溴酚蓝
【用途一】
酸碱指示剂,pH3.0(黄)-4.6(紫)。非水溶液滴定指示剂,蛋白电泳染色,病毒化验等。
酸碱指示剂,pH3.0(黄)-4.6(紫)。非水溶液滴定指示剂,蛋白电泳染色,病毒化验等。
【用途二】
酸碱指示剂,非水溶液滴定用指示剂,蛋白电泳染色,病毒化验等。
酸碱指示剂,非水溶液滴定用指示剂,蛋白电泳染色,病毒化验等。
产品名称
-
中文名溴酚蓝
-
英文名Bromophenol Blue
-
中文别名四溴酚磺酞 | 溴酚蓝(BPB) | 3,3',5,5'-四溴磺酚酞 | 四溴酚磺酚酞,溴酚兰 | 四溴酚磺酚酞 | 四溴苯酚磺酞
-
英文别名
Bromphenol Blue Bromophenol Blue 3',3'',5',5''-Tetrabromophenolsulfonphthalein 3',3'',5',5''-Tetrabromophenolsulfonephthalein Bromphenol Blue Sultone Form a,a-Bis(3,5-dibromo-4-hydroxyphenyl)-a-hydroxy-o-toluenesulfonicAcid g-Sultone Phenol, 4,4'-(1,1-dioxido-3H-2,1-benzoxathiol-3-ylidene)bis[2,6-dibromo- 2,6-dibromo-4-[3-(3,5-dibromo-4-hydroxyphenyl)-1,1-dioxo-2,1λ<sup>6</sup>-benzoxathiol-3-yl]phenol 4,4'-(1,1-Dioxido-3H-2,1-benzoxathiole-3,3-diyl)bis(2,6-dibromophenol) 4,4'-(3H-2,1-Benzoxathiol-3-ylidene)bis[2,6-dibromophenol] S,S-Dioxide Bromophenol blue (BPB) EINECS 204-086-2 MFCD00005875 -
常用名溴酚蓝
-
C A S号115-39-9
物理性质
-
密度2.2±0.1 g/cm3
-
沸点605.6±55.0 °C at 760 mmHg
-
熔点273 °C
-
化学式C19H10Br4O5S
-
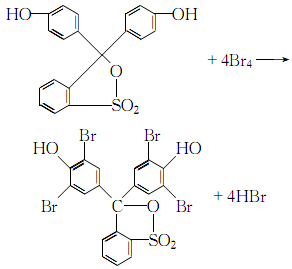
结构式
1、 摩尔折射率:123.26
2、 摩尔体积(cm3/mol):304.5
3、 等张比容(90.2K):893.7
4、 表面张力(dyne/cm):74.1
5、 极化率(10-24cm3):48.86
-
闪点320.1±31.5 °C
-
分子量669.961
-
精确质量665.698242
-
P S A92.21000
-
外观形状淡粉红色至紫色结晶粉末
-
储存条件
1.储存于阴凉、通风的库房。远离火种、热源。
2.应与氧化剂等分开存放,切忌混储。
3.配备相应品种和数量的消防器材。
4.储区应备有泄漏应急处理设备和合适的收容材料。
-
稳定性
-
水溶解性
-
形态浅黄色至棕黄色粉末。
-
H L B值
-
粘度
-
PH值
作用/用途
【用途一】
酸碱指示剂,pH3.0(黄)-4.6(紫)。非水溶液滴定指示剂,蛋白电泳染色,病毒化验等。
酸碱指示剂,pH3.0(黄)-4.6(紫)。非水溶液滴定指示剂,蛋白电泳染色,病毒化验等。
【用途二】
酸碱指示剂,非水溶液滴定用指示剂,蛋白电泳染色,病毒化验等。
酸碱指示剂,非水溶液滴定用指示剂,蛋白电泳染色,病毒化验等。
制备方法

安全提醒
MSDS
|
模块1. 化学品 1.1 产品标识符 : 溴酚蓝 产品名称 1.2 鉴别的其他方法 Bromphenol Blue Sultone Form 3′,3′′,5′,5′′-Tetrabromophenolsulfonephthalein
1.3 有关的确定了的物质或混合物的用途和建议不适合的用途 仅用于研发。不作为药品、家庭或其它用途。 模块2. 危险性概述 2.1 GHS-分类 根据全球协调系统(GHS)的规定,不是危险物质或混合物。 2.3 其它危害物 - 无 模块3. 成分/组成信息 3.1 物 质 : Bromphenol Blue Sultone Form 别名 3′,3′′,5′,5′′-Tetrabromophenolsulfonephthalein : C19H10Br4O5S 分子式 : 669.96 g/mol 分子量 无 模块4. 急救措施 4.1 必要的急救措施描述 吸入 如果吸入,请将患者移到新鲜空气处。 如呼吸停止,进行人工呼吸。 皮肤接触 用肥皂和大量的水冲洗。 眼睛接触 用水冲洗眼睛作为预防措施。 食入 切勿给失去知觉者通过口喂任何东西。 用水漱口。 4.2 主要症状和影响,急性和迟发效应 据我们所知,此化学,物理和毒性性质尚未经完整的研究。 4.3 及时的医疗处理和所需的特殊处理的说明和指示 无数据资料 模块5. 消防措施 5.1 灭火介质 灭火方法及灭火剂 用水雾,抗乙醇泡沫,干粉或二氧化碳灭火。 5.2 源于此物质或混合物的特别的危害 碳氧化物, 硫氧化物, 溴化氢气 5.3 给消防员的建议 如必要的话,戴自给式呼吸器去救火。 5.4 进一步信息 无数据资料 模块6. 泄露应急处理 6.1 作业人员防护措施、防护装备和应急处置程序 避免粉尘生成。 避免吸入蒸气、烟雾或气体。 6.2 环境保护措施 不要让产品进入下水道。 6.3 泄漏化学品的收容、清除方法及所使用的处置材料 扫掉和铲掉。 放入合适的封闭的容器中待处理。 6.4 参考其他部分 丢弃处理请参阅第13节。 模块7. 操作处置与储存 7.1 安全操作的注意事项 在有粉尘生成的地方,提供合适的排风设备。一般性的防火保护措施。 7.2 安全储存的条件,包括任何不兼容性 贮存在阴凉处。 使容器保持密闭,储存在干燥通风处。 7.3 特定用途 无数据资料 模块8. 接触控制和个体防护 8.1 容许浓度 最高容许浓度 没有已知的国家规定的暴露极限。 8.2 暴露控制 适当的技术控制 常规的工业卫生操作。 个体防护设备 眼/面保护 请使用经官方标准如NIOSH (美国) 或 EN 166(欧盟) 检测与批准的设备防护眼部。 皮肤保护 戴手套取 手套在使用前必须受检查。 请使用合适的方法脱除手套(不要接触手套外部表面),避免任何皮肤部位接触此产品. 使用后请将被污染过的手套根据相关法律法规和有效的实验室规章程序谨慎处理. 请清洗并吹干双手 所选择的保护手套必须符合EU的89/686/EEC规定和从它衍生出来的EN 376标准。 完全接触 联合国运输名称: 丁腈橡胶 最小的层厚度 0.11 mm 溶剂渗透时间: 480 min 测试过的物质Dermatril® (KCL 740 / Z677272, 规格 M) 飞溅保护 联合国运输名称: 丁腈橡胶 最小的层厚度 0.11 mm 溶剂渗透时间: 480 min 测试过的物质Dermatril® (KCL 740 / Z677272, 规格 M) , 测试方法 EN374 如果以溶剂形式应用或与其它物质混合应用,或在不同于EN 374规定的条件下应用,请与EC批准的手套的供应商联系。 这个推荐只是建议性的,并且务必让熟悉我们客户计划使用的特定情况的工业卫生学专家评估确认才可. 这不应该解释为在提供对任何特定使用情况方法的批准. 身体保护 根据危险物质的类型,浓度和量,以及特定的工作场所选择身体保护措施。, 防护设备的类型必须根据特定工作场所中的危险物的浓度和数量来选择。 呼吸系统防护 不需要保护呼吸。如需防护粉尘损害,请使用N95型(US)或P1型(EN 143)防尘面具。 呼吸器使用经过测试并通过政府标准如NIOSH(US)或CEN(EU)的呼吸器和零件。 模块9. 理化特性 9.1 基本的理化特性的信息 a) 外观与性状 形状: 粉末 颜色: 红色 b) 气味 无数据资料 c) 气味阈值 无数据资料 d) pH值 无数据资料 e) 熔点/凝固点 204 °C f) 沸点、初沸点和沸程 无数据资料 g) 闪点 无数据资料 h) 蒸发速率 无数据资料 i) 易燃性(固体,气体) 无数据资料 j) 高的/低的燃烧性或爆炸性限度 无数据资料 k) 蒸气压 无数据资料 l) 蒸汽密度 无数据资料 m) 密度/相对密度 无数据资料 n) 水溶性 无数据资料 o) n-辛醇/水分配系数 无数据资料 p) 自燃温度 无数据资料 q) 分解温度 无数据资料 r) 粘度 无数据资料 模块10. 稳定性和反应活性 10.1 反应性 无数据资料 10.2 稳定性 无数据资料 10.3 危险反应 无数据资料 10.4 应避免的条件 无数据资料 10.5 不相容的物质 强氧化剂 10.6 危险的分解产物 其它分解产物 - 无数据资料 模块11. 毒理学资料 11.1 毒理学影响的信息 急性毒性 无数据资料 皮肤刺激或腐蚀 无数据资料 眼睛刺激或腐蚀 无数据资料 呼吸道或皮肤过敏 无数据资料 生殖细胞突变性 无数据资料 细胞突变性-体外试验 - 可疑迹象 组氨酸逆转(Ames) 致癌性 IARC: 此产品中没有大于或等于 0。1%含量的组分被 IARC鉴别为可能的或肯定的人类致癌物。 生殖毒性 无数据资料 特异性靶器官系统毒性(一次接触) 无数据资料 特异性靶器官系统毒性(反复接触) 无数据资料 吸入危险 无数据资料 潜在的健康影响 吸入吸入可能有害。 可能引起呼吸道刺激。 摄入如服入是有害的。 皮肤通过皮肤吸收可能有害。 可能引起皮肤刺激。 眼睛可能引起眼睛刺激。 接触后的征兆和症状 据我们所知,此化学,物理和毒性性质尚未经完整的研究。 附加说明 化学物质毒性作用登记: SJ7453000 模块12. 生态学资料 12.1 生态毒性 无数据资料 12.2 持久性和降解性 无数据资料 12.3 潜在的生物累积性 无数据资料 12.4 土壤中的迁移性 无数据资料 12.5 PBT 和 vPvB的结果评价 无数据资料 12.6 其它不良影响 无数据资料 模块13. 废弃处置 13.1 废物处理方法 产品 将剩余的和不可回收的溶液交给有许可证的公司处理。 受污染的容器和包装 按未用产品处置。 模块14. 运输信息 14.1 联合国危险货物编号 欧洲陆运危规: -国际海运危规: -国际空运危规: - 14.2 联合国运输名称 欧洲陆运危规: 非危险货物 国际海运危规: 非危险货物 国际空运危规: 非危险货物 14.3 运输危险类别 欧洲陆运危规: -国际海运危规: -国际空运危规: - 14.4 包裹组 欧洲陆运危规: -国际海运危规: -国际空运危规: - 14.5 环境危险 欧洲陆运危规: 否国际海运危规国际空运危规: 否 海洋污染物(是/否): 否 14.6 对使用者的特别提醒 无数据资料 模块 15 - 法规信息 N/A 模块16 - 其他信息 N/A |
原料简介
应用范围
毒性和生态
安全信息
| 符号 |
GHS02, GHS07, GHS08 |
|---|---|
| 信号词 | Danger |
| 危害声明 | H226-H312 + H332-H319-H360D |
| 警示性声明 | P201-P280-P305 + P351 + P338-P308 + P313 |
| 个人防护装备 | Eyeshields;Faceshields;full-face respirator (US);Gloves;multi-purpose combination respirator cartridge (US);type ABEK (EN14387) respirator filter |
| 危害码 (欧洲) | T, Xn |
| 风险声明 (欧洲) | R61 |
| 安全声明 (欧洲) | S53-S45-S24/25-S22 |
| 危险品运输编码 | UN 2265 3/PG 3 |
| WGK德国 | 3 |
| RTECS号 | SJ7453000 |
| 海关编码 | 29349990 |
是否危险品
危险性
危险类别码
危险等级
触发危险方式
安全技术说明书
环境影响程度
包装与储运
相关供应商

搜索






