百里香酚酞
用作酸碱指示剂
产品名称
-
中文名百里酚酞
-
英文名Thymolphthalein
-
中文别名麝香草酚麸 | 5',5''-二异丙基-2',2''-二甲基酚酞 | 麝香草酚酞 | 百里香酚酞
-
英文别名
Thymolphthalein MFCD00005909 3,3-Bis[4-hydroxy-2-methyl-5-(1-methylethyl)phenyl]-1(3H)-isobenzofuranone 3,3-Bis(4-hydroxy-5-isopropyl-2-methylphenyl)-2-benzofuran-1(3H)-one TCMDC-123951 1(3H)-Isobenzofuranone, 3,3-bis[4-hydroxy-2-methyl-5-(1-methylethyl)phenyl]- 3,3-bis(4-hydroxy-2-methyl-5-propan-2-ylphenyl)-2-benzofuran-1-one EINECS 204-729-7 5',5''-Diisopropyl-2',2''-dimethylphenolphthalein -
常用名百里香酚酞
-
C A S号125-20-2
物理性质
-
密度1.2±0.1 g/cm3
-
沸点571.6±50.0 °C at 760 mmHg
-
熔点251-253 °C(lit.)
-
化学式C28H30O4
-
结构式
1、 摩尔折射率:126.12
2、 摩尔体积(cm3/mol):362.4
3、 等张比容(90.2K):961.6
4、 表面张力(dyne/cm):49.5
5、 极化率(10-24cm3):50.00
-
闪点187.5±23.6 °C
-
分子量430.535
-
精确质量430.214417
-
P S A66.76000
-
外观形状白色结晶粉末
-
储存条件
贮存:密封保存。
-
稳定性
-
水溶解性
-
形态
-
H L B值
-
粘度
-
PH值
作用/用途
用作酸碱指示剂
制备方法
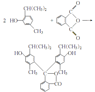
1.将麝香草酚、邻苯二甲酸酐和无水氯化锌混合,加热。加入乙醚及苯。在水浴上加热回流,倾出上层溶剂,向固体物中加入甲醇,加热。用甲醇抽提剩余的固体物,滴加水出现沉淀、冷却,便得纯品麝香草酚酞。
2.将百里酚、邻苯二甲酸酐和无水氯化锌混合,搅拌下加热至105~110℃,保温6~8h进行反应:
反应结束后,先冷却,然后加入少量乙醚和苯,水浴加热回流,使未反应的百里酚完全溶解。冷却结晶,分出上层溶剂,在结晶中加入甲醇,抽提产物,收集提取液,往提取液中滴加水至沉淀析出即停止,冷却结晶,即为百里香酚酞。根据纯品要求,可再用热甲醇重复抽提、滴水析出过程。
安全提醒
MSDS
|
百里香酚酞MSDS英文版
|
原料简介
应用范围
毒性和生态
安全信息
| 个人防护装备 | Eyeshields;Gloves;type N95 (US);type P1 (EN143) respirator filter |
|---|---|
| 危害码 (欧洲) | Xn:Harmful |
| 风险声明 (欧洲) | R40 |
| 安全声明 (欧洲) | S7-S16-S36/37-S24/25-S22 |
| 危险品运输编码 | UN 1170 3/PG 3 |
| WGK德国 | 3 |
| 包装等级 | II |
| 危险类别 | 3 |
| 海关编码 | 29322980 |
是否危险品
危险性
危险类别码
危险等级
触发危险方式
安全技术说明书
环境影响程度
包装与储运
相关供应商

搜索







