百里香酚蓝
1.作酸碱指示剂,有两个变色范围,第一变色范围pH值1.2(红)~2.8(黄),第二变色范围pH值8.0(黄)~9.6(蓝)。临床用作诊断用药。
2.酸碱指示剂,吸附指示剂。
2.酸碱指示剂,吸附指示剂。
产品名称
-
中文名百里酚蓝
-
英文名Thymol blue
-
中文别名3,3-Bis(4-hydroxy-5-isopropyl-2-methylphenyl)-3H-benzo[c][1,2]oxathiole 1,1-dioxide | 百里香酚蓝 | 麝香草酚磺酞 | 百里香酚磺钛 | 瑞香酚兰 | 百里香酚磺酞 | 麝香草酚蓝
-
英文别名
a-Hydroxy-a,a-bis(5-hydroxycarvacryl)-o-toluenesulfonic Acid g-Sultone s-dioxide S NO 879 Phenol, 4,4'-(3H-2,1-benzoxathiol-3-ylidene)bis[5-methyl-2-(1-methylethyl)-, S,S-dioxide MFCD00005869 3,3'-di-iso-propyl-6,6'-dimethylphenolsulphonephthalein 4,4'-(3H-2,1-Benzoxathiol-3-ylidene)bis[5-methyl-2-(1-methylethyl)phenol] S,S-Dioxide Phenol, 4,4'-(1,1-dioxido-3H-2,1-benzoxathiol-3-ylidene)bis[5-methyl-2-(1-methylethyl)- 4,4'-(1,1-Dioxido-3H-2,1-benzoxathiole-3,3-diyl)bis(2-isopropyl-5-methylphenol) EINECS 200-973-3 bleudethymol 3,3-Bis(4-hydroxy-5-isopropyl-2-methylphenyl)-3H-benzo[c][1,2]oxathiole 1,1-dioxide Thymol Blue,ACS Thymolsulfonephalein 5-19-03-00462 THYMOL BLUE TS Thymolsulfophthalein 3,3'-diisopropyl-6-6'-dimethylphenolsulfonephthalein 2,2'-dimethyl-5,5'-diisopropylphenolsulfophthalein 4,4'-(1,1-dioxido-3H-2,1-benzoxathiole-3,3-diyl)bis[5-methyl-2-(propan-2-yl)phenol] 5-19-03-00462 (Beilstein Handbook Reference) Thymolsulfonephthalein -
常用名百里香酚蓝
-
C A S号76-61-9
物理性质
-
密度1.3±0.1 g/cm3
-
沸点580.5±50.0 °C at 760 mmHg
-
熔点221 °C
-
化学式C27H30O5S
-
结构式
1、 摩尔折射率:129.62
2、 摩尔体积(cm3/mol):379.4
3、 等张比容(90.2K):1004.5
4、 表面张力(dyne/cm):49.1
5、 极化率(10-24cm3):51.38
-
闪点304.9±30.1 °C
-
分子量466.589
-
精确质量466.181396
-
P S A92.21000
-
外观形状暗绿色至暗棕色结晶粉末
-
储存条件
密封保存。
-
稳定性
-
水溶解性
-
形态暗蓝、绿或红紫色结晶性粉末,有异臭
-
H L B值
-
粘度
-
PH值
作用/用途
1.作酸碱指示剂,有两个变色范围,第一变色范围pH值1.2(红)~2.8(黄),第二变色范围pH值8.0(黄)~9.6(蓝)。临床用作诊断用药。
2.酸碱指示剂,吸附指示剂。
2.酸碱指示剂,吸附指示剂。
制备方法
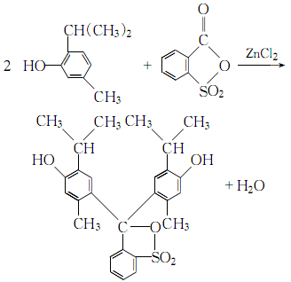
1.由百里酚与邻磺基苯甲酸酐缩合制得。
2.将苯磺酸酐、百里酚、无水氯化锌混合后,加热,加水稀释后再进行水蒸气蒸馏,除去未反应的百里酚,冷却后即得到百里酚蓝。
3.将邻磺酰苯甲酰酐、百里酚、无水氯化锌混合,在搅拌下加热至105~110℃,进行反应:
反应结束后加水稀释并加热,蒸出未反应的百里酚,冷却结晶,过滤。用少量乙醇洗涤结晶,进一步除去百里酚后,于空气中干燥即可。
安全提醒
MSDS
|
||||||||||||||||||||||||||||||||||||||||||||||||||||||||||||||||||||||||||||||||||||||||||||||||||||||||||||||||||||||||||||||||||||||||||||||||||||||||||||||||||||||||||||||||||||||||||||||||||||||||||||||||||||||||||||||||||||||||||||||||||||||||||||
原料简介
应用范围
毒性和生态
安全信息
| 个人防护装备 | Eyeshields;Gloves;type N95 (US);type P1 (EN143) respirator filter |
|---|---|
| 风险声明 (欧洲) | 10 |
| 安全声明 (欧洲) | S24/25 |
| 危险品运输编码 | UN 1170 3/PG 3 |
| RTECS号 | XP2575000 |
是否危险品
危险性
危险类别码
危险等级
触发危险方式
安全技术说明书
环境影响程度
包装与储运
相关供应商

搜索







