拉莫三嗪
-
中文名那蒙特金
-
英文名lamotrigine
-
中文别名6-(2,3-二氯苯基)-1,2,4-三嗪-3,5-二胺 | 3,5-二氨基-6-(2,3-二氯苯基)-1,2,4-三嗪 | 拉莫三嗪
-
英文别名
Lamictal Lamotrigin 6-(2,3-Dichlorophenyl)-1,2,4-triazine-3,5-diamine EINECS 281-901-8 6-(2,3-Dichlorophenyl)-3-imino-3,4-dihydro-1,2,4-triazin-5-amine 1,2,4-Triazin-5-amine, 6-(2,3-dichlorophenyl)-3,4-dihydro-3-imino- Crisomet Lamictal CD HYDROXYMETHYL PROGESTERONE 6-O-TRITYL-1,2,3,4-TETRA-O-ACETYL-ALPHA-D-MANNOPYRANOSE BW 430C LAMOTRIGENE LAMOTRIGINE API MFCD00865333 LAMOTRIGINE / 6-(2,3-DICHLOROPHENYL)-1,2,4-TRIAZINE-3,5-DIAMINE Lamictal XR 1,2,4-Triazine-3,5-diamine, 6-(2,3-dichlorophenyl)- LAMOTRIGINE-13C3 LAMOTRIGINE (10 MG ) Lamotrigina 1,2,4-TRIAZINE-3,5-DIAMINE,6-(2,3-DICHLOROPHENYL)- Labileno Lamotriginum Lamotrigine -
常用名拉莫三嗪
-
C A S号84057-84-1
-
密度1.6±0.1 g/cm3
-
沸点503.1±60.0 °C at 760 mmHg
-
熔点177-181°C
-
化学式C9H7Cl2N5
-
结构式
1、 摩尔折射率:63.38
2、 摩尔体积(cm3/mol):162.8
3、 等张比容(90.2K):486.4
4、 表面张力(dyne/cm):79.6
5、 极化率(10-24cm3):25.12
-
闪点258.1±32.9 °C
-
分子量256.091
-
精确质量255.007858
-
P S A90.71000
-
外观形状白色结晶
-
储存条件2-8°C
-
稳定性
-
水溶解性
-
形态
-
H L B值
-
粘度
-
PH值
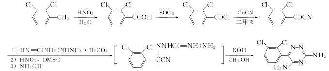
2,3-二氯苯甲酸氯化为2,3-二氯苯甲酰氯,再和氰化亚铜反应后,和氨基胍缩合,最后在氢氧化钾作用下环合得拉莫三嗪.
1. 2,3-二氯苯甲酸的制备
在500ml耐酸高压釜中加入2,3-二氯甲苯15g(0.093mol)、98%硝酸60ml(1.38mol)和水300ml,搅拌升温至165~167ºC,釜内压力约0.5~6MPa下反应4h.冷却析晶,过滤,滤饼用5%NaOH水溶液250ml溶解,加活性炭1g,搅拌回流30min,趁热过滤,滤液加浓盐酸调至pH2 ,冷却析出白色晶体,结晶完全后过滤,得白色晶体2,3-二氯苯甲酸16.7g,收率94%,mp168.7~169.3ºC.(文献[10]报道mp167~169 ºC)
2. 2,3-二氯苯甲酰氯的制备
在反应瓶中加入上步产物2,3-二氯苯甲酸39.4g(0.2mol)和新蒸的氯化亚砜100ml(1.35mol),冷凝管上装置
充填无水CaCl2干燥管,搅拌加热至回流,搅拌回流反应21h.蒸除过量的氯化亚砜,再进行减压蒸馏.收集146~148 ºC/4.13kPa馏分,冷却固化后得白色固体2,3-二氯苯甲酰氯38.2g,收率91.2%,mp30.9~31.1ºC.
3. 2,3-二氯苯甲酰氰的制备
在反应瓶中加入氰化亚铜12g、碘化钾19.2g和无水二甲苯135ml,在氮气保护下,搅拌回流反应24h.用分水器除水.搅拌滴加上步产物2,3-二氯苯甲酰氯10g(0.48mol)的无水二甲苯36.6ml溶液,滴毕,搅拌回流反应72h. 冷却至室温,过滤,滤饼用无水二甲苯洗涤,滤液和洗液合并,减压蒸除溶剂,剩余物减压蒸馏,收集134~136 ºC/5.33kPa馏分.冷却固化后得白色固体2,3-二氯苯甲酰氰9.0g,收率93.8%,mp59.6~60.2 ºC.
4. 3,5-二氨基-6-(2,3-二氯苯基)-1,2,4-三嗪(拉莫三嗪)的合成
在反应瓶中加入氨基胍碳酸氢盐12g(0.088mol)慢慢加入8mol/L硝酸60ml,得到白色悬浮液,于25 ºC搅拌30min,再滴加上步产物2,3-二氯苯甲酰氰4.8g(0.024mol)的二甲基亚砜12ml溶液,滴毕,继续搅拌反应3h.室温静置7天.加0.88mol/L氨水调至pH12,于冰水浴冷却下继续搅拌反应30min.过滤,滤饼用水洗涤,减压干燥,加至10%KOH的甲醇溶液600ml中,搅拌加热至回流,搅拌回流反应12h.蒸除甲醇,剩余物中加入冰水120ml,搅拌30min,过滤,抽干,滤饼用异丙醇重结晶,得白色晶体3,5-二氨基-6-(2,3-二氯苯基)-1,2,4-三嗪(拉莫三嗪)0.9g,收率14.7%,mp215.8~218.2ºC.
|
模块1. 化学品 1.1 产品标识符 : Lamotrigine 产品名称 1.2 鉴别的其他方法 GI 267119X 6-(2,3-Dichlorophenyl)-1,2,4-triazine-3,5-diamine
1.3 有关的确定了的物质或混合物的用途和建议不适合的用途 仅用于研发。不作为药品、家庭或其它用途。 模块2. 危险性概述 2.1 GHS-分类 急性毒性, 经口 (类别 3) 2.2 GHS 标记要素,包括预防性的陈述 象形图 警示词危险 危险申明 H301吞咽会中毒 警告申明 预防措施 P264操作后彻底清洁皮肤。 P270使用本产品时不要进食、饮水或吸烟。 事故响应 P301 + P310如果吞下去了: 立即呼救解毒中心或医生。 P321具体处置(见本标签上提供的急救指导)。 P330漱口。 安全储存 P405存放处须加锁。 废弃处置 P501将内容物/ 容器处理到得到批准的废物处理厂。 2.3 其它危害物 - 无 模块3. 成分/组成信息 3.1 物 质 : GI 267119X 别名 6-(2,3-Dichlorophenyl)-1,2,4-triazine-3,5-diamine : C9H7Cl2N5 分子式 : 256.09 g/mol 分子量 组分浓度或浓度范围 Lamotrigine <=100% 化学文摘登记号(CAS84057-84-1 No.)281-901-8 EC-编号 模块4. 急救措施 4.1 必要的急救措施描述 一般的建议 请教医生。 向到现场的医生出示此安全技术说明书。 吸入 如果吸入,请将患者移到新鲜空气处。 如呼吸停止,进行人工呼吸。 请教医生。 皮肤接触 用肥皂和大量的水冲洗。 立即将患者送往医院。 请教医生。 眼睛接触 用水冲洗眼睛作为预防措施。 食入 切勿给失去知觉者通过口喂任何东西。 用水漱口。 请教医生。 4.2 主要症状和影响,急性和迟发效应 4.3 及时的医疗处理和所需的特殊处理的说明和指示 无数据资料 模块5. 消防措施 5.1 灭火介质 灭火方法及灭火剂 用水雾,抗乙醇泡沫,干粉或二氧化碳灭火。 5.2 源于此物质或混合物的特别的危害 碳氧化物, 氮氧化物, 氯化氢气体 5.3 给消防员的建议 如必要的话,戴自给式呼吸器去救火。 5.4 进一步信息 无数据资料 模块6. 泄露应急处理 6.1 作业人员防护措施、防护装备和应急处置程序 戴呼吸罩。 避免粉尘生成。 避免吸入蒸气、烟雾或气体。 保证充分的通风。 人员疏散到安全区域。 避免吸入粉尘。 6.2 环境保护措施 如能确保安全,可采取措施防止进一步的泄漏或溢出。 不要让产品进入下水道。 6.3 泄漏化学品的收容、清除方法及所使用的处置材料 收集和处置时不要产生粉尘。 扫掉和铲掉。 放入合适的封闭的容器中待处理。 6.4 参考其他部分 丢弃处理请参阅第13节。 模块7. 操作处置与储存 7.1 安全操作的注意事项 避免接触皮肤和眼睛。 避免形成粉尘和气溶胶。 在有粉尘生成的地方,提供合适的排风设备。 7.2 安全储存的条件,包括任何不兼容性 贮存在阴凉处。 使容器保持密闭,储存在干燥通风处。 建议的贮存温度: 2 - 8 °C 7.3 特定用途 无数据资料 模块8. 接触控制和个体防护 8.1 容许浓度 最高容许浓度 没有已知的国家规定的暴露极限。 8.2 暴露控制 适当的技术控制 避免与皮肤、眼睛和衣服接触。 休息前和操作本品后立即洗手。 个体防护设备 眼/面保护 面罩與安全眼鏡请使用经官方标准如NIOSH (美国) 或 EN 166(欧盟) 检测与批准的设备防护眼部。 皮肤保护 戴手套取 手套在使用前必须受检查。 请使用合适的方法脱除手套(不要接触手套外部表面),避免任何皮肤部位接触此产品. 使用后请将被污染过的手套根据相关法律法规和有效的实验室规章程序谨慎处理. 请清洗并吹干双手 所选择的保护手套必须符合EU的89/686/EEC规定和从它衍生出来的EN 376标准。 完全接触 物料: 丁腈橡胶 最小的层厚度 0.11 mm 溶剂渗透时间: 480 min 测试过的物质Dermatril® (KCL 740 / Z677272, 规格 M) 飞溅保护 物料: 丁腈橡胶 最小的层厚度 0.11 mm 溶剂渗透时间: 480 min 测试过的物质Dermatril® (KCL 740 / Z677272, 规格 M) , 测试方法 EN374 如果以溶剂形式应用或与其它物质混合应用,或在不同于EN 374规定的条件下应用,请与EC批准的手套的供应商联系。 这个推荐只是建议性的,并且务必让熟悉我们客户计划使用的特定情况的工业卫生学专家评估确认才可. 这不应该解释为在提供对任何特定使用情况方法的批准. 身体保护 全套防化学试剂工作服, 防护设备的类型必须根据特定工作场所中的危险物的浓度和数量来选择。 呼吸系统防护 如危险性评测显示需要使用空气净化的防毒面具,请使用全面罩式多功能微粒防毒面具N99型(US) 或P2型(EN 143)防毒面具筒作为工程控制的候补。如果防毒面具是保护的唯一方式,则使用全面罩式送风防毒 面具。 呼吸器使用经过测试并通过政府标准如NIOSH(US)或CEN(EU)的呼吸器和零件。 模块9. 理化特性 9.1 基本的理化特性的信息 a) 外观与性状 形状: 粉末 b) 气味 无数据资料 c) 气味阈值 无数据资料 d) pH值 无数据资料 e) 熔点/凝固点 无数据资料 f) 沸点、初沸点和沸程 无数据资料 g) 闪点 无数据资料 h) 蒸发速率 无数据资料 i) 易燃性(固体,气体) 无数据资料 j) 高的/低的燃烧性或爆炸性限度 无数据资料 k) 蒸气压 无数据资料 l) 蒸汽密度 无数据资料 m) 密度/相对密度 无数据资料 n) 水溶性 不溶 o) n-辛醇/水分配系数 无数据资料 p) 自燃温度 无数据资料 q) 分解温度 无数据资料 r) 粘度 无数据资料 模块10. 稳定性和反应活性 10.1 反应性 无数据资料 10.2 稳定性 无数据资料 10.3 危险反应 无数据资料 10.4 应避免的条件 无数据资料 10.5 不相容的物质 强氧化剂 10.6 危险的分解产物 其它分解产物 - 无数据资料 模块11. 毒理学资料 11.1 毒理学影响的信息 急性毒性 半数致死剂量 (LD50) 经口 - 大鼠 - 185 mg/kg 皮肤刺激或腐蚀 无数据资料 眼睛刺激或腐蚀 无数据资料 呼吸道或皮肤过敏 无数据资料 生殖细胞致突变性 无数据资料 致癌性 IARC: 此产品中没有大于或等于 0。1%含量的组分被 IARC鉴别为可能的或肯定的人类致癌物。 生殖毒性 无数据资料 特异性靶器官系统毒性(一次接触) 无数据资料 特异性靶器官系统毒性(反复接触) 无数据资料 吸入危险 无数据资料 潜在的健康影响 吸入吸入可能有害。 可能引起呼吸道刺激。 摄入误吞会中毒。 皮肤通过皮肤吸收可能有害。 可能引起皮肤刺激。 眼睛可能引起眼睛刺激。 附加说明 化学物质毒性作用登记: XY5850700 模块12. 生态学资料 12.1 生态毒性 无数据资料 12.2 持久性和降解性 无数据资料 12.3 潜在的生物累积性 无数据资料 12.4 土壤中的迁移性 无数据资料 12.5 PBT 和 vPvB的结果评价 无数据资料 12.6 其它不良影响 无数据资料 模块13. 废弃处置 13.1 废物处理方法 产品 将剩余的和不可回收的溶液交给有许可证的公司处理。 与易燃溶剂相溶或者相混合,在备有燃烧后处理和洗刷作用的化学焚化炉中燃烧 受污染的容器和包装 按未用产品处置。 模块14. 运输信息 14.1 联合国危险货物编号 欧洲陆运危规: 2811国际海运危规: 2811国际空运危规: 2811 14.2 联合国运输名称 欧洲陆运危规: TOXIC SOLID, ORGANIC, N.O.S. (Lamotrigine) 国际海运危规: TOXIC SOLID, ORGANIC, N.O.S. (Lamotrigine) 国际空运危规: Toxic solid, organic, n.o.s. (Lamotrigine) 14.3 运输危险类别 欧洲陆运危规: 6.1国际海运危规: 6.1国际空运危规: 6.1 14.4 包裹组 欧洲陆运危规: III国际海运危规: III国际空运危规: III 14.5 环境危险 欧洲陆运危规: 否国际海运危规国际空运危规: 否 海洋污染物(是/否): 否 14.6 对使用者的特别提醒 无数据资料 上述信息视为正确,但不包含所有的信息,仅作为指引使用。本文件中的信息是基于我们目前所知,就正 确的安全提示来说适用于本品。该信息不代表对此产品性质的保证。 参见发票或包装条的反面。 模块 15 - 法规信息 N/A 模块16 - 其他信息 N/A |
| 符号 |
GHS06 |
|---|---|
| 信号词 | Danger |
| 危害声明 | H301 |
| 警示性声明 | P301 + P310 |
| 个人防护装备 | Eyeshields;Faceshields;Gloves;type P2 (EN 143) respirator cartridges |
| 危害码 (欧洲) | T: Toxic; |
| 风险声明 (欧洲) | R25 |
| 安全声明 (欧洲) | S45 |
| 危险品运输编码 | UN 2811 6.1/PG 3 |
| WGK德国 | 3 |
| RTECS号 | XY5850700 |
| 包装等级 | III |
| 危险类别 | 6.1(b) |
| 海关编码 | 2933699090 |

搜索








