西尼地平
-
中文名西尼地平
-
英文名Cilnidipine
-
中文别名1,4-二氢-2,6-二甲基-4-(3-硝基苯基)-3,5-吡啶二羧酸2-甲氧基乙酯肉桂醇酯
-
英文别名
ASTA 3746 2-methoxyethyl (2E)-3-phenylprop-2-en-1-yl 2,6-dimethyl-4-(3-nitrophenyl)-1,4-dihydropyridine-3,5-dicarboxylate Atelec Ciclonium bromide 2-Methoxyethyl (2E)-3-phenyl-2-propen-1-yl 2,6-dimethyl-4-(3-nitrophenyl)-1,4-dihydro-3,5-pyridinedicarboxylate Siscard 3,5-Pyridinedicarboxylic acid, 1,4-dihydro-2,6-dimethyl-4-(3-nitrophenyl)-, 2-methoxyethyl (2E)-3-phenyl-2-propen-1-yl ester MFCD00865853 Cicloniumbromid Cinalong Cilnidipine -
常用名西尼地平
-
C A S号132203-70-4
-
密度1.2±0.1 g/cm3
-
沸点652.6±55.0 °C at 760 mmHg
-
熔点97-99°C
-
化学式C27H28N2O7
-
结构式
-
闪点348.5±31.5 °C
-
分子量492.520
-
精确质量492.189636
-
P S A119.68000
-
外观形状黄色结晶固体
-
储存条件Store at +4°C
-
稳定性
-
水溶解性
-
形态
-
H L B值
-
粘度
-
PH值
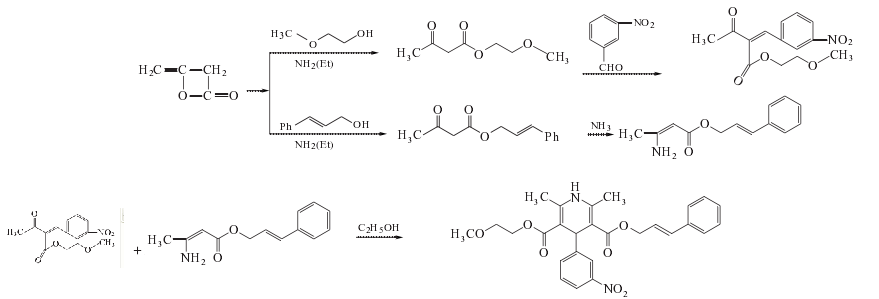
化合物(I)和3-氨基丁烯酸甲酯反应,得到产物。
2. 乙酰乙酸-2-甲氧基乙酯的制备
在反应瓶中加入乙二醇单甲醚79ml(1mol) 和乙胺0.5ml,搅拌,升温至75~80 ºC ,滴加双烯酮84g(1mol),加毕,在同温度下搅拌3h.减压蒸馏,收集110~117 ºC/1.87kPa,馏分,得无色透明液体乙酰乙酸-2-甲氧基乙酯152g,收率95%.
3. 乙酰乙酸肉桂酯的制备
在反应瓶中加入肉桂醇134g(1mol)和乙胺1ml,开搅拌升温至80~85ºC,滴加双烯酮84g(1mol)加毕,在同温度下搅拌3h.TLC跟踪反应[展开剂:甲苯/乙酸乙酯(10:1)].减压蒸除低沸物,得乙酰乙酸肉桂酯209.4g,收率95.6%.
4. 2-(3-硝基亚秝基)乙酰乙酸-2-甲氧基乙酯的制备
在反应瓶中加入乙酰乙酸-2-甲氧基乙酯80g(0.5mol),搅拌下用冰盐浴冷却,慢慢加入H2SO4 1ml,搅匀后加入间硝基苯甲醛75.5g(0.5mol),室温下搅拌6h.析出晶体,放置过夜$抽滤,滤饼用95%乙醇重结晶#得2-(3-硝基亚秝基)乙酰乙酸-2-甲氧基乙酯113.7g,收率77.6%,mp66~67ºC.
5. 3-氨基-2-丁烯酸肉桂酯的制备
在反应瓶中加入乙酰乙酸肉桂酯43.6g(0.2mol),于5ºC以下通氨气,通氨气过程中内温控制不超过10ºC ,反
应4h.加入适量无水乙醇,搅拌至溶,于冰箱中冷却析晶,抽滤,滤饼真空干燥,得淡黄色针状晶体3-氨基-2-丁烯酸肉桂酯36.5g,收率95%.
6. 西尼地平的合成
在反应瓶中加入2-(3-硝基亚秝基)乙酰乙酸-2-甲氧基乙酯58.6g(0.2mol)和3-氨基-2-丁烯酸肉桂酯43.4g(0.2mol),于110~120搅拌3h.加入无水乙醇50ml、活性炭0.5g,加热回流20min.热过滤,于冰箱中冷却析晶.抽滤,滤饼干燥得西尼地平83.7g,收率85%,mp106~108ºC.
|
西尼地平
修改号码:5
模块1. 化学品 产品名称: Cilnidipine 修改号码: 5 模块2. 危险性概述 GHS分类 物理性危害未分类
健康危害 急性毒性(经口) 第5级 环境危害未分类 GHS标签元素 图标或危害标志无 信号词警告 危险描述吞咽可能有害。 防范说明 [急救措施] 若感不适:呼叫解毒中心/医生。 模块3. 成分/组成信息 单一物质/混和物单一物质 化学名(中文名):西尼地平 百分比: >98.0%(LC) CAS编码: 132203-70-4 俗名: 1,4-Dihydro-2,6-dimethyl-4-(3-nitrophenyl)-3,5-pyridinedicarboxylic Acid 2- Methoxyethyl (2E)-3-Phenyl-2-propenyl Ester , 2-Methoxyethyl (2E)-3-Phenyl- 2-propenyl 1,4-Dihydro-2,6-dimethyl-4-(3-nitrophenyl)-3,5- pyridinedicarboxylate 分子式: C27H28N2O7 模块4. 急救措施 吸入: 将受害者移到新鲜空气处,保持呼吸通畅,休息。若感不适立即呼叫解毒中心/医生。 皮肤接触: 立即去除/脱掉所有被污染的衣物。用大量肥皂和水轻轻洗。 若皮肤刺激或发生皮疹:求医/就诊。 眼睛接触:用水小心清洗几分钟。如果方便,易操作,摘除隐形眼镜。继续清洗。 如果眼睛刺激:求医/就诊。 食入: 若感不适,呼叫解毒中心/医生。漱口。 西尼地平 修改号码:5 紧急救助者的防护: 救援者需要穿戴个人防护用品,比如橡胶手套和气密性护目镜。 模块5. 消防措施 合适的灭火剂: 干粉,泡沫,雾状水,二氧化碳 特殊危险性: 小心,燃烧或高温下可能分解产生毒烟。 特定方法: 从上风处灭火,根据周围环境选择合适的灭火方法。 非相关人员应该撤离至安全地方。 周围一旦着火:如果安全,移去可移动容器。 消防员的特殊防护用具: 灭火时,一定要穿戴个人防护用品。 模块6. 泄漏应急处理 个人防护措施,防护用具, 使用个人防护用品。远离溢出物/泄露处并处在上风处。 紧急措施: 泄露区应该用安全带等圈起来,控制非相关人员进入。 环保措施: 防止进入下水道。 控制和清洗的方法和材料: 清扫收集粉尘,封入密闭容器。注意切勿分散。附着物或收集物应该立即根据合适的 法律法规处置。 模块7. 操作处置与储存 处理 技术措施: 在通风良好处进行处理。穿戴合适的防护用具。防止粉尘扩散。处理后彻底清洗双手 和脸。 注意事项: 如果粉尘或浮质产生,使用局部排气。 操作处置注意事项: 避免接触皮肤、眼睛和衣物。 贮存 储存条件: 保持容器密闭。存放于凉爽、阴暗处。 远离不相容的材料比如氧化剂存放。 光敏 包装材料: 依据法律。 模块8. 接触控制和个体防护 工程控制: 尽可能安装封闭体系或局部排风系统,操作人员切勿直接接触。同时安装淋浴器和洗 眼器。 个人防护用品 呼吸系统防护: 防尘面具。依据当地和政府法规。 手部防护: 防护手套。 眼睛防护: 安全防护镜。如果情况需要,佩戴面具。 皮肤和身体防护: 防护服。如果情况需要,穿戴防护靴。 模块9. 理化特性 外形(20°C):固体 外观: 晶体-粉末 颜色:微浅黄色-黄色 气味: 无资料 pH: 无数据资料 熔点: 110°C 沸点/沸程 无资料 闪点: 无资料 爆炸特性 爆炸下限: 无资料 爆炸上限: 无资料 密度: 无资料 西尼地平 修改号码:5 模块9. 理化特性 溶解度: [水]无资料 [其他溶剂]无资料 模块10. 稳定性和反应性 化学稳定性:一般情况下稳定。 危险反应的可能性:未报道特殊反应性。 须避免接触的物质氧化剂 危险的分解产物: 一氧化碳, 二氧化碳, 氮氧化物 (NOx) 模块11. 毒理学信息 急性毒性: orl-rat LD50:4412 mg/kg ipr-rat LD50:426 mg/kg scu-rat LD50:>5 g/kg 对皮肤腐蚀或刺激:无资料 对眼睛严重损害或刺激:无资料 生殖细胞变异原性:无资料 致癌性: IARC =无资料 NTP =无资料 生殖毒性:无资料 RTECS 号码: US7975550 模块12. 生态学信息 生态毒性: 鱼类:无资料 甲壳类:无资料 藻类:无资料 残留性 / 降解性:无资料 潜在生物累积 (BCF):无资料 土壤中移动性 log水分配系数:无资料 土壤吸收系数 (Koc):无资料 亨利定律无资料 constant(PaM3/mol): 模块13. 废弃处置 如果可能,回收处理。请咨询当地管理部门。建议在可燃溶剂中溶解混合,在装有后燃和洗涤装置的化学焚烧炉中 焚烧。废弃处置时请遵守国家、地区和当地的所有法规。 模块14. 运输信息 联合国分类:与联合国分类标准不一致 UN编号:未列明 模块15. 法规信息 《危险化学品安全管理条例》(2002年1月26日国务院发布,2011年2月16日修订): 针对危险化学品的安全使用、 生产、储存、运输、装卸等方面均作了相应的规定。 西尼地平 修改号码:5 模块16 - 其他信息 N/A |
| 符号 |
GHS05 |
|---|---|
| 信号词 | Danger |
| 危害声明 | H318 |
| 警示性声明 | P280-P305 + P351 + P338 |
| 个人防护装备 | dust mask type N95 (US);Eyeshields;Gloves |
| 危害码 (欧洲) | Xi |
| 风险声明 (欧洲) | R41 |
| 安全声明 (欧洲) | S26;S39 |
| 危险品运输编码 | NONH for all modes of transport |
| WGK德国 | 3 |
| RTECS号 | US7975550 |
| 海关编码 | 2933399090 |

搜索








