左旋舒必利
-
中文名左舒必利
-
英文名Levosulpiride
-
中文别名左旋舒必利 | (S)-(-)-止呕灵 | (S)-(-)-N-[甲基-(1-乙基-2-吡咯烷基)]-2-甲氧基-5-(氨基磺酰基)-苯甲酰胺 | (S)-N-[(1-乙基吡咯烷基-2-基)甲基]-2-甲氧基-5-氨磺酰基苯甲酰胺 | (S)-(-)-舒必利
-
英文别名
Benzamide, N-((1-ethyl-2-pyrrolidinyl)methyl)-2-methoxy-5-sulfamoyl-, S-(-)- (S)-(-)-N-((1-Ethyl-2-pyrrolidinyl)methyl)-5-sulfamoyl-o-anisamide N-{[(2S)-1-Ethyl-2-pyrrolidinyl]methyl}-2-methoxy-5-sulfamoylbenzamide Benzamide, 5-(aminosulfonyl)-N-[[(2S)-1-ethyl-2-pyrrolidinyl]methyl]-2-methoxy- S-(-)-N-(1-Ethyl-2-pyrrolidinomethyl)-2-methoxy-5-sulfamoylebenzamide S-(-)-Sulpiride (S)-(-)-Sulpiride 5-(Aminosulfonyl)-N-[[(2S)-1-ethyl-2-pyrrolidinyl]methyl]-2-methoxybenzamide Levosulpiride N-{[(2S)-1-Ethylpyrrolidin-2-yl]methyl}-2-methoxy-5-sulfamoylbenzolcarboxamid (S)-N-[(1-Ethylpyrrolidin-2-yl)methyl]-2-methoxy-5-sulfamoylbenzamide N-{[(2S)-1-Ethylpyrrolidin-2-yl]methyl}-2-methoxy-5-sulfamoylbenzamide o-Anisamide, N-((1-ethyl-2-pyrrolidinyl)methyl)-5-sulfamoyl-, (S)-(-)- T5NTJ A2 B1MVR BO1 ESZW &&S Form Sulpiride [L-(-)] MFCD00055220 (-)-N-(((S)-1-Ethyl-2-pyrrolidinyl)methyl)-5-sulfamoyl-o-anisamide Levobren -
常用名左旋舒必利
-
C A S号23672-07-3
-
密度1.2±0.1 g/cm3
-
沸点N/A
-
熔点183-186 °C(lit.)
-
化学式C15H23N3O4S
-
结构式
1、 摩尔折射率:88.18
2、 摩尔体积(cm3/mol):276.1
3、 等张比容(90.2K):718.6
4、 表面张力(dyne/cm):45.8
5、 极化率(10-24cm3):34.95
-
闪点N/A
-
分子量341.426
-
精确质量341.140930
-
P S A110.11000
-
外观形状
-
储存条件
2-8℃
-
稳定性
-
水溶解性
-
形态单形结晶固体.
-
H L B值
-
粘度
-
PH值
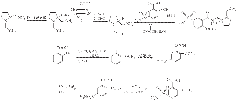
方法1:其制备和舒必利相同,只不过是2-氨甲基-1-乙基吡咯烷在和2-甲氧基-5-氨基磺酰苯甲酸甲酯反应前,先进行化学拆分,得S型后再反应。室温下,把消旋的2-氨甲基-1-乙基吡咯烷滴加到D-(-)-酒石酸的水溶液中,搅拌。再加入无水乙醇,在冰箱中放置过夜。滤集固体,和甲醇一起回流,热滤,干燥得酒石酸盐,收率36.8%。该盐和氢氧化钠水溶液于室温下搅拌,氯仿萃取。萃取液干燥后浓缩,减压蒸馏,收集65℃/2.0kPa的馏分,得(S)-(-)-2氨甲基-1-乙基吡咯烷,收率43.5%。得到的S型的吡咯烷,和2-甲氧基-5-氨基磺酰苯甲酸甲酯在乙二醇中,于120℃搅拌。冷至5℃过滤,得到的粗品用95%乙醇重结晶,得左舒必利,收率72.6%,熔点184~186℃,[α]D23-66.4°(C=0.5,二甲基甲酰胺)。
方法2:以左旋脯氨酸为原料,经酰化、还原、氯化、氨化和缩合五步反应得左舒必利。L-脯氨酸溶于水,滴加乙酐。在90℃搅拌,冷却,抽滤,少量冰水洗。滤液浓缩至1/2体积,加异丙醇。滤集结晶,干燥得酰化产物L-N-乙酰脯氨酸,收率90%。将其溶于四氢呋喃中,缓慢滴入氢化铝锂的四氢呋喃溶液,回流。在冰浴冷却下,先滴加四氢呋喃和水的混合液,再滴加20%氢氧化钠溶液。过滤,滤液干燥,再过滤。蒸出溶剂,收集76~78℃/2.0kPa馏分,得化合物(I),收率79.8%。将化合物(I)溶于二氯甲烷,在冰浴冷却下,缓慢滴加氯化亚砜,室温搅拌后再回流。浓缩至于,加入无水乙醇一氨溶液,20℃搅拌。蒸去溶剂,加入水,50%氢氧化钠调至Ph值10。乙醚提取,干燥,过滤,蒸去溶剂,收集70~74℃/1.6kPa馏分,得化合物(Ⅱ),收率65%。化合物(Ⅱ)和化合物(Ⅲ)溶于乙二醇,在80~85℃搅拌,并蒸出生成的甲醇。冷却,过滤,乙醇重结晶,得左舒必利,收率。75%,熔点186~187℃,[α]D20-68.79°(C=1%,二甲基甲酰胺)。
|
1.1 产品标识符
: (S)-(-)-止呕灵 产品名称 1.2 鉴别的其他方法 (S)-5-Aminosulfonyl-N-[(1-ethyl-2-pyrrolidinyl)methyl]-2-methoxybenzamide Levosulpiride
1.3 有关的确定了的物质或混合物的用途和建议不适合的用途
仅供科研用途,不作为药物、家庭备用药或其它用途。 模块2. 危险性概述 2.1 GHS分类 急性毒性, 经口 (类别5) 2.2 GHS 标记要素,包括预防性的陈述 象形图无 警示词警告 危险申明 H303吞咽可能有害。 警告申明 措施 P312如感觉不适,呼救中毒控制中心或医生. 2.3 其它危害物 - 无 模块3. 成分/组成信息 3.1 物 质 : (S)-5-Aminosulfonyl-N-[(1-ethyl-2-pyrrolidinyl)methyl]-2- 别名 methoxybenzamide Levosulpiride : C15H23N3O4S 分子式 : 341.43 g/mol 分子量 组分浓度或浓度范围 (S)-(-)-Sulpiride - CAS 号23672-07-3 模块4. 急救措施 4.1 必要的急救措施描述 一般的建议 请教医生。 出示此安全技术说明书给到现场的医生看。 吸入 如果吸入,请将患者移到新鲜空气处。 如果停止了呼吸,给于人工呼吸。 请教医生。 皮肤接触 用肥皂和大量的水冲洗。 请教医生。 眼睛接触 用水冲洗眼睛作为预防措施。 食入 切勿给失去知觉者从嘴里喂食任何东西。 用水漱口。 请教医生。 4.2 主要症状和影响,急性和迟发效应 心律不齐, 锥体束外功能紊乱, 与剂量有关的副作用可能出现,包括厌食,恶心,呕吐,头痛,晕玄,心动过速,神经过敏,失眠,皮肤混乱 4.3 及时的医疗处理和所需的特殊处理的说明和指示 无数据资料 模块5. 消防措施 5.1 灭火介质 灭火方法及灭火剂 用水雾,耐醇泡沫,干粉或二氧化碳灭火。 5.2 源于此物质或混合物的特别的危害 碳氧化物, 氮氧化物, 硫氧化物 5.3 给消防员的建议 如必要的话,戴自给式呼吸器去救火。 5.4 进一步信息 无数据资料 模块6. 泄露应急处理 6.1 人员的预防,防护设备和紧急处理程序 使用个人防护设备。 防止粉尘的生成。 防止吸入蒸汽、气雾或气体。 避免吸入粉尘。 6.2 环境保护措施 不要让产物进入下水道。 6.3 抑制和清除溢出物的方法和材料 收集、处理泄漏物,不要产生灰尘。 扫掉和铲掉。 存放进适当的闭口容器中待处理。 6.4 参考其他部分 丢弃处理请参阅第13节。 模块7. 操作处置与储存 7.1 安全操作的注意事项 防止粉尘和气溶胶生成。 在有粉尘生成的地方,提供合适的排风设备。 7.2 安全储存的条件,包括任何不兼容性 贮存在阴凉处。 容器保持紧闭,储存在干燥通风处。 建议的贮存温度: 2 - 8 °C 7.3 特定用途 无数据资料 模块8. 接触控制和个体防护 8.1 容许浓度 最高容许浓度 没有已知的国家规定的暴露极限。 8.2 暴露控制 适当的技术控制 按照良好工业和安全规范操作。 休息前和工作结束时洗手。 个体防护设备 眼/面保护 请使用经官方标准如NIOSH (美国) 或 EN 166(欧盟) 检测与批准的设备防护眼部。 皮肤保护 戴手套取 手套在使用前必须受检查。 请使用合适的方法脱除手套(不要接触手套外部表面),避免任何皮肤部位接触此产品. 使用后请将被污染过的手套根据相关法律法规和有效的实验室规章程序谨慎处理. 请清洗并吹干双手 所选择的保护手套必须符合EU的89/686/EEC规定和从它衍生出来的EN 376标准。 身体保护 根据危险物质的类型,浓度和量,以及特定的工作场所来选择人体保护措施。, 防护设备的类型必须根据特定工作场所中的危险物的浓度和含量来选择。 呼吸系统防护 不需要保护呼吸。如需防护粉尘损害,请使用N95型(US)或P1型(EN 143)防尘面具。 呼吸器使用经过测试并通过政府标准如NIOSH(US)或CEN(EU)的呼吸器和零件。 模块9. 理化特性 9.1 基本的理化特性的信息 a) 外观与性状 形状: 固体 b) 气味 无数据资料 c) 气味阈值 无数据资料 d) pH值 无数据资料 e) 熔点/凝固点 熔点/凝固点: 183 - 186 °C f) 起始沸点和沸程 无数据资料 g) 闪点 无数据资料 h) 蒸发速率 无数据资料 i) 易燃性(固体,气体) 无数据资料 j) 高的/低的燃烧性或爆炸性限度 无数据资料 k) 蒸汽压 无数据资料 l) 蒸汽密度 无数据资料 m) 相对密度 无数据资料 n) 水溶性 无数据资料 o) n-辛醇/水分配系数 无数据资料 p) 自燃温度 无数据资料 q) 分解温度 无数据资料 r) 粘度 无数据资料 模块10. 稳定性和反应活性 10.1 反应性 无数据资料 10.2 稳定性 无数据资料 10.3 危险反应的可能性 无数据资料 10.4 应避免的条件 无数据资料 10.5 不兼容的材料 强氧化剂 10.6 危险的分解产物 其它分解产物 - 无数据资料 模块11. 毒理学资料 11.1 毒理学影响的信息 急性毒性 半数致死剂量 (LD50) 经口 - 兔子 - > 1,500 mg/kg 半数致死剂量 (LD50) 经口 - 大鼠 - 2,600 mg/kg 半数致死剂量 (LD50) 经口 - 老鼠 - 2,450 mg/kg 半数致死剂量 (LD50) 腹膜内的 - 大鼠 - 270 mg/kg 半数致死剂量 (LD50) 腹膜内的 - 老鼠 - 170 mg/kg 半数致死剂量 (LD50) 静脉内的 - 兔子 - 42 mg/kg 半数致死剂量 (LD50) 静脉内的 - 大鼠 - 53 mg/kg 皮肤刺激或腐蚀 无数据资料 眼睛刺激或腐蚀 无数据资料 呼吸道或皮肤过敏 无数据资料 生殖细胞突变性 无数据资料 致癌性 IARC: 此产品中没有大于或等于 0。1%含量的组分被 IARC鉴别为可能的或肯定的人类致癌物。 生殖毒性 无数据资料 特异性靶器官系统毒性(一次接触) 无数据资料 特异性靶器官系统毒性(反复接触) 无数据资料 吸入危险 无数据资料 潜在的健康影响 吸入吸入可能有害。 可能引起呼吸道刺激。 摄入如服入是有害的。 皮肤如果通过皮肤吸收可能是有害的。 可能引起皮肤刺激。 眼睛可能引起眼睛刺激。 接触后的征兆和症状 心律不齐, 锥体束外功能紊乱, 与剂量有关的副作用可能出现,包括厌食,恶心,呕吐,头痛,晕玄,心动过速,神经过敏,失眠,皮肤混乱 附加说明 化学物质毒性作用登记: 无数据资料 模块12. 生态学资料 12.1 生态毒性 无数据资料 12.2 持久存留性和降解性 无数据资料 12.3 潜在的生物蓄积性 无数据资料 12.4 土壤中的迁移性 无数据资料 12.5 PBT 和 vPvB的结果评价 无数据资料 12.6 其它不利的影响 无数据资料 模块13. 废弃处置 13.1 废物处理方法 产品 将剩余的和未回收的溶液交给处理公司。 与易燃溶剂相溶或者相混合,在备有燃烧后处理和洗刷作用的化学焚化炉中燃烧 受污染的容器和包装 作为未用过的产品弃置。 模块14. 运输信息 14.1 联合国危险货物编号 欧洲陆运危规: -国际海运危规: -国际空运危规: - 14.2 联合国(UN)规定的名称 欧洲陆运危规: 非危险货物 国际海运危规: 非危险货物 国际空运危规: 非危险货物 14.3 运输危险类别 欧洲陆运危规: -国际海运危规: -国际空运危规: - 14.4 包裹组 欧洲陆运危规: -国际海运危规: -国际空运危规: - 14.5 环境危险 欧洲陆运危规: 否国际海运危规 海运污染物: 否国际空运危规: 否 14.6 对使用者的特别提醒 无数据资料 模块 15 - 法规信息 N/A 模块16 - 其他信息 N/A |
| 个人防护装备 | Eyeshields;Gloves;type N95 (US);type P1 (EN143) respirator filter |
|---|---|
| 危险品运输编码 | NONH for all modes of transport |
| WGK德国 | 3 |
| RTECS号 | BZ3400100 |

搜索







