九水偏硅酸钠
【用途一】
主要用作洗衣粉、金属清洗剂、餐具洗涤中的高效助剂。用于棉纱蒸煮。还用于旧纸张去油墨、印刷去污、植物油回收。并可用作过氧化物漂白的稳定剂。
主要用作洗衣粉、金属清洗剂、餐具洗涤中的高效助剂。用于棉纱蒸煮。还用于旧纸张去油墨、印刷去污、植物油回收。并可用作过氧化物漂白的稳定剂。
【用途二】
参见五水偏硅酸钠。
【用途三】
分析试剂。织物防火剂。黏合剂。接合剂,硬化剂,增重剂,防火剂,填充剂,单倍体育种中配制砂培养基的微量元素,矿石浮选剂,石油精制。
参见五水偏硅酸钠。
【用途三】
分析试剂。织物防火剂。黏合剂。接合剂,硬化剂,增重剂,防火剂,填充剂,单倍体育种中配制砂培养基的微量元素,矿石浮选剂,石油精制。
产品名称
-
中文名九水偏硅酸钠
-
英文名Sodium metasilicate nonahydrate
-
中文别名硅酸钠 | 偏硅酸钠,九水合物 | 偏硅酸钠九水合物 | 九水硅酸钠 | 偏硅酸钠,九水
-
英文别名
disodium,dioxido(oxo)silane,nonahydrate EINECS 229-912-9 MFCD00149175 Sodium Metasilicate Nonahydrate -
常用名九水偏硅酸钠
-
C A S号13517-24-3
物理性质
-
密度2.61
-
沸点N/A
-
熔点N/A
-
化学式H18Na2O12Si
-
结构式
1、 摩尔折射率:无可用
2、 摩尔体积(cm3/mol):无可用
3、 等张比容(90.2K):无可用
4、 表面张力(dyne/cm):无可用
5、 极化率:无可用
-
闪点N/A
-
分子量284.201
-
精确质量284.036285
-
P S A146.26000
-
外观形状白色晶体
-
储存条件
密闭于阴凉干燥环境中.贮运过程中周围环境温度应低于40℃。应贮存于阴凉、通风、干燥的库房中。防止受潮、雨淋和日光暴晒。
-
稳定性
-
水溶解性
-
形态白色方形结晶或球状颗粒
-
H L B值
-
粘度
-
PH值
作用/用途
【用途一】
主要用作洗衣粉、金属清洗剂、餐具洗涤中的高效助剂。用于棉纱蒸煮。还用于旧纸张去油墨、印刷去污、植物油回收。并可用作过氧化物漂白的稳定剂。
主要用作洗衣粉、金属清洗剂、餐具洗涤中的高效助剂。用于棉纱蒸煮。还用于旧纸张去油墨、印刷去污、植物油回收。并可用作过氧化物漂白的稳定剂。
【用途二】
参见五水偏硅酸钠。
【用途三】
分析试剂。织物防火剂。黏合剂。接合剂,硬化剂,增重剂,防火剂,填充剂,单倍体育种中配制砂培养基的微量元素,矿石浮选剂,石油精制。
参见五水偏硅酸钠。
【用途三】
分析试剂。织物防火剂。黏合剂。接合剂,硬化剂,增重剂,防火剂,填充剂,单倍体育种中配制砂培养基的微量元素,矿石浮选剂,石油精制。
制备方法
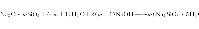
合成法 将水玻璃固体在高温、高压下溶解,与烧碱反应,结晶、分离,湿滤饼经干燥得到产品。分离出的母液经处理可返回流程的合成工序使用。其
2.结晶分离法 该方法是以工业水玻璃和工业烧碱为原料,经过调模、浓缩、结晶、分离、干燥得到产品。分离出的母液可返回流程的合成工序使用。反应式如下:
4.一次造粒法 一次造粒法以烧碱和石英砂为原料,湿法生产制得低模数水玻璃,再加入烧碱调整反应液模数达1∶1,经过蒸发浓缩至五水偏硅酸钠含固量达58%左右,并加入晶种再经造粒、冷却、筛分得到产品。或者在80~100℃放置数小时,然后将其和五水偏硅酸钠晶种送到一个由五水偏硅酸钠粉末铺设的转盘上,溶液立即结晶,结晶微粒从转盘中送出,落入圆筒干燥器中,在30~50℃下干燥,筛分,取1~2mm粒径的为产品。
安全提醒
MSDS
|
模块1. 化学品 1.1 产品标识符 : 偏硅酸钠 九水合物 产品名称 1.2 鉴别的其他方法 无数据资料
1.3 有关的确定了的物质或混合物的用途和建议不适合的用途
仅用于研发。不作为药品、家庭或其它用途。 模块2. 危险性概述 2.1 GHS分类 皮肤腐蚀 (类别 1B) 严重眼睛损伤 (类别 1) 特异性靶器官系统毒性(一次接触) (类别 3) 2.2 GHS 标记要素,包括预防性的陈述 象形图 警示词危险 危险申明 H314造成严重皮肤灼伤和眼损伤。 H335可能造成呼吸道刺激。 警告申明 预防措施 P260不要吸入粉尘或烟雾。 P264操作后彻底清洗皮肤。 P271只能在室外或通风良好之处使用。 P280戴防护手套/穿防护服/戴防护眼罩/戴防护面具。 事故响应 P301 + P330 + P331如误吞咽:漱口。不要诱导呕吐。 P303 + P361 + P353如皮肤(或头发)沾染:立即脱掉所有沾染的衣服。用水清洗皮肤/淋浴。 P304 + P340如误吸入:将受害人转移到空气新鲜处,保持呼吸舒适的休息姿势。 P305 + P351 + P338如进入眼睛:用水小心冲洗几分钟。如戴隐形眼镜并可方便地取出,取出 隐形眼镜。继续冲洗。 P310立即呼叫解毒中心或医生。 P321具体治疗(见本标签上提供的急救指导)。 P363沾染的衣服清洗后方可重新使用。 储存 P403 + P233存放在通风良好的地方。保持容器密闭。 P405存放处须加锁。 废弃处置 P501将内装物/容器送到批准的废物处理厂处理。 2.3 其它危害物 催泪 模块3. 成分/组成信息 3.1 物 质 : Na2O3Si · 9H2O 分子式 : 284.20 g/mol 分子量 组分浓度或浓度范围 Disodium metasilicate nonhydrate 化学文摘登记号(CAS 13517-24-3<= 100 % No.) 229-912-9 014-010-00-8 模块4. 急救措施 4.1 必要的急救措施描述 一般的建议 请教医生。 向到现场的医生出示此安全技术说明书。 吸入 如果吸入,请将患者移到新鲜空气处。 如呼吸停止,进行人工呼吸。 请教医生。 皮肤接触 立即脱掉被污染的衣服和鞋。 用肥皂和大量的水冲洗。 请教医生。 眼睛接触 用大量水彻底冲洗至少15分钟并请教医生。 食入 禁止催吐。 切勿给失去知觉者喂食任何东西。 用水漱口。 请教医生。 4.2 主要症状和影响,急性和迟发效应 咳嗽, 呼吸短促, 头痛, 恶心, 呕吐 4.3 及时的医疗处理和所需的特殊处理的说明和指示 无数据资料 模块5. 消防措施 5.1 灭火介质 灭火方法及灭火剂 用水雾,耐醇泡沫,干粉或二氧化碳灭火。 5.2 源于此物质或混合物的特别的危害 氧化钠, 二氧化硅 5.3 给消防员的建议 如有必要,佩戴自给式呼吸器进行消防作业。 5.4 进一步信息 无数据资料 模块6. 泄露应急处理 6.1 作业人员防护措施、防护装备和应急处置程序 使用个人防护装备。 避免粉尘生成。 避免吸入蒸气、气雾或气体。 保证充分的通风。 将人员疏散到安全区域。 避免吸入粉尘。 6.2 环境保护措施 不要让产品进入下水道。 6.3 泄漏化学品的收容、清除方法及所使用的处置材料 收集和处置时不要产生粉尘。 扫掉和铲掉。 放入合适的封闭的容器中待处理。 6.4 参考其他部分 丢弃处理请参阅第13节。 模块7. 操作处置与储存 7.1 安全操作的注意事项 避免接触皮肤和眼睛。 避免形成粉尘和气溶胶。 在有粉尘生成的地方,提供合适的排风设备。 7.2 安全储存的条件,包括任何不兼容性 贮存在阴凉处。 使容器保持密闭,储存在干燥通风处。 吸湿的. 7.3 特定用途 无数据资料 模块8. 接触控制和个体防护 8.1 控制参数 职业接触限值 没有已知的国家规定的暴露极限。 8.2 暴露控制 适当的技术控制 按照良好的工业卫生和安全规范进行操作。 休息前及工作结束时洗手。 个体防护装备 眼面防护 面罩與安全眼鏡请使用经官方标准如NIOSH (美国) 或 EN 166(欧盟) 检测与批准的设备防护眼部。 皮肤保护 戴手套取 手套在使用前必须受检查。 请使用合适的方法脱除手套(不要接触手套外部表面),避免任何皮肤部位接触此产品. 使用后请将被污染过的手套根据相关法律法规和有效的实验室规章程序谨慎处理. 请清洗并吹干双手 所选择的保护手套必须符合EU的89/686/EEC规定和从它衍生出来的EN 376标准。 完全接触 材料: 丁腈橡胶 最小的层厚度 0.11 mm 溶剂渗透时间: 480 min 飞溅保护 材料: 丁腈橡胶 最小的层厚度 0.11 mm 溶剂渗透时间: 480 min 测试方法 EN374 如果以溶剂形式应用或与其它物质混合应用,或在不同于EN 374规定的条件下应用,请与EC批准的手套的供应商联系。 这个推荐只是建议性的,并且务必让熟悉我们客户计划使用的特定情况的工业卫生学专家评估确认才可. 这不应该解释为在提供对任何特定使用情况方法的批准. 身体保护 全套防化学试剂工作服, 防护设备的类型必须根据特定工作场所中的危险物的浓度和数量来选择。 呼吸系统防护 如危险性评测显示需要使用空气净化的防毒面具,请使用全面罩式多功能微粒防毒面具N100型(US )或P3型(EN 143)防毒面具筒作为工程控制的候补。如果防毒面具是保护的唯一方式,则使用全面罩式送风防毒 面具。 呼吸器使用经过测试并通过政府标准如NIOSH(US)或CEN(EU)的呼吸器和零件。 模块9. 理化特性 9.1 基本的理化特性的信息 a) 外观与性状 形状: 固体 b) 气味 无数据资料 c) 气味阈值 无数据资料 d) pH值 无数据资料 e) 熔点/凝固点 无数据资料 f) 初沸点和沸程 无数据资料 g) 闪点 不适用 h) 蒸发速率 无数据资料 i) 易燃性(固体,气体) 无数据资料 j) 高的/低的燃烧性或爆炸性限度 无数据资料 k) 蒸气压 无数据资料 l) 蒸气密度 无数据资料 m) 密度/相对密度 无数据资料 n) 水溶性 无数据资料 o) 正辛醇/水分配系数 无数据资料 p) 自燃温度 无数据资料 q) 分解温度 无数据资料 r) 黏度 无数据资料 模块10. 稳定性和反应活性 10.1 反应性 无数据资料 10.2 稳定性 无数据资料 10.3 危险反应 无数据资料 10.4 应避免的条件 防潮。 10.5 不相容的物质 强酸, 铅, 锡/氧化锡, 锌, 铝 10.6 危险的分解产物 其它分解产物 - 无数据资料 模块11. 毒理学资料 11.1 毒理学影响的信息 急性毒性 无数据资料 皮肤腐蚀/刺激 无数据资料 严重眼睛损伤/眼刺激 无数据资料 呼吸或皮肤过敏 无数据资料 生殖细胞致突变性 无数据资料 致癌性 IARC: 此产品中没有大于或等于 0。1%含量的组分被 IARC鉴别为可能的或肯定的人类致癌物。 生殖毒性 无数据资料 特异性靶器官系统毒性(一次接触) 可能造成呼吸道刺激。 特异性靶器官系统毒性(反复接触) 无数据资料 吸入危害 无数据资料 潜在的健康影响 吸入吸入可能有害。 该物质对组织、粘膜和上呼吸道破坏力强 引起呼吸道刺激。 食入吞咽可能有害。 引致灼伤。 皮肤通过皮肤吸收可能有害。 引起皮肤灼伤。 眼睛引起眼睛灼伤。 接触后的征兆和症状 咳嗽, 呼吸短促, 头痛, 恶心, 呕吐 附加说明 化学物质毒性作用登记: 无数据资料 模块12. 生态学资料 12.1 生态毒性 无数据资料 12.2 持久性和降解性 无数据资料 12.3 潜在的生物累积性 无数据资料 12.4 土壤中的迁移性 无数据资料 12.5 PBT和vPvB的结果评价 无数据资料 12.6 其他不良影响 无数据资料 模块13. 废弃处置 13.1 废物处理方法 产品 与易燃溶剂相溶或者相混合,在备有燃烧后处理和洗刷作用的化学焚化炉中燃烧 受污染的容器和包装 按未用产品处置。 模块14. 运输信息 欧洲陆运危规: 3253国际海运危规: 3253国际空运危规: 3253 14.2 联合国运输名称 欧洲陆运危规: DISODIUM TRIOXOSILICATE 国际海运危规: DISODIUM TRIOXOSILICATE 国际空运危规: Disodium trioxosilicate 14.3 运输危险类别 欧洲陆运危规: 8国际海运危规: 8国际空运危规: 8 14.4 包裹组 欧洲陆运危规: III国际海运危规: III国际空运危规: III 14.5 环境危险 欧洲陆运危规: 否国际海运危规国际空运危规: 否 海洋污染物(是/否): 否 14.6 特殊防范措施 无数据资料 模块 15 - 法规信息 N/A 模块16 - 其他信息 N/A |
原料简介
应用范围
毒性和生态
安全信息
| 符号 |
GHS05, GHS07 |
|---|---|
| 信号词 | Danger |
| 危害声明 | H314-H335 |
| 警示性声明 | P261-P280-P305 + P351 + P338-P310 |
| 个人防护装备 | Eyeshields;Faceshields;full-face particle respirator type N100 (US);Gloves;respirator cartridge type N100 (US);type P1 (EN143) respirator filter;type P3 (EN 143) respirator cartridges |
| 危害码 (欧洲) | C:Corrosive; |
| 风险声明 (欧洲) | R34;R37 |
| 安全声明 (欧洲) | S13-S36/37/39-S45 |
| 危险品运输编码 | UN 3253 8/PG 3 |
| WGK德国 | 1 |
| 包装等级 | III |
| 危险类别 | 8 |
| 海关编码 | 2839110000 |
是否危险品
危险性
危险类别码
危险等级
触发危险方式
安全技术说明书
环境影响程度
包装与储运
相关供应商

搜索








