卡培他滨
-
中文名卡培他滨
-
英文名Capecitabine
-
中文别名5'-脱氧-5-氟-N4-[(戊氧基)羰基]胞啶 | 5'-脱氧-5-氟-N-[(戊氧基)羰基]-胞苷 | 卡培他宾 | 培美曲塞二钠2.5水合物 | 卡培西他滨
-
英文别名
2(1H)-Pyrimidinone, 1-(5-deoxypentofuranosyl)-5-fluoro-4-[[(pentyloxy)carbonyl]amino]- 1-(5-Deoxypentofuranosyl)-5-fluoro-4-{[(pentyloxy)carbonyl]amino}-2(1H)-pyrimidinone 5'-Deoxy-5-fluoro-N-[(pentyloxy)carbonyl]cytidine Capecitabine 5'-Deoxy-5-fluoro-N4-[(pentyloxy)carbonyl]cytidine Capecytabine Ro 09-1978 Captabin MFCD00930626 XELODA RO-9-1978 Cpecitabine Capecitibine 1-(5-deoxypentofuranosyl)-5-fluoro-4-{[(pentyloxy)carbonyl]amino}pyrimidin-2(1h)-one Ro 09-1978/000 -
常用名卡培他滨
-
C A S号154361-50-9
-
密度1.5±0.1 g/cm3
-
沸点517.6±60.0 °C at 760 mmHg
-
熔点110-121°C
-
化学式C15H22FN3O6
-
结构式
-
闪点266.8±32.9 °C
-
分子量359.350
-
精确质量359.149261
-
P S A122.91000
-
外观形状无色固体
-
储存条件-20°C Freezer
-
稳定性
-
水溶解性
-
形态
-
H L B值
-
粘度
-
PH值
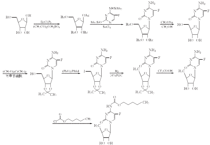
1. 1-O-乙酰-2,3,5-三-O-苯甲酰-β-D-核糖的制备
在反应瓶中加入无水甲醇220ml,再将D-核糖10g(67mmol)和3ml(0.3g/ml)无水氯化氢的甲醇溶液加入,室温搅拌90min.加入20ml吡啶,控温在50ºC以下浓缩至干,再加入20ml吡啶同样方法蒸干.蒸干的剩余物溶于无水二氯甲烷54ml和吡啶120ml,在冰浴冷却下(0ºC)搅拌下,慢慢滴加苯甲酰氯40ml(0.34mol).滴毕于冰箱放置48h(4ºC).倒入水266ºC中,分出有机层,水层用氯仿(54ml×3)提取,合并有机层,用饱和NaHCO3溶液(54ml×2)洗涤,洗液用40ml氯仿逆提取.合并有机层,用无水MgSO4干燥过夜,过滤,滤液减压蒸干(微量的吡啶用甲苯10ml×2共沸除去).于冰浴冷却下向剩余物加入乙酸16ml、乙酸酐38ml,然后搅拌下滴加浓硫酸5.4ml.滴毕移开冰浴,室温搅拌2h.于冰箱放置(4ºC)过夜.向反应混合物中加入200ml冰水#析出固体,过滤,水洗,干燥,用乙醇/乙酸乙酯(体积比5:2)40ml重结晶,得白色结晶1-O-乙酰-2,3,5-三-O-苯甲酰-β-D-核糖24g,收率71%,mp128~130ºC(文献[7]报道mp131~132ºC,收率70%).
2. 2’,3’,5’-O-三苯甲酰-5-氟胞苷的制备
在反应瓶中加入5-氟胞嘧啶5.85g(4.5mmol)和六甲基二硅胺烷30ml,搅拌悬浮,再加入三甲基氯硅烷,将混合物搅拌回流2h.于90ºC以下减压浓缩回收大部分的六甲基二硅胺烷,最后在1.6×103Pa的压力下完全蒸干.冷至室温,加入20g(40mmol)和无水1,2-二氯乙烷350ml,于0ºC搅拌下滴加无水四氯化锡[4.7ml(41mmol)的无水1,2-二氯乙烷(35ml)溶液,滴毕,室温继续搅拌过夜.在搅拌下慢慢加水20ml,再用约70ml饱和NaHCO3溶液调至pH8.抽滤,滤饼用1,2-二氯乙烷(15ml×4)洗涤,抽干,合并二氯乙烷溶液,无水MgSO4干燥,过滤,滤液浓缩至干.剩余物用乙醇200ml重结晶,得白色结晶2’,3’,5’-O-三苯甲酰-5-氟胞19.5g,收率86%,mp188~190ºC(文献[13] 报道mp191~192ºC,收率80%).
3. 5-氟胞苷的制备
在反应瓶中加入2’,3’,5’-O-三苯甲酰-5-氟胞苷30g(52mmol)和甲醇400ml,搅拌溶解,搅拌下滴加0.5mol/L甲醇钠的甲醇溶液约320ml,室温搅拌24h.用1.4mol/L氯化氢甲醇溶液中和至pH6.5左右,过滤除去NaCl,减压浓缩至干.剩余物用甲醇20ml溶解,过滤,滤液蒸干.剩余物溶于水70ml中.用氯仿(10ml×4)提取苯甲酸,水层蒸发至干,得白色固体5-氟胞苷13g,收率95%,无需纯化,直接用于下步反应.
4. 2’,3’-O-异亚丙基-5-氟胞苷的制备
在反应瓶中加入丙酮225ml和5-氟胞苷13g(50mmol),搅拌悬浮,加入对甲苯磺酸12g(63mmol)和2,2-二甲氧基丙烷30ml,室温搅拌2h.加入碳酸氢钠5.3g使反应液呈碱性.过滤,固体用丙酮(5ml×2)洗,滤液和洗液合并,浓缩至干,用乙酸乙酯100ml重结晶,得白色固体2’,3’-O-异亚丙基-5-氟胞苷13g,收率90%,mp184~186ºC,(文献[8]报道mp182~184ºC,收率92%)
5. 5’-碘代-2’,3’-O-异亚丙基-5-氟胞苷的制备
在反应瓶中加入2’,3’-O-异亚丙基-5-氟胞苷32g(106mmol)、三苯基亚磷酸酯甲基碘化物60g(133mmol),搅拌溶解,室温搅拌反应1.5h.加入100ml甲醇,继续搅拌30min,将溶液浓缩至干.剩余物呈油状,将其溶于乙酸乙酯700ml中,依次用0.3mol/L硫代硫酸钠溶液(700ml×2)、水(700ml×2)洗涤,无水MgSO4干燥,过滤,滤液浓缩至干.剩余物溶于400ml热乙酸乙酯中,加入正己烷1200ml,析出结晶0ºC下放置过夜,过滤,得白色结晶30g, 收率70%,mp192~193 ºC.
6. 5’-脱氧-2’,3’-O-异亚丙基-5-氟胞苷的制备
在反应瓶中加入4.8g(11.65mmol)和甲醇50ml,搅拌溶解,加入三乙胺2ml和10%(质量分数)Pd/C2g,于常压通H2 1h左右,经TLC检测原料斑点消失加H2反应到终点.过滤,滤液浓缩至干,剩余物加入乙酸乙酯20ml溶解. 放置过夜,滤除固体杂质,滤液浓缩至10ml左右.再放置过夜,滤除固体杂质,滤液浓缩至干,真空干燥,得白色泡沫状固体5’-脱氧-2’,3’-O-异亚丙基-5-氟胞苷3g,收率90%,无熔点.
7. 5’-脱氧-5-氟胞苷的制备
在反应瓶中加入3.1g(10.9mmol)和三氟乙酸/水(9:1)混合液20ml,搅拌40min.蒸干溶液,剩余物中残留的水及三氟乙酸用乙醇(5ml×2)共沸蒸除.剩余物中加入乙酸乙酯40ml溶解,再加入三乙胺2ml使溶液呈碱性,析出晶体.放置过夜.过滤,滤饼用乙酸乙酯5ml洗,真空干燥,得白色结晶1.9g,收率71%,mp192~193 ºC.
8. 5’-脱氧-5-氟-N4-(戊氧羰酰基)胞苷(卡培他滨)的合成
在反应瓶中加入5’-脱氧-5-氟胞苷3.0g(12.2mmol)和DMF90ml,搅拌溶解,冰浴(0ºC) 冷却下搅拌滴加正戊
基氯甲酸酯2ml(12.8mmol),滴毕移去冰浴,用650w的微波加热30~50s.TLC检测原料斑点消失.将反应液浓缩至干,加入氯仿100ml和1.7mol/LNaCl溶液50ml,分出有机层,用无水NaSO4干燥过夜,过滤,滤液浓缩至干.剩余物用乙酸乙酯40ml重结晶,得白色固体5’-脱氧-5-氟-N4-(戊氧羰酰基)胞苷(卡培他滨)4g,收率90%,反应
总收率22%,mp110~115ºC,(文献[2,3]报道mp110~121 ºC,收率55%,总收率12%)
|
模块1. 化学品 1.1 产品标识符 : Capecitabine 产品名称 1.2 鉴别的其他方法 5'-Deoxy-5-fluoro-N-[(pentyloxy)carbonyl]cytidine cytidine, 5'-deoxy-5-fluoro-N-[(pentyloxy)carbonyl]-
1.3 有关的确定了的物质或混合物的用途和建议不适合的用途 仅用于研发。不作为药品、家庭或其它用途。 模块2. 危险性概述 2.1 GHS分类 生殖细胞致突变性 (类别 2) 致癌性 (类别 1B) 生殖毒性 (类别 1B) 急性水生毒性 (类别 3) 2.2 GHS 标记要素,包括预防性的陈述 象形图 警示词危险 危险申明 H341怀疑可造成遗传性缺陷。 H350可能致癌。 H360可能对生育能力或胎儿造成伤害。 H402对水生生物有害。 警告申明 预防措施 P201在使用前取得专用说明。 P202在读懂所有安全防范措施之前请勿搬动。 P273避免释放到环境中。 P280戴防护手套/穿防护服/戴防护眼罩/戴防护面具。 事故响应 P308 + P313如接触到或有疑虑:求医/就诊。 储存 P405存放处须加锁。 废弃处置 P501将内装物/容器送到批准的废物处理厂处理。 只限于专业使用者。 2.3 其它危害物 - 无 模块3. 成分/组成信息 3.1 物 质 : 5'-Deoxy-5-fluoro-N-[(pentyloxy)carbonyl]cytidine 别名 cytidine, 5'-deoxy-5-fluoro-N-[(pentyloxy)carbonyl]- : C15H22FN3O6 分子式 : 359.35 g/mol 分子量 组分浓度或浓度范围 Capecitabine 化学文摘登记号(CAS154361-50-9<= 100 % No.) 模块4. 急救措施 4.1 必要的急救措施描述 一般的建议 请教医生。 向到现场的医生出示此安全技术说明书。 吸入 如果吸入,请将患者移到新鲜空气处。 如呼吸停止,进行人工呼吸。 请教医生。 皮肤接触 用肥皂和大量的水冲洗。 请教医生。 眼睛接触 谨慎起见用水冲洗眼睛。 食入 切勿给失去知觉者喂食任何东西。 用水漱口。 请教医生。 4.2 主要症状和影响,急性和迟发效应 食入可能会引起肠胃刺激、恶心、呕吐和腹泻。 4.3 及时的医疗处理和所需的特殊处理的说明和指示 无数据资料 模块5. 消防措施 5.1 灭火介质 灭火方法及灭火剂 用水雾,耐醇泡沫,干粉或二氧化碳灭火。 5.2 源于此物质或混合物的特别的危害 碳氧化物, 氮氧化物, 氟化氢 5.3 给消防员的建议 如有必要,佩戴自给式呼吸器进行消防作业。 5.4 进一步信息 无数据资料 模块6. 泄露应急处理 6.1 作业人员防护措施、防护装备和应急处置程序 使用个人防护装备。 避免粉尘生成。 避免吸入蒸气、气雾或气体。 保证充分的通风。 将人员疏散到安全区域。 避免吸入粉尘。 6.2 环境保护措施 如能确保安全,可采取措施防止进一步的泄漏或溢出。 不要让产品进入下水道。 避免排放到周围环境中。 6.3 泄漏化学品的收容、清除方法及所使用的处置材料 收集和处置时不要产生粉尘。 扫掉和铲掉。 放入合适的封闭的容器中待处理。 6.4 参考其他部分 丢弃处理请参阅第13节。 模块7. 操作处置与储存 7.1 安全操作的注意事项 避免接触皮肤和眼睛。 避免形成粉尘和气溶胶。避免曝露:使用前需要获得专门的指导。 在有粉尘生成的地方,提供合适的排风设备。 7.2 安全储存的条件,包括任何不兼容性 贮存在阴凉处。 使容器保持密闭,储存在干燥通风处。 7.3 特定用途 无数据资料 模块8. 接触控制和个体防护 8.1 控制参数 职业接触限值 不含有职业接触限值的物质。 8.2 暴露控制 适当的技术控制 按照良好的工业卫生和安全规范进行操作。 休息前及工作结束时洗手。 个体防护装备 眼面防护 带有防护边罩的安全眼镜符合 EN166要求请使用经官方标准如NIOSH (美国) 或 EN 166(欧盟) 检测与批准的设备防护眼部。 皮肤保护 戴手套取 手套在使用前必须受检查。 请使用合适的方法脱除手套(不要接触手套外部表面),避免任何皮肤部位接触此产品. 使用后请将被污染过的手套根据相关法律法规和有效的实验室规章程序谨慎处理. 请清洗并吹干双手 所选择的保护手套必须符合EU的89/686/EEC规定和从它衍生出来的EN 376标准。 身体保护 防渗透的衣服, 防护设备的类型必须根据特定工作场所中的危险物的浓度和数量来选择。 呼吸系统防护 如危险性评测显示需要使用空气净化的防毒面具,请使用全面罩式多功能微粒防毒面具N100型(US )或P3型(EN 143)防毒面具筒作为工程控制的候补。如果防毒面具是保护的唯一方式,则使用全面罩式送风防毒 面具。 呼吸器使用经过测试并通过政府标准如NIOSH(US)或CEN(EU)的呼吸器和零件。 模块9. 理化特性 9.1 基本的理化特性的信息 a) 外观与性状 形状: 粉末 颜色: 白色 b) 气味 无臭 c) 气味阈值 无数据资料 d) pH值 无数据资料 e) 熔点/凝固点 熔点/熔点范围: 116 - 117 °C f) 初沸点和沸程 无数据资料 g) 闪点 无数据资料 h) 蒸发速率 无数据资料 i) 易燃性(固体,气体) 无数据资料 j) 高的/低的燃烧性或爆炸性限度 无数据资料 k) 蒸气压 无数据资料 l) 蒸气密度 无数据资料 m) 密度/相对密度 无数据资料 n) 水溶性 26 g/l 在 20 °C o) 正辛醇/水分配系数 log Pow: 大约4.5 p) 自燃温度 无数据资料 q) 分解温度 无数据资料 r) 黏度 无数据资料 模块10. 稳定性和反应活性 10.1 反应性 无数据资料 10.2 稳定性 无数据资料 10.3 危险反应 无数据资料 10.4 应避免的条件 无数据资料 10.5 不相容的物质 强氧化剂 10.6 危险的分解产物 其它分解产物 - 无数据资料 模块11. 毒理学资料 11.1 毒理学影响的信息 急性毒性 LD50 经口 - 大鼠 - > 2,000 mg/kg 皮肤腐蚀/刺激 无数据资料 严重眼睛损伤/眼刺激 无数据资料 呼吸或皮肤过敏 无数据资料 生殖细胞致突变性 体外试验表明有致突变效应 致癌性 可能的人类致癌物 生殖毒性 有可能会损害胎儿。 生殖毒性 - 小鼠 - 雄性 - 经口 父体效应:精子发生(包括遗传物质、精子形态、活力和数量)。 生殖毒性 - 小鼠 - 雌性 - 经口 对生殖的影响:交配能力(例如#交配成功雌性每#交配的雌性;#交配每#发情周期)。 对生殖的影响:雌性生育力指数(例如#受孕雌性每#交配成功的雌性;#受孕雌性每#交配的雌性)。 有可能损害生育能力。 特异性靶器官系统毒性(一次接触) 无数据资料 特异性靶器官系统毒性(反复接触) 无数据资料 吸入危害 无数据资料 潜在的健康影响 吸入吸入可能有害。 可能引起呼吸道刺激。 食入吞咽可能有害。 皮肤通过皮肤吸收可能有害。 可能引起皮肤刺激。 眼睛可能引起眼睛刺激。 接触后的征兆和症状 食入可能会引起肠胃刺激、恶心、呕吐和腹泻。 附加说明 化学物质毒性作用登记: 无数据资料 模块12. 生态学资料 12.1 生态毒性 对鱼类的毒性LC50 - Oncorhynchus mykiss (虹鳟) - > 867 mg/l - 96 h NOEC - Oncorhynchus mykiss (虹鳟) - 867 mg/l - 96 h 对水溞和其他水生无脊EC50 - Daphnia magna (水溞) - > 850 mg/l - 48 h 椎动物的毒性 对藻类的毒性EbC50 - Selenastrum capricornutum (绿藻) - 58 mg/l - 72 h 方法: OECD测试导则201 ErC50 - Selenastrum capricornutum (绿藻) - 200 mg/l - 72 h 方法: OECD测试导则201 NOEC - Selenastrum capricornutum (绿藻) - 14 mg/l - 72 h 12.2 持久性和降解性 生物降解能力结果: 29 % - 具有固有生物降解性。 12.3 潜在的生物累积性 无数据资料 12.4 土壤中的迁移性 无数据资料 12.5 PBT和vPvB的结果评价 无数据资料 12.6 其他不良影响 对水生生物有害。 避免释放到环境中。 模块13. 废弃处置 13.1 废物处理方法 产品 将剩余的和不可回收的溶液交给有许可证的公司处理。 与易燃溶剂相溶或者相混合,在备有燃烧后处理和洗刷作用的化学焚化炉中燃烧 受污染的容器和包装 按未用产品处置。 模块14. 运输信息 14.1 联合国编号 欧洲陆运危规: -国际海运危规: -国际空运危规: - 14.2 联合国运输名称 欧洲陆运危规: 非危险货物 国际海运危规: 非危险货物 国际空运危规: 非危险货物 14.3 运输危险类别 欧洲陆运危规: -国际海运危规: -国际空运危规: - 14.4 包裹组 欧洲陆运危规: -国际海运危规: -国际空运危规: - 14.5 环境危险 欧洲陆运危规: 否国际海运危规国际空运危规: 否 海洋污染物(是/否): 否 14.6 特殊防范措施 无数据资料 模块 15 - 法规信息 N/A 模块16 - 其他信息 N/A |
| 符号 |
GHS08 |
|---|---|
| 信号词 | Danger |
| 危害声明 | H341-H350-H360FD |
| 警示性声明 | P201-P308 + P313 |
| 危害码 (欧洲) | T |
| 风险声明 (欧洲) | 45-60-61-68 |
| 安全声明 (欧洲) | 53-22-36/37-45 |
| 危险品运输编码 | NONH for all modes of transport |
| WGK德国 | 3 |
| 海关编码 | 2934999090 |

搜索







