(7S)-林可霉素
主要用于葡萄球菌、链球菌、肺炎链球菌引起的呼吸道 感染、骨髓炎、关节和软组织感染、胆道感染及败血症。对一些厌 氧菌感染也可应用。外用治疗革兰阳性菌化脓性感染。
产品名称
-
中文名林可霉素
-
英文名(7S)-Lincomycin
-
中文别名(7S)-林可霉素
-
英文别名
LINCOMYCIN HCL Lincomycin Hydrochloride 7-EPI LINCOMYCIN (7S)-Lincomycin -
常用名(7S)-林可霉素
-
C A S号17017-22-0
物理性质
-
密度1.29
-
沸点N/A
-
熔点N/A
-
化学式C18H34N2O6S
-
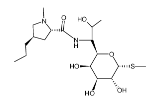
结构式
-
闪点N/A
-
分子量406.53700
-
精确质量406.21400
-
P S A147.79000
-
外观形状
-
储存条件2-8°C
-
稳定性
-
水溶解性
-
形态
-
H L B值
-
粘度
-
PH值
作用/用途
主要用于葡萄球菌、链球菌、肺炎链球菌引起的呼吸道 感染、骨髓炎、关节和软组织感染、胆道感染及败血症。对一些厌 氧菌感染也可应用。外用治疗革兰阳性菌化脓性感染。
制备方法
安全提醒
MSDS
原料简介
应用范围
毒性和生态
安全信息
| 危害码 (欧洲) | Xi |
|---|---|
| 风险声明 (欧洲) | R36/37/38 |
| 安全声明 (欧洲) | S26 |
| WGK德国 | 2 |
| RTECS号 | RH6315000 |
是否危险品
危险性
危险类别码
危险等级
触发危险方式
安全技术说明书
环境影响程度
包装与储运
相关供应商

搜索






