2-亚氨基-4-噻唑基)(甲氧亚氨基)乙酰基]氨基]-8-氧代-5-硫杂-1-氮杂二环[4.2.0]辛-2-烯-2-羧酸 | 头孢去甲噻肟 | [(6R一[6Α,7Β(Z)])-7-[[(2-氨基-4-噻唑基)(甲氧亚氨基)乙酰基]氨基]-8-氧代-5-硫杂-1-氮杂二环[4.2.0]-2-辛烯-2-羧酸 | 头孢唑肟酸
-
英文别名
Ceftizoxima SK&F 88373-Z Ceftizoxime 5-Thia-1-azabicyclo[4.2.0]oct-2-ene-2-carboxylic acid, 7-[[(2Z)-2-(2-amino-4-thiazolyl)-2-(methoxyimino)-1-oxoethyl]amino]-8-oxo-, (6R,7R)- Ceftizoxima [INN-Spanish] (6R,7R)-7-({(2Z)-2-(2-amino-1,3-thiazol-4-yl)-2-[(methyloxy)imino]acetyl}amino)-8-oxo-5-thia-1-azabicyclo[4.2.0]oct-2-ene-2-carboxylic acid Ceftix (6R,7R)-7-[2-(2-Amino-4-thiazolyl)glyoxylamido]-8-oxo-5-thia-1-azabicyclo[4.2.0]oct-2-ene-2-carboxylic Acid 72-(Z)-(O-Methyloxime) Ceftizoximum (6R,7R)-7-[[(2Z)-2-(2-amino-1,3-thiazol-4-yl)-2-methoxyiminoacetyl]amino]-8-oxo-5-thia-1-azabicyclo[4.2.0]oct-2-ene-2-carboxylic acid (6R,7R)-7-{[(2Z)-2-(2-Amino-1,3-thiazol-4-yl)-2-(methoxyimino)acetyl]amino}-8-oxo-5-thia-1-azabicyclo[4.2.0]oct-2-ene-2-carboxylic acid Ceftizoximum [INN-Latin] 7-[(Z)-2-(2-aminothiazol-4-yl)-2-methoxyiminoacetamido]-3-cephem-4-carboxylic acid ceftizoximum [INN_la] Cefizox MFCD00072000 Eposerin Epocelin [6R-[6a,7b(Z)]]-7-[[(2-Amino-4-thiazolyl)(methoxyimino)acetyl]amino]-8-oxo-5-thia-1-azabicyclo[4.2.0]oct-2-ene-2-carboxylic Acid -
常用名头孢唑肟
-
C A S号68401-81-0
-
密度1.9±0.1 g/cm3
-
沸点N/A
-
熔点N/A
-
化学式C13H13N5O5S2
-
结构式
1、 摩尔折射率:90.07
2、 摩尔体积(cm3/mol):201.8
3、 等张比容(90.2K):625.7
4、 表面张力(dyne/cm):92.4
5、 极化率(10-24cm3):35.70
-
闪点N/A
-
分子量383.403
-
精确质量383.035797
-
P S A200.75000
-
外观形状白色或淡黄色结晶粉末
-
储存条件
-
稳定性
-
水溶解性
-
形态
-
H L B值
-
粘度
-
PH值
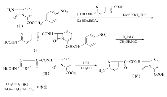
方法1:往二甲基甲酰胺(4.0g,54.8mmo1)和200ml四氢呋喃的溶液中,在-5~5℃和搅拌下,滴加三氯氧磷(8.4g,54.8mmo1),搅拌10min,得到Vilsmeier试剂。在冰浴冷却下,加入(2-甲酰胺基-4-噻唑基)乙醛酸(5.35g,26.7mmo1),搅拌30min形成活性酸溶液。在-15℃下加入化合物(I) (9.0g,24.3mmo1)和20ml O,N-双(三甲基硅基)乙酰胺(BSA)在100ml乙酸乙酯的溶液,在一15~0℃下搅拌30min。加入50ml水,过滤收集产生的沉淀,水洗,在五氧化二磷上干燥,得7.12g化合物(Ⅱ),收率57.0%。分出滤液中的有机层,用盐水洗,无水硫酸镁干燥,减压浓缩,又得1.03g化合物(Ⅱ),收率8.2%。
化合物(Ⅱ)(3.0g,5.82mmo1)和1.5g 10%钯-炭催化剂悬浮于70ml甲醇、30ml四氢呋喃和10ml乙酸的混合液中,在室温和常压下氢化4h。滤去催化剂,滤液减压浓缩。剩余物溶于碳酸氢钠水溶液,用乙酸乙酯洗涤后,用10%盐酸调至Ph=2.0。过滤收集产生的沉淀,水洗,在五氧化二磷存在下干燥。得1.57g化合物(111),收率、71.0%。
化合物(Ⅲ)(2.44g,6.41mm01)溶于20rnl甲醇,在室温下加入5ml浓盐酸,搅拌5h。过滤,滤液减压浓缩。剩余物溶于碳酸氢钠水溶液,用乙酸乙酯洗后,再用10%盐酸调至Ph=3.5。过滤收集产生的沉淀,水洗,在五氧化二磷存在下干燥。得0.49g化合物(1V),收率21.796。滤液和洗液合并,用HP-20树脂柱层析,15%异丙醇水溶液洗脱。洗脱液减压浓缩,剩余物冻干,得1.56g化合物(Ⅳ),收率69.0%。
化合物(IV)(1.78g,4.58mmo1)、甲醇胺盐酸盐(1.37g,16.4mmo1)和乙酸钠(0.38g,4.58mmo1)悬浮于100ml水,用碳酸氢钠水溶液调至Ph=7.0.在48℃下搅拌1h,并用碳酸氢钠水溶保持反应液的Ph值为7.0~7.3。反应液用乙酸乙酯洗1次后,在冰浴冷却下,用10%盐酸调至Ph=3.5。过滤收集沉淀,水洗,在五氧化二磷存在下干燥。得0.12g头孢唑肟,收率6.8%。滤液用HP-20树脂柱层析,用40%丙酮水溶液洗脱。洗脱液减压蒸去丙酮后冻干,得0.95g头孢唑肟,收率54.0%。
方法2:在5~10℃下,往2g 2-甲氧亚氨基-2-(2-氨基-1,3-噻唑-4-基)乙酸(V)悬浮于20ml无水的乙酸乙酯溶液中,一次性加入2.0g三氯氧磷,再在7~10℃下搅拌20min后,加入0.4g双(三甲基硅)乙酰胺。在7~10℃下搅拌10min后,再滴加2.0g三氯氧磷。在7~10℃下再搅拌10min后,滴加0.8g干燥的二甲基甲酰胺。在7~10℃下继续搅拌30rain后得一澄清溶液,此为酰氯化合物(Ⅵ)。
另将2.45g 7-氨基头孢烷酸悬浮于8ml干燥的乙酸乙酯的溶液中,加入7.35g三甲基硅基乙酰胺。加毕在40℃下搅拌得一澄清溶液。在-15℃下,往该澄清溶液中加入上面制备的酰氯(Ⅵ)的溶液,在一10~-15℃下继续搅拌1h。冷至-30℃后加入80ml水。分出水层,并用碳酸氢钠调至Ph值为4.5。在Diaion HP-20树脂(Mitsuishi Chemical Industries Ltd.)上进行柱层析,用25%的异丙醇水溶液作为洗出液。流出液减压浓缩后冻干,得1.8g头孢唑肟,熔点227℃(分解)。
|
头孢唑肟
模块1. 化学品 产品名称: Ceftizoxime 模块2. 危险性概述 GHS分类 物理性危害未分类 健康危害未分类
环境危害未分类 GHS标签元素 图标或危害标志无 信号词无信号词 危险描述无 防范说明无 模块3. 成分/组成信息 单一物质/混和物单一物质 化学名(中文名):头孢唑肟 百分比: >98.0%(LC)(T) CAS编码: 68401-81-0 分子式: C13H13N5O5S2 模块4. 急救措施 吸入: 将受害者移到新鲜空气处,保持呼吸通畅,休息。若感不适请求医/就诊。 皮肤接触: 立即去除/脱掉所有被污染的衣物。用水清洗皮肤/淋浴。 若皮肤刺激或发生皮疹:求医/就诊。 眼睛接触:用水小心清洗几分钟。如果方便,易操作,摘除隐形眼镜。继续清洗。 如果眼睛刺激:求医/就诊。 食入: 若感不适,求医/就诊。漱口。 紧急救助者的防护:救援者需要穿戴个人防护用品,比如橡胶手套和气密性护目镜。 模块5. 消防措施 合适的灭火剂:干粉,泡沫,雾状水,二氧化碳 特殊危险性:小心,燃烧或高温下可能分解产生毒烟。 头孢唑肟 模块5. 消防措施 特定方法:从上风处灭火,根据周围环境选择合适的灭火方法。 非相关人员应该撤离至安全地方。 周围一旦着火:如果安全,移去可移动容器。 消防员的特殊防护用具:灭火时,一定要穿戴个人防护用品。 模块6. 泄漏应急处理 个人防护措施,防护用具, 使用个人防护用品。远离溢出物/泄露处并处在上风处。 紧急措施:泄露区应该用安全带等圈起来,控制非相关人员进入。 环保措施:防止进入下水道。 控制和清洗的方法和材料:清扫收集粉尘,封入密闭容器。注意切勿分散。附着物或收集物应该立即根据合适的 法律法规处置。 模块7. 操作处置与储存 处理 技术措施:在通风良好处进行处理。穿戴合适的防护用具。防止粉尘扩散。处理后彻底清洗双手 和脸。 注意事项:如果粉尘或浮质产生,使用局部排气。 操作处置注意事项:避免接触皮肤、眼睛和衣物。 贮存 储存条件:保持容器密闭。存放于凉爽、阴暗处。 远离不相容的材料比如氧化剂存放。 包装材料:依据法律。 模块8. 接触控制和个体防护 工程控制:尽可能安装封闭体系或局部排风系统,操作人员切勿直接接触。同时安装淋浴器和洗 眼器。 个人防护用品 呼吸系统防护:防尘面具。依据当地和政府法规。 手部防护:防护手套。 眼睛防护:安全防护镜。如果情况需要,佩戴面具。 皮肤和身体防护:防护服。如果情况需要,穿戴防护靴。 模块9. 理化特性 固体 外形(20°C): 外观: 晶体-粉末 颜色:白色类白色 气味:无资料 pH:无数据资料 熔点: 227°C (分解) 沸点/沸程无资料 闪点:无资料 爆炸特性 爆炸下限:无资料 爆炸上限:无资料 密度:无资料 溶解度: [水]无资料 [其他溶剂] 溶于:稀氢氧化钠溶液 头孢唑肟 模块10. 稳定性和反应性 化学稳定性:一般情况下稳定。 危险反应的可能性:未报道特殊反应性。 须避免接触的物质氧化剂 危险的分解产物: 一氧化碳, 二氧化碳, 氮氧化物 (NOx), 硫氧化物 模块11. 毒理学信息 急性毒性: scu-rat LD50:>8 g/kg ivn-rat LD50:8 g/kg 对皮肤腐蚀或刺激:无资料 对眼睛严重损害或刺激:无资料 生殖细胞变异原性:无资料 致癌性: IARC =无资料 NTP =无资料 生殖毒性:无资料 RTECS 号码: XI0367375 模块12. 生态学信息 生态毒性: 鱼类:无资料 甲壳类:无资料 藻类:无资料 残留性 / 降解性:无资料 潜在生物累积 (BCF):无资料 土壤中移动性 log水分配系数:无资料 土壤吸收系数 (Koc):无资料 亨利定律无资料 constant(PaM3/mol): 模块13. 废弃处置 如果可能,回收处理。请咨询当地管理部门。建议在可燃溶剂中溶解混合,在装有后燃和洗涤装置的化学焚烧炉中 焚烧。废弃处置时请遵守国家、地区和当地的所有法规。 模块14. 运输信息 联合国分类:与联合国分类标准不一致 UN编号:未列明 模块15. 法规信息 《危险化学品安全管理条例》(2002年1月26日国务院发布,2011年2月16日修订): 针对危险化学品的安全使用、 生产、储存、运输、装卸等方面均作了相应的规定。 头孢唑肟 模块16 - 其他信息 N/A |
| 符号 |
GHS07, GHS08 |
|---|---|
| 信号词 | Danger |
| 危害声明 | H302-H317-H334 |
| 警示性声明 | P261-P280-P284-P301 + P312 + P330-P304 + P340-P342 + P311 |
| 危害码 (欧洲) | Xi |
| 安全声明 (欧洲) | S23-S24/25 |
| 危险品运输编码 | NONH for all modes of transport |
| WGK德国 | 3 |
| 海关编码 | 2941905990 |

搜索








