4-氨基安替吡啉
Ampyrone 是一种试剂,在过氧化物酶与苯酚存在时,用于葡萄糖测定。
产品名称
-
中文名4-氨基安替比林
-
英文名4-Aminoantipyrine
-
中文别名4-氨基非那宗 | 4-氨基安替吡啉 | 4-氨基-2,3-二甲基-1-苯基-5-吡唑啉酮 | 1,5-二甲基-2-苯基-4-氨基-3-吡唑啉酮
-
英文别名
4-amino-1,5-dimethyl-2-phenylpyrazol-3-one EINECS 201-452-3 4-Aminoantipyrine MFCD00003145 -
常用名4-氨基安替吡啉
-
C A S号83-07-8
物理性质
-
密度1.2±0.1 g/cm3
-
沸点309.0±45.0 °C at 760 mmHg
-
熔点105-110 °C(lit.)
-
化学式C11H13N3O
-
结构式
1、 摩尔折射率:58.10
2、 摩尔体积(cm3/mol):168.3
3、 等张比容(90.2K):442.1
4、 表面张力(dyne/cm):47.5
5、 极化率(10-24cm3):23.03
-
闪点140.7±28.7 °C
-
分子量203.240
-
精确质量203.105865
-
P S A52.95000
-
外观形状黄色结晶粉末
-
储存条件
充氩气密封阴凉干燥避光保存。
-
稳定性
-
水溶解性
-
形态淡黄色结晶
-
H L B值
-
粘度
-
PH值
作用/用途
Ampyrone 是一种试剂,在过氧化物酶与苯酚存在时,用于葡萄糖测定。
制备方法
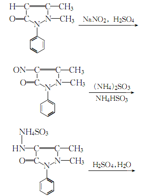
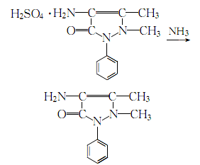
1.安替比林经亚硝酸钠亚硝化,经亚硫酸氢铵与亚硫酸铵还原,经硫酸水解,最后用液氨中和,得到4-氨基安替比林。工艺过程如下:安替比林与50%硫酸配成溶液,其中含安替比林38%-40%、含硫酸11%-12%。将此溶液与亚硝酸钠溶液同时流入亚硝化反应器,控制两者的流量,控制反应温度45-50℃,搅拌下反应,并用碘粉淀粉试纸测反应终点以调节水流量。亚硝化生成的亚硝基安替比林立即流入还原罐,与罐内配好的还原剂亚硫酸氢铵与亚硫酸铵的水溶液反应。取样测pH值及还原度,pH值在5.4-5.8之间,还原度约为15(即1ml还原液消耗0.1N碘液的毫升数)。还原结束后,pH值调节至5.8-6.0,还原度为5左右。升温至100℃,水解3h。降温至80℃,用液氨中和至pH7-7.5,静置分层。分去废水,得4-氨基安替比林油(含量80%以上)。将其压入结晶罐,搅拌、冷却结晶、过滤,得4-氨基安替比林。
2. 安替吡啉经亚硝化,再经亚硫酸氢铵和亚硫酸铵还原、硫酸水解,最后用液氨中和可得4-氨基安替吡啉。
安全提醒
MSDS
|
||||||||||||||||||||||||||||||||||||||||||||||||||||||||||||||||||||||||||||||||||||||||||||||||||||||||||||||||||||||||||||||||||||||||||||||||||||||||||||||||||||||||||||||||||||||||||||||||||||||||||||||||||||||||||||||||||||||||||||||||||||||||||
原料简介
应用范围
毒性和生态
安全信息
| 符号 |
GHS07 |
|---|---|
| 信号词 | Warning |
| 危害声明 | H302 |
| 警示性声明 | P301 + P312 + P330 |
| 个人防护装备 | dust mask type N95 (US);Eyeshields;Gloves |
| 危害码 (欧洲) | Xn:Harmful |
| 风险声明 (欧洲) | R22;R36/37/38 |
| 安全声明 (欧洲) | S26-S36-S36/37/39 |
| 危险品运输编码 | NONH for all modes of transport |
| WGK德国 | 3 |
| RTECS号 | CD2480000 |
| 海关编码 | 29331190 |
是否危险品
危险性
危险类别码
危险等级
触发危险方式
安全技术说明书
环境影响程度
包装与储运
相关供应商

搜索








