福莫特洛
选择性β2-受体兴奋剂,有强支气管扩张作用,还有抗过敏和抑制水肿的作用。用于缓解由支气管哮喘,
急、慢性支气管炎,喘息性支气管炎及肺气肿所引起的呼吸困难等多种症状。
产品名称
-
中文名福莫特罗
-
英文名N-[2-Hydroxy-5-[1-hydroxy-2-[1-(4-methoxyphenyl)propan-2-ylamino]ethyl]phenyl]formamide
-
中文别名福莫特洛 | 福美特罗 | N-[2-羟基-5-[1-羟基-2-[1-(4-甲氧基苯基)丙-2-基氨基]乙基]苯基]甲酰胺
-
英文别名
3-Acetoxycycloheptene E-3-octen-2-ol rac-(N-[2-hydroxy-5-[(1RS)-1-hydroxy-2-[[(1RS)-2-(4-methoxyphenyl)-1-methylethyl]-amino]ethyl]phenyl]formamide) (E)-2-hydroxy-3-octene N-[2-hydroxy-5-[(1RS)-1-hydroxy-2-[[(1RS)-2-(4-methoxyphenyl)-1-methylethyl]amino]ethyl]phenyl]-formamide N-[2-Hydroxy-5-[1-hydroxy-2-[1-(4-methoxyphenyl)propan-2-ylamino]ethyl]phenyl]formamide N-[2-Hydroxy-5-(1-hydroxy-2-{[1-(4-methoxyphenyl)propan-2-yl]amino}ethyl)phenyl]formamide rac-(E)-3-acetoxycycloheptene Formamide, N-[2-hydroxy-5-[1-hydroxy-2-[[2-(4-methoxyphenyl)-1-methylethyl]amino]ethyl]phenyl]- rac-cyclohept-2-en-1-yl acetate cyclohept-2-enyl acetate (+/-)-2-hydroxy-5-[(1RS)-1-hydroxy-2-[[(1RS)-2-(4-methoxyphenyl)-1-methylethyl]amino]ethyl]formanilide 2-Cyclohepten-1-ol,acetate (6CI,7CI,8CI,9CI) 2-Cyclohepten-1-ol,1-acetate (E)-oct-3-en-2-ol 2-Cycloheptenylacetate (A'A A'A currency)-3-Acetoxycycloheptene 2-Cyclohepten-1-yl acetate MFCD05662345 trans-3-octen-2-ol N-[2-Hydroxy-5-(1-hydroxy-2-{[1-(4-methoxyphenyl)-2-propanyl]amino}ethyl)phenyl]formamide rac-(E)-3-octen-2-ol N-[2-hydroxy-5-[1-hydroxy-2-[1-(4-methoxyphenyl)propan-2-ylamino]ethyl]-phenyl]methanamide rac-3-acetoxycycloheptene -
常用名福莫特洛
-
C A S号73573-87-2
物理性质
-
密度1.2±0.1 g/cm3
-
沸点603.2±55.0 °C at 760 mmHg
-
熔点N/A
-
化学式C19H24N2O4
-
结构式
1、 摩尔折射率:97.63
2、 摩尔体积(cm3/mol):279.1
3、 等张比容(90.2K):755.5
4、 表面张力(dyne/cm):53.6
5、 极化率(10-24cm3):38.70
-
闪点318.6±31.5 °C
-
分子量344.405
-
精确质量344.173615
-
P S A90.82000
-
外观形状灰白色固体
-
储存条件
-
稳定性
-
水溶解性
-
形态
-
H L B值
-
粘度
-
PH值
作用/用途
选择性β2-受体兴奋剂,有强支气管扩张作用,还有抗过敏和抑制水肿的作用。用于缓解由支气管哮喘,
急、慢性支气管炎,喘息性支气管炎及肺气肿所引起的呼吸困难等多种症状。
制备方法
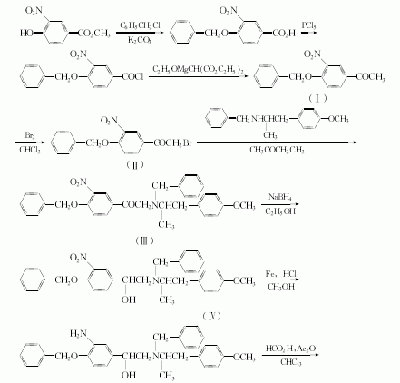
间硝基对羟基苯甲酸甲酯和苄基氯反应,得到的化合物溶于氯仿,滴入溴反应,反应物进行重结晶处理,得到的化合物和N-苄基-1-对甲氧基苯基-2-丙胺在甲乙酮中回流,过滤除去沉淀,滤液减压浓缩,得到的物质用乙醇重结晶,得到的化合物再和硼氢化钠在乙醇中反应,减压蒸去溶剂,剩余液用苯提取。经水洗、干燥得到的产物和盐酸、甲醇混合,在搅拌下加入铁粉反应,过滤除去黑色的沉淀,滤液经进一步处理,得到的化合物在氯仿中,并加入甲酸-乙酸酐混合液,搅拌反应。得到的物质和异丙醇(或乙醇)、钯碳催化剂一起,反应完毕,经过滤、浓缩,得到福莫特罗粗品。粗品经处理转化为结晶性富马酸盐。
安全提醒
MSDS
|
福莫特洛MSDS英文版
|
原料简介
应用范围
毒性和生态
安全信息
| WGK德国 | 3 |
|---|---|
| 海关编码 | 2924299090 |
是否危险品
危险性
危险类别码
危险等级
触发危险方式
安全技术说明书
环境影响程度
包装与储运
相关供应商

搜索








