特非那定
Terfenadine是一种有效的hERG开放通道抑制剂, IC50为204 nM。
产品名称
-
中文名特非那定
-
英文名Terfenadine
-
中文别名Α-[4-(1,1-二甲基乙基)苯基]-4-(羟基二苯甲基)-1-哌啶丁醇 | 叔哌丁醇 | Α-[4-叔丁基苯基]-4-(羟基二苯基甲基)-1-哌啶丁醇 | α-[4-(1,1-Dimethylethyl)phenyl]-4-(hydroxydiphenylmethyl)-1-piperidinebutanol | alpha-[4-叔丁基苯基]-4-(羟基二苯基甲基)-1-哌啶丁醇
-
英文别名
4-{4-[Hydroxy(diphenyl)methyl]-1-piperidinyl}-1-[4-(2-methyl-2-propanyl)phenyl]-1-butanol Triludan a-(p-tert-Butylphenyl)-4-(a-hydroxy-a-phenylbenzyl)-1-piperidinebutanol a-[4-(1,1-Dimethylethyl)phenyl]-4-(hydroxydiphenylmethyl)-1-piperidinebutanol 1-Piperidinebutanol, α-(4-(1,1-dimethylethyl)phenyl)-4-(hydroxydiphenylmethyl)- MFCD00079622 Teldanex Allerplus Cyater [14C]-Terfenadine 1-(p-tert-Butylphenyl)-4'-[4'-(a-hydroxydiphenylmethyl)-1-piperidyl]butanol Terfex [3H]-Terfenadine 1-piperidinebutanol, a-[4-(1,1-dimethylethyl)phenyl]-4-(hydroxydiphenylmethyl)- Aldaban Terfenadine Ternadin 1-(4-tert-Butylphenyl)-4-{4-[hydroxy(diphenyl)methyl]piperidin-1-yl}butan-1-ol Teldane Treludan 1-Piperidinebutanol, α-[4-(1,1-dimethylethyl)phenyl]-4-(hydroxydiphenylmethyl)- 1-[4-(tert-butyl)phenyl]-4-{4-[hydroxy(diphenyl)methyl]piperidino}butan-1-ol Terfenadina Seldane Terdin 1-[4-(1,1-dimethylethyl)phenyl]-4-{4-[hydroxy(diphenyl)methyl]piperidin-1-yl}butan-1-ol UNII:7BA5G9Y06Q EINECS 256-710-8 -
常用名特非那定
-
C A S号50679-08-8
物理性质
-
密度1.1±0.1 g/cm3
-
沸点626.8±55.0 °C at 760 mmHg
-
熔点145-152 °C
-
化学式C32H41NO2
-
结构式
-
闪点306.9±30.2 °C
-
分子量471.673
-
精确质量471.313721
-
P S A43.70000
-
外观形状固体结晶粉末
-
储存条件
密封、在2 ºC -8 ºC下保存
-
稳定性
-
水溶解性
-
形态粉末
-
H L B值
-
粘度
-
PH值
作用/用途
Terfenadine是一种有效的hERG开放通道抑制剂, IC50为204 nM。
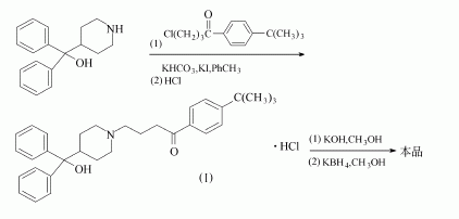
制备方法
α,α-二苯基-4-哌啶基甲醇(107g,0.4mo1)(其制备参见McCarty F J,et a1.J Org Chem,1961,26:4084)、1-[4-(1,1-二甲基乙基)苯基]-4-氯-1-丁酮(105g,0.44mo1)(其制备参见Van de Westerign C,et a1.Ind chim beige,1960,25:1073;CA 55:6428b.1961)、碳酸氢钾(70g,0.7mo1)和0.1g碘化钾在600ml甲苯中,搅拌回流60h。反应液乘热过滤,滤液冷却后和过量的氯化氢乙醚溶液作用。过滤收集产生的沉淀,用甲醇-异丙醇(5:12)重结晶,得78.4g化合物(I),收率24%。
化合物(I)(60g,0.12mo1)溶于1.2 L甲醇,加入氢氧化钾的甲醇溶液至反应液呈碱性。然后冷至01;,在搅拌下分批加入硼氢化钾(5g,0.132mo1)。移去冷却,搅拌1h。在蒸汽浴上减压浓缩,得到固体剩余物。该固体用水洗后,以丙酮重结晶2次,得34.4g特非那定,收率61.5%。
安全提醒
MSDS
|
特非那定MSDS英文版
|
原料简介
应用范围
毒性和生态
安全信息
| 危害声明 | H413 |
|---|---|
| 安全声明 (欧洲) | S24/25 |
| 危险品运输编码 | NONH for all modes of transport |
| WGK德国 | 2 |
| RTECS号 | TM4969000 |
| 海关编码 | 2933399090 |
是否危险品
危险性
危险类别码
危险等级
触发危险方式
安全技术说明书
环境影响程度
包装与储运
相关供应商

搜索







