坎地沙坦
Candesartan是血管紧张素II受体拮抗剂,IC50为0.26 nM。
产品名称
-
中文名坎地沙坦
-
英文名Candesartan
-
中文别名(±)-2-乙氧基-1-[[2'-(1H-四唑-5-基)[1,L'-联苯]-4-基]甲基]-1H-苯并咪唑-7-羧酸 | 2-乙氧基-3-[[4-[2-(1H-四唑-5-基)苯基]苯基]甲基]-3H-苯并咪唑-4-羧酸 | 卡地沙坦 | 坎地沙坦C8
-
英文别名
2-ethoxy-1-{[2'-(2H-tetrazol-5-yl)biphenyl-4-yl]methyl}-1H-benzimidazole-7-carboxylic acid 2-Ethoxy-1-{[2'-(1H-tetrazol-5-yl)-4-biphenylyl]methyl}-1H-benzimidazole-7-carboxylic acid Ratacand Candesartan Blopress Amias Atacand 2-Ethoxy-1-{[2'-(1H-tetrazol-5-yl)biphenyl-4-yl]methyl}-1H-benzimidazole-7-carboxylic acid 1H-Benzimidazole-7-carboxylic acid, 2-ethoxy-1-[[2'-(1H-tetrazol-5-yl)[1,1'-biphenyl]-4-yl]methyl]- 2-Ethoxy-1-((2'-(1H-tetrazol-5-yl)(1,1'-biphenyl)-4-yl)methyl)-1H-benzimidazole-7-carboxylic Acid 2-(ethyloxy)-1-{[2'-(1H-tetrazol-5-yl)biphenyl-4-yl]methyl}-1H-benzimidazole-7-carboxylic acid MFCD00864463 2-Ethoxy-1-{[2'-(2H-tetrazol-5-yl)-4-biphenylyl]methyl}-1H-benzimidazole-7-carboxylic acid Candesartan Cilexetil Impurity 7 -
常用名坎地沙坦
-
C A S号139481-59-7
物理性质
-
密度1.4±0.1 g/cm3
-
沸点754.8±70.0 °C at 760 mmHg
-
熔点183-185°C
-
化学式C24H20N6O3
-
结构式
1、 摩尔折射率:122.54
2、 摩尔体积(cm3/mol):310.5
3、 等张比容(90.2K):862.9
4、 表面张力(dyne/cm):59.6
5、 极化率(10-24cm3):48.58
-
闪点410.3±35.7 °C
-
分子量440.454
-
精确质量440.159698
-
P S A118.81000
-
外观形状结晶固体
-
储存条件-20°C Freezer
-
稳定性
-
水溶解性
-
形态
-
H L B值
-
粘度
-
PH值
作用/用途
Candesartan是血管紧张素II受体拮抗剂,IC50为0.26 nM。
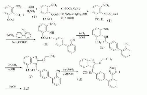
制备方法
3-硝基邻苯二甲酸溶于含浓硫酸的乙醇中,回流反应,将得到的单酯和氯化亚砜溶于苯中,回流进行酰化反应。得到的酰氯物溶于二氯甲烷,在剧烈搅拌下,将其滴加到叠氮化钠的二甲基甲酰胺溶液中,然后和叔丁醇回流反应,得2-叔丁氧羰基氨基-3-硝基苯甲酸乙醇。将该酯溶于四氢呋喃,搅拌和冰浴冷却下,加
入NaH,室温搅拌,再加入4-(2-氰基苯基)苄基溴和碘化钾反应,得到的化合物溶于乙醇,加入氯化锡二水物进行反应。反应产物溶于原碳酸乙酯,加入乙酸,环合形成苯并咪唑衍生物。该咪唑衍生物和三甲基锡叠氮化物溶于甲苯,回流反应,形成四唑环。再将该四唑衍生物进行水解,即得坎地沙坦。
安全提醒
MSDS
原料简介
应用范围
毒性和生态
安全信息
| 危害码 (欧洲) | Xn: Harmful; |
|---|---|
| 风险声明 (欧洲) | R20/21/22 |
| 安全声明 (欧洲) | S24/25 |
| 危险品运输编码 | NONH for all modes of transport |
| 海关编码 | 2933990090 |
是否危险品
危险性
危险类别码
危险等级
触发危险方式
安全技术说明书
环境影响程度
包装与储运
相关供应商

搜索







