依托度酸
-
中文名依托度酸
-
英文名Etodolac
-
中文别名1,8-二乙基-1,3,4,9-四氢吡喃[3,4-b]吲哚-1-乙酸 | 乙哚酸 | 1,8-二乙基-1,3,4,9-四氢吡喃并[3,4-B]吲哚-1-乙酸1,8-DI.ETHYL-1,3,4,9-TETRAHYDROPYRANO[3,4-B]INDOLE-1-ACETIC ACID
-
英文别名
Etodolac 1,8-Diethyl-1,3,4,9-tetrahydropyrano[3,4-b]indole-1-acetic acid etodolic acid etodolacum [INN_la] Ultrado Etodolac [USAN:BAN:INN] Lodine Hypen Tedolan Zedolac Pyrano[3,4-b]indole-1-acetic acid, 1,8-diethyl-1,3,4,9-tetrahydro- Etopen UNII:2M36281008 Etodlic acid Edolan MFCD00133313 RAK-591 Ramodar (1,8-Diethyl-1,3,4,9-tetrahydropyrano[3,4-b]indol-1-yl)acetic acid -
常用名依托度酸
-
C A S号41340-25-4
-
密度1.2±0.1 g/cm3
-
沸点507.9±45.0 °C at 760 mmHg
-
熔点145-1480C
-
化学式C17H21NO3
-
结构式
-
闪点261.0±28.7 °C
-
分子量287.353
-
精确质量287.152130
-
P S A62.32000
-
外观形状结晶固体
-
储存条件
密封、在2 ºC -8ºC下保存
-
稳定性
-
水溶解性
-
形态己烷氯仿得结晶.
-
H L B值
-
粘度
-
PH值
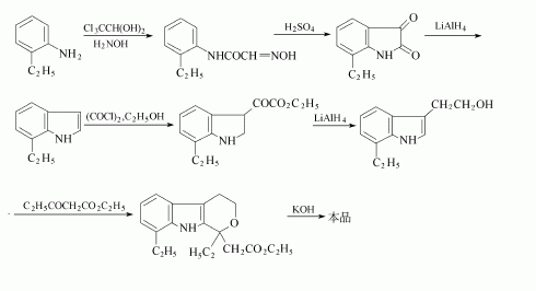
1.邻乙基苯胺和三氯乙醛水合物及羟胺反应,在酰化的同时形成肟,再在硫酸催化下环合,并用氢化铝锂还原生成吲哚衍生物,和草酰氯及乙醇反应在3位引入1,2-二羰基侧链,氢化铝锂还原为羟乙基,和丙酰乙酸乙酯缩合环合,最后水解生成依托度酸。
2. 邻乙基苯胺的制备
在反应瓶中加入铁粉134g(2.39mol)、水120ml和10%NH4Cl水溶液120g,搅拌升温至60 ºC,于30min内搅拌滴加邻硝基乙苯105g(0.7mol),滴毕#继续搅拌回流反应2~3h.反应毕,自然冷却,放置过夜.过滤,分出油层,减压蒸馏,收集112~116 ºC/3.33kPa馏分,得淡黄色液体邻乙基苯胺60~65g,收率70%~80%.
3. 邻乙基苯肼盐酸盐的制备
在反应瓶中加入化合物邻乙基苯胺24.2g(0.2mol)、浓盐酸150ml和水150ml,用冰盐浴将其冷却至-5 ºC, 于40min内滴加亚硝酸钠14.5g(0.21mol)的水(28ml)溶液(在搅拌下滴加),滴毕,于0 ºC搅拌反应1h. 冷至-15 ºC(!用于冰丙酮浴冷却),于30min内滴加二氯化锡112.5g(0.5mol)和浓盐酸100ml混合的溶液,滴毕,继续搅拌1.5h.反应毕,过滤,滤饼置于另一反应瓶,加入乙醚、10%NaOH溶液适量,搅拌数分钟后,过滤,两次滤液合并,分取有机层,水层用乙醚提取数次,合并有机层,用饱和NaOH水溶液洗涤,无水硫酸钠干燥,过滤,向滤液中通入干燥的氯化氢气体至饱和,析出白色固体,过滤,滤饼用乙醚洗涤,干燥#得白色晶体邻乙基苯肼盐酸盐23.1g,收率67%,mp181~183 ºC.
4. 7-乙基色氨醇的制备
在反应瓶中加入2,3-二氢呋喃16.8g(0.28mol),于10min内滴加化合物邻乙基苯肼盐酸盐24.1g(0.14mol)、水7ml和二氧六环110ml的混合液,滴毕,于100 ºC搅拌6h.反应毕,冷却,加入乙醚适量,过滤去不溶物,分取有机层,用无水硫酸镁干燥.过滤,滤液回收溶剂,冷却,得油状物粗品邻乙基苯肼盐酸盐.其油状物经硅胶柱色谱[洗脱剂:苯/乙酸乙酯(3:1)]纯化,得油状物7-乙基色氨醇6.6g,收率25%.
5. 1,8-二乙基-1,3,4,9-四氢吡喃并[3,4-b]-吲哚-1-乙酸甲酯的制备
在反应瓶中加入化合物7-乙基色氨醇106g(0.56mol)的甲苯(1050ml)溶液、3-氧代戊酸甲酯92g(0.70mol)和甲醇210ml,降温至0 ºC以下,搅拌下滴加浓硫酸180g(1.8mol),加毕,保温反应1h.反应毕,缓慢加至NaHCO3 300g的水溶液2700ml中,搅拌30min.静置分层,水层用甲苯30ml提取,合并有机层,减压浓缩回收溶剂,剩余物中加入甲醇300ml,搅拌回流30min.降至室温静置过夜.过滤,滤饼用甲醇450ml洗涤至无色,抽干,干燥,得白色颗粒状固体1,8-二乙基-1,3,4,9-四氢吡喃并[3,4-b]-吲哚-1-乙酸甲酯139g,收率82.7%,mp128~131 ºC.
6. 1,8-二乙基-1,3,4,9-四氢吡喃并[3,4-b]-吲哚-1-乙酸(依托度酸)的合成
在反应瓶中加入KOH12g(0.124mol)、水86ml和异丙醇6ml,搅拌混合,再加入化合物1,8-二乙基-1,3,4,9-四氢吡喃并[3,4-b]-吲哚-1-乙酸甲酯12g(0.040mol),搅拌加热至回流,搅拌回流反应1h. 降至室温,用30%盐酸酸化至pH2~3,过滤,得类白色粉末状产物1,8-二乙基-1,3,4,9-四氢吡喃并[3,4-b]-吲哚-1-乙酸(依托度酸)粗品11.2h,收率97.7%,取1,8-二乙基-1,3,4,9-四氢吡喃并[3,4-b]-吲哚-1-乙酸(依托度酸)粗品10g(0.0348mol)加至5%乙醇400ml中,加入NaOH1.5g(0.0375mol),搅拌溶解,过滤掉不溶物,滤渣用50%乙醇10ml洗涤.滤液和洗液合并,搅拌下用20%盐酸慢慢酸化至pH,30minpH不变后,将析出结晶过滤,滤饼用50%乙醇15ml洗涤,抽干,干燥,得白色结晶状粉末1,8-二乙基-1,3,4,9-四氢吡喃并[3,4-b]-吲哚-1-乙酸(依托度9.5g, 精制收率95%,mp145~148 ºC.
|
1.1 产品标识符
: Etodolac 产品名称 1.2 鉴别的其他方法 1,8-Diethyl-1,3,4,9-tetrahydropyrano[3,4-b]indole-1-acetic acid 1.3 有关的确定了的物质或混合物的用途和建议不适合的用途 仅供科研用途,不作为药物、家庭备用药或其它用途。
模块2. 危险性概述 2.1 GHS分类 急性毒性, 经口 (类别3) 眼刺激 (类别2A) 2.2 GHS 标记要素,包括预防性的陈述 象形图 警示词危险 危险申明 H301吞咽会中毒 H319造成严重眼刺激。 警告申明 预防 P264操作后彻底清洁皮肤。 P270使用本产品时不要进食、饮水或吸烟。 P280穿戴防护手套/ 眼保护罩/ 面部保护罩。 措施 P301 + P310如果吞下去了: 立即呼救解毒中心或医生。 P305 + P351 + P338如与眼睛接触,用水缓慢温和地冲洗几分钟。如戴隐形眼镜并可方便地取 出,取出隐形眼镜,然后继续冲洗. P321具体治疗(见本标签上提供的急救指导)。 P330漱口。 P337 + P313如仍觉眼睛刺激:求医/就诊。 如仍觉眼睛刺激:求医/就诊. 储存 P405存放处须加锁。 处理 P501将内容物/ 容器处理到得到批准的废物处理厂。 2.3 其它危害物 - 无 模块3. 成分/组成信息 3.1 物 质 : 1,8-Diethyl-1,3,4,9-tetrahydropyrano[3,4-b]indole-1-acetic acid 别名 : C17H21NO3 分子式 : 287.35 g/mol 分子量 组分浓度或浓度范围 Etodolac - CAS 号41340-25-4 模块4. 急救措施 4.1 必要的急救措施描述 一般的建议 请教医生。 出示此安全技术说明书给到现场的医生看。 吸入 如果吸入,请将患者移到新鲜空气处。 如果停止了呼吸,给于人工呼吸。 请教医生。 皮肤接触 用肥皂和大量的水冲洗。 立即将患者送往医院。 请教医生。 眼睛接触 用大量水彻底冲洗至少15分钟并请教医生。 食入 切勿给失去知觉者从嘴里喂食任何东西。 用水漱口。 请教医生。 4.2 主要症状和影响,急性和迟发效应 消化系统失调, 恶心, 头晕, 头痛, 据我们所知,此化学,物理和毒性性质尚未经完整的研究。 4.3 及时的医疗处理和所需的特殊处理的说明和指示 无数据资料 模块5. 消防措施 5.1 灭火介质 灭火方法及灭火剂 用水雾,耐醇泡沫,干粉或二氧化碳灭火。 5.2 源于此物质或混合物的特别的危害 碳氧化物, 氮氧化物 5.3 给消防员的建议 如必要的话,戴自给式呼吸器去救火。 5.4 进一步信息 无数据资料 模块6. 泄露应急处理 6.1 人员的预防,防护设备和紧急处理程序 戴呼吸罩。 防止粉尘的生成。 防止吸入蒸汽、气雾或气体。 保证充分的通风。 将人员撤离到安全区域。 避免吸入粉尘。 6.2 环境保护措施 在确保安全的前提下,采取措施防止进一步的泄漏或溢出。 不要让产物进入下水道。 6.3 抑制和清除溢出物的方法和材料 收集、处理泄漏物,不要产生灰尘。 扫掉和铲掉。 存放进适当的闭口容器中待处理。 6.4 参考其他部分 丢弃处理请参阅第13节。 模块7. 操作处置与储存 7.1 安全操作的注意事项 避免接触皮肤和眼睛。 防止粉尘和气溶胶生成。 在有粉尘生成的地方,提供合适的排风设备。一般性的防火保护措施。 7.2 安全储存的条件,包括任何不兼容性 贮存在阴凉处。 容器保持紧闭,储存在干燥通风处。 建议的贮存温度: 2 - 8 °C 7.3 特定用途 无数据资料 模块8. 接触控制和个体防护 8.1 容许浓度 最高容许浓度 没有已知的国家规定的暴露极限。 8.2 暴露控制 适当的技术控制 避免与皮肤、眼睛和衣服接触。 休息以前和操作过此产品之后立即洗手。 个体防护设备 眼/面保护 面罩與安全眼鏡请使用经官方标准如NIOSH (美国) 或 EN 166(欧盟) 检测与批准的设备防护眼部。 皮肤保护 戴手套取 手套在使用前必须受检查。 请使用合适的方法脱除手套(不要接触手套外部表面),避免任何皮肤部位接触此产品. 使用后请将被污染过的手套根据相关法律法规和有效的实验室规章程序谨慎处理. 请清洗并吹干双手 所选择的保护手套必须符合EU的89/686/EEC规定和从它衍生出来的EN 376标准。 身体保护 全套防化学试剂工作服, 防护设备的类型必须根据特定工作场所中的危险物的浓度和含量来选择。 呼吸系统防护 如危险性评测显示需要使用空气净化的防毒面具,请使用全面罩式多功能微粒防毒面具N99型(US) 或P2型(EN 143)防毒面具筒作为工程控制的候补。如果防毒面具是保护的唯一方式,则使用全面罩式送风防毒 面具。 呼吸器使用经过测试并通过政府标准如NIOSH(US)或CEN(EU)的呼吸器和零件。 模块9. 理化特性 9.1 基本的理化特性的信息 a) 外观与性状 形状: 固体 b) 气味 无数据资料 c) 气味阈值 无数据资料 d) pH值 无数据资料 e) 熔点/凝固点 无数据资料 f) 起始沸点和沸程 无数据资料 g) 闪点 无数据资料 h) 蒸发速率 无数据资料 i) 易燃性(固体,气体) 无数据资料 j) 高的/低的燃烧性或爆炸性限度 无数据资料 k) 蒸汽压 无数据资料 l) 蒸汽密度 无数据资料 m) 相对密度 无数据资料 n) 水溶性 无数据资料 o) n-辛醇/水分配系数 无数据资料 p) 自燃温度 无数据资料 q) 分解温度 无数据资料 r) 粘度 无数据资料 模块10. 稳定性和反应活性 10.1 反应性 无数据资料 10.2 稳定性 无数据资料 10.3 危险反应的可能性 无数据资料 10.4 应避免的条件 无数据资料 10.5 不兼容的材料 强氧化剂 10.6 危险的分解产物 其它分解产物 - 无数据资料 模块11. 毒理学资料 11.1 毒理学影响的信息 急性毒性 半数致死剂量 (LD50) 经口 - 大鼠 - 94 mg/kg 备注: 肺,胸,或者呼吸系统:呼吸困难 腹泻 营养与总代谢:体重降低或体重增长减小。 皮肤刺激或腐蚀 无数据资料 眼睛刺激或腐蚀 无数据资料 呼吸道或皮肤过敏 长期或反复接触导致个别人过敏反应 生殖细胞突变性 无数据资料 致癌性 IARC: 此产品中没有大于或等于 0。1%含量的组分被 IARC鉴别为可能的或肯定的人类致癌物。 生殖毒性 致畸性 - 大鼠 - 经口 母体效应:分娩。 致畸性 - 大鼠 - 经口 对生殖的影响:胚胎植入前死亡率(例如每个雌性的植入胚胎数减少;每个黄体的植入总数。 致畸性 - 大鼠 - 经口 对生殖的影响:胚胎植入后死亡率(例如总着床胚胎数中死亡和/或被再吸收的胚胎数)。 发育毒性 - 兔子 - 经口 特定发育异常:肌肉骨骼系统。 特异性靶器官系统毒性(一次接触) 无数据资料 特异性靶器官系统毒性(反复接触) 无数据资料 吸入危险 无数据资料 潜在的健康影响 吸入吸入可能有害。 可能引起呼吸道刺激。 摄入误吞会中毒。 皮肤如果通过皮肤吸收可能是有害的。 可能引起皮肤刺激。 眼睛造成严重眼刺激。 接触后的征兆和症状 消化系统失调, 恶心, 头晕, 头痛, 据我们所知,此化学,物理和毒性性质尚未经完整的研究。 附加说明 化学物质毒性作用登记: UQ0360000 模块12. 生态学资料 12.1 生态毒性 无数据资料 12.2 持久存留性和降解性 无数据资料 12.3 潜在的生物蓄积性 无数据资料 12.4 土壤中的迁移性 无数据资料 12.5 PBT 和 vPvB的结果评价 无数据资料 12.6 其它不利的影响 无数据资料 模块13. 废弃处置 13.1 废物处理方法 产品 将剩余的和未回收的溶液交给处理公司。 联系专业的拥有废弃物处理执照的机构来处理此物质。 与易燃溶剂相溶或者相混合,在备有燃烧后处理和洗刷作用的化学焚化炉中燃烧 受污染的容器和包装 作为未用过的产品弃置。 模块14. 运输信息 14.1 联合国危险货物编号 欧洲陆运危规: 2811国际海运危规: 2811国际空运危规: 2811 14.2 联合国(UN)规定的名称 欧洲陆运危规: TOXIC SOLID, ORGANIC, N.O.S. (Etodolac) 国际海运危规: TOXIC SOLID, ORGANIC, N.O.S. (Etodolac) 国际空运危规: Toxic solid, organic, n.o.s. (Etodolac) 14.3 运输危险类别 欧洲陆运危规: 6.1国际海运危规: 6.1国际空运危规: 6.1 14.4 包裹组 欧洲陆运危规: III国际海运危规: III国际空运危规: III 14.5 环境危险 欧洲陆运危规: 否国际海运危规 海运污染物: 否国际空运危规: 否 14.6 对使用者的特别提醒 无数据资料 模块 15 - 法规信息 N/A 模块16 - 其他信息 N/A |
| 符号 |
GHS06 |
|---|---|
| 信号词 | Danger |
| 危害声明 | H301-H319 |
| 警示性声明 | Missing Phrase - N15.00950417-P305 + P351 + P338 |
| 个人防护装备 | Eyeshields;Faceshields;Gloves;type P2 (EN 143) respirator cartridges |
| 危害码 (欧洲) | T:Toxic |
| 风险声明 (欧洲) | R23/24/25;R40 |
| 安全声明 (欧洲) | S22-S36-S45-S26 |
| 危险品运输编码 | 3249 |
| WGK德国 | 3 |
| RTECS号 | UQ0360000 |
| 包装等级 | III |
| 危险类别 | 6.1(b) |
| 海关编码 | 2934999090 |

搜索








