
水合硫酸铝
产品名称
-
中文名水合硫酸铝
-
英文名aluminum,sulfuric acid,hydrate
-
中文别名
-
英文别名
aluminum sulfuric acid hydrate Sulfuric acid,aluminum salt,hydrate -
常用名水合硫酸铝
-
C A S号57292-32-7
物理性质
-
密度1.69 g/mL at 25 °C(lit.)
-
沸点330ºC at 760 mmHg
-
熔点N/A
-
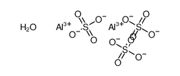
化学式Al2H8O13S3
-
结构式
-
闪点N/A
-
分子量366.21400
-
精确质量365.87600
-
P S A275.15000
-
外观形状
-
储存条件
-
稳定性
-
水溶解性
-
形态
-
H L B值
-
粘度
-
PH值
作用/用途
制备方法
安全提醒
MSDS
原料简介
应用范围
毒性和生态
安全信息
危害码 (欧洲) | Xi |
---|---|
风险声明 (欧洲) | 41 |
安全声明 (欧洲) | 26-39 |
WGK德国 | 1 |
是否危险品
危险性
危险类别码
危险等级
触发危险方式
安全技术说明书
环境影响程度
包装与储运
相关供应商