磺马曲坦
【用途一】
用作偏头痛治疗药
用作偏头痛治疗药
【用途二】
为5-羟色胺受体活动药,主要作用方式为选择性地收缩颅侧血管。用于偏头痛。
为5-羟色胺受体活动药,主要作用方式为选择性地收缩颅侧血管。用于偏头痛。
产品名称
-
中文名磺马曲坦
-
英文名Sumatriptan
-
中文别名4-苯肼-N-甲基甲烷磺 | 舒马曲坦杂质H | 舒马曲坦 化学名 | 3-[2-(二甲氨基)乙基]-N-甲基-1H-吲哚-5-甲烷碘酰胺
-
英文别名
3-[2-(Dimethylamino)ethyl]-N-methyl-1H-indole-5-methanesulfonamide 1H-Indole-5-methanesulfonamide, 3-[2-(dimethylamino)ethyl]-N-methyl- Sumatriptan SUMATRIPTAN BASE MFCD00902856 1H-Indole-5-methanesulfonamide, 3-(2-(dimethylamino)ethyl)-N-methyl- GR 43175C 1-{3-[2-(Dimethylamino)ethyl]-1H-indol-5-yl}-N-methylmethanesulfonamide IMITREX IMIGRAN -
常用名磺马曲坦
-
C A S号103628-46-2
物理性质
-
密度1.2±0.1 g/cm3
-
沸点497.7±55.0 °C at 760 mmHg
-
熔点169-171°C
-
化学式C14H21N3O2S
-
结构式
1、 摩尔折射率:82.35
2、 摩尔体积(cm3/mol):237.6
3、 等张比容(90.2K):640.3
4、 表面张力(dyne/cm):52.7
5、 极化率(10-24cm3):32.64
-
闪点254.8±31.5 °C
-
分子量295.400
-
精确质量295.135437
-
P S A73.58000
-
外观形状白色至灰白色结晶粉末
-
储存条件
-
稳定性
-
水溶解性
-
形态
-
H L B值
-
粘度
-
PH值
作用/用途
【用途一】
用作偏头痛治疗药
用作偏头痛治疗药
【用途二】
为5-羟色胺受体活动药,主要作用方式为选择性地收缩颅侧血管。用于偏头痛。
为5-羟色胺受体活动药,主要作用方式为选择性地收缩颅侧血管。用于偏头痛。
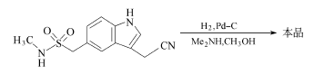
制备方法
下列腈化物在二甲胺的甲醇溶液中,10%钯-炭催化下,室温氢化24h,得舒马普坦。
安全提醒
MSDS
原料简介
应用范围
毒性和生态
安全信息
| 危害码 (欧洲) | Xi |
|---|---|
| 风险声明 (欧洲) | R36/37/38 |
| 安全声明 (欧洲) | S26-S36/37/39-S45-S28A |
| 危险品运输编码 | UN 3261 8/PG 2 |
| WGK德国 | 3 |
| RTECS号 | NL9482200 |
| 海关编码 | 29280090 |
是否危险品
危险性
危险类别码
危险等级
触发危险方式
安全技术说明书
环境影响程度
包装与储运
相关供应商

搜索






