瑞吡司特
前体药物,口服后水解形成活性物质,能抑制变态反应。用于支气管哮喘的治疗。为基础药。
产品名称
-
中文名瑞吡司特
-
英文名Repirinast
-
中文别名瑞呱利斯 | 5,6-二氢-7,8-二甲基-4,5-二氧代-4H-吡喃并[3,2-C]喹啉-2-羧酸异戊酯 | 7,8-二甲基-4,5-二氧代-6H-吡喃并[5,6-c]喹啉-2-甲酸 3-甲基丁基酯
-
英文别名
Isoamyl 5,6-dihydro-7,8-dimethyl-4,5-dioxo-4H-pyrano(3,2-c)quinoline-2-carboxylate MY-5116 Repirinastum [INN-Latin] Diazenecarboxamide, 2-[4-[2-(diaminomethylene)hydrazinyl]phenyl]-, (E)- Romet Isopentyl 5,6-dihydro-7,8-dimethyl-4,5-dioxo-4H-pyrano(3,2-c)quinoline-2-carboxylate (E)-2-{4-[2-(Diaminomethylene)hydrazino]phenyl}diazenecarboxamide repirinast -
常用名瑞吡司特
-
C A S号73080-51-0
物理性质
-
密度1.6±0.1 g/cm3
-
沸点461.1±55.0 °C at 760 mmHg
-
熔点236-241°
-
化学式C8H11N7O
-
结构式
1、 摩尔折射率:95.04
2、 摩尔体积(cm3/mol):286.3
3、 等张比容(90.2K):758.4
4、 表面张力(dyne/cm):49.1
5、 极化率(10-24cm3):37.68
-
闪点232.6±31.5 °C
-
分子量221.219
-
精确质量221.102509
-
P S A89.37000
-
外观形状
-
储存条件
-
稳定性
-
水溶解性
-
形态
-
H L B值
-
粘度
-
PH值
作用/用途
前体药物,口服后水解形成活性物质,能抑制变态反应。用于支气管哮喘的治疗。为基础药。
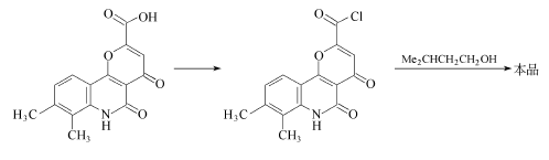
制备方法
下列酸化合物转化为酰氯后,再和3-甲基正丁醇在90-100℃下搅拌,得到瑞吡司特。
安全提醒
MSDS
原料简介
应用范围
毒性和生态
安全信息
| 海关编码 | 2934999090 |
|---|
是否危险品
危险性
危险类别码
危险等级
触发危险方式
安全技术说明书
环境影响程度
包装与储运
相关供应商

搜索






