班布特罗
-
中文名班布特罗
-
英文名Bambuterol
-
中文别名5-[2-(叔丁基氨基)-1-羟乙基]-1,3-亚苯双二甲基氨基甲酸酯
-
英文别名
Bambuterol (INN) Bambuterol Bambec Bambuterolum [Latin] [3-[2-(tert-butylamino)-1-hydroxyethyl]-5-(dimethylcarbamoyloxy)phenyl] N,N-dimethylcarbamate Bambuterol [BAN:INN] Oxeol Bambuterolum -
常用名班布特罗
-
C A S号81732-65-2
-
密度1.154 g/cm3
-
沸点500.9ºC at 760 mmHg
-
熔点N/A
-
化学式C18H29N3O5
-
结构式
1、 摩尔折射率:98.82
2、 摩尔体积(cm3/mol):318.1
3、 等张比容(90.2K):815.4
4、 表面张力(dyne/cm):43.1
5、 极化率(10-24cm3):39.17
-
闪点256.7ºC
-
分子量367.44000
-
精确质量367.21100
-
P S A91.34000
-
外观形状灰白色粉末
-
储存条件
-
稳定性
-
水溶解性
-
形态
-
H L B值
-
粘度
-
PH值
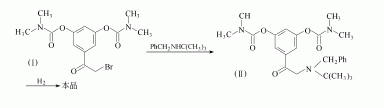
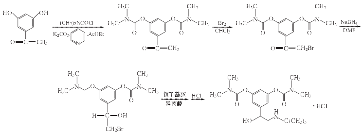
3,5-二(二甲氨基羰基氧基)-α-溴苯乙酮和N-苄基叔丁胺反应,得到的化合物经氢解还原得班布特罗.
1. 3,5-N,N-二甲氨基甲酰氧基苯乙酮的制备
在反应瓶中加入3,5-二羟基苯乙酮37.5g(0.247mol)、K2CO3(无水物,0.493mol)、乙酸乙酯240ml、吡啶和N,N-二甲基氨基甲酰氯70g(0.650mol),搅拌回流反应4h.加水300ml,充分搅拌后,用乙酸乙酯(100ml×3)提取.合并有机层,用水100ml和H2SO4 2ml洗涤,用5%Na2CO3洗涤2次,用水(100ml×2)洗涤,无水Na2CO3干燥,过滤,滤液浓缩回收溶液,得3,5-N,N-二甲氨基甲酰氧基苯乙酮64.4g,收率88.8%,mp58~60ºC.
2. 3,5-二甲氨基甲酰氧基-ω-溴苯乙酮的制备
在反应瓶中加入3,5-N,N-二甲氨基甲酰氧基苯乙酮10g(0.034mol)、氯仿30ml,搅拌下于20~30ºC滴加溴5.50g(0.034mol)溶于氯仿15ml的溶液,加毕,于20ºC搅拌反应5h.反应液用冰水(100ml×2)洗涤,无水硫酸钠干燥,过滤,滤液减压浓缩回收溶剂,剩余物用石油醚/异丙醇(1:1)洗涤,经后处理,得3,5-二甲氨基甲酰氧基-ω-溴苯乙酮10.2g,收率80.4%,mp103~105ºC.
3. 1-(3’,5’-二甲氨基甲酰氧基)苯基-2-溴乙醇的制备
在反应瓶中加入3,5-二甲氨基甲酰氧基-ω-溴苯乙酮5.6g(0.015mol)和DMF30ml,搅拌溶解,搅拌下加入硼氢化钠0.34g(0.009mol),搅拌反应4h.倒入冷的40%NH4Cl溶液100ml,充分搅拌,用氯仿(50ml×2)提取,无水Ns2SO4干燥,过滤,滤液浓缩至干回收溶剂,剩余物未进一步纯化,直接用于下一步反应.
4. 班布特罗盐酸盐的合成
在反应瓶中加入上步粗品1-(3’,5’-二甲氨基甲酰氧基)苯基-2-溴乙醇一批量和异丙醇20ml,搅拌溶解,加入叔丁基胺3.2ml(0.03mol),搅拌回流反应,浓缩回收溶剂至干,加水调节pH至碱性#用氯仿(50ml×2)提取,无水Na2SO4干燥,过滤,通HCl气体成盐,蒸除溶剂,剩余物用异丙醇-水重结晶,得班布特罗盐酸盐4.8g,两步收率79.1%,mp224~226ºC.
| WGK德国 | 3 |
|---|

搜索








