克拉利宾
-
中文名克拉屈滨
-
英文名Cladribine
-
中文别名伊立替康 | 1,1-环己烷二乙酸 | 克拉曲滨 | 2-氯-9-(2-脱氧-β-D-呋喃阿拉伯糖基)腺嘌呤 | 2-氯-2'-脱氧腺嘌呤核苷 | 2-氯-2'-脱氧腺甙 | 克拉利宾 | 2-氯脱氧腺苷 | 2-氯-2'-脱氧腺苷
-
英文别名
Litak CDA 2-Chloro-2'-deoxyadenosine 2-Chloro-9-(2-deoxy-β-D-arabinofuranosyl)adenine 2-Chloro-2'-deoxy-adenosine CldAdo EINECS 224-427-9 MFCD00153939 (2R,3S,5R)-5-(6-amino-2-chloro-9H-purin-9-yl)-2-(hydroxyméthyl)tétrahydrofuran-3-ol 2-chloro-6-amino-9-(2-deoxy-β-D-erythro-pentofuranosyl)purine Cladrivine 2CDA 2-Chloro-6-amino-9-(2-deoxy-b-D-erythro-pentofuranosyl)purine Cladaribine (2R,3S,5R)-5-(6-amino-2-chloro-9H-purin-9-yl)-2-(hydroxymethyl)tetrahydrofuran-3-ol 2-Chlorodeoxyadenosine leustatin (2R,3S,5R)-5-(6-Amino-2-chlor-9H-purin-9-yl)-2-(hydroxymethyl)tetrahydrofuran-3-ol 2-Chloro-2'-deoxy-b-adenosine 2-Chloro-2'-deoxy-β-adenosine 2-CL-DADO Cladribine Movectro Leustati adenosine, 2-chloro-2'-deoxy- -
常用名克拉利宾
-
C A S号4291-63-8
-
密度2.0±0.1 g/cm3
-
沸点547.6±60.0 °C at 760 mmHg
-
熔点181-185 °C(lit.)
-
化学式C10H12ClN5O3
-
结构式
1、 摩尔折射率:63.70
2、 摩尔体积(cm3/mol):140.1
3、 等张比容(90.2K):435.9
4、 表面张力(dyne/cm):93.5
5、 极化率(10-24cm3):25.25
-
闪点285.0±32.9 °C
-
分子量285.687
-
精确质量285.062866
-
P S A119.31000
-
外观形状白色结晶固体
-
储存条件
避光,通风干燥处,密封保存
-
稳定性
-
水溶解性
-
形态固化后变为棕色.再固化,变为棕色.
-
H L B值
-
粘度
-
PH值
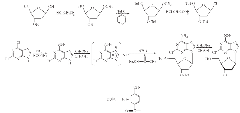
1. 2,6-二氯嘌呤(I)(0.95g,5mmo1)和氢化钠(50%分散油,0.25g,5.2mmo1)悬浮于35ml无水乙腈,在室温及氮气保护下搅拌30min。在搅拌下20min内分批加入1-氯-2-去氧-3,5-二-O-对甲苯甲酰基-α-D-赤式-呋喃戊糖(Ⅱ)(1.95g,5mmo1)。加毕,再搅拌15h。滤去少量不溶物,滤液浓缩。剩余的油状物经硅胶柱层析,用甲苯-丙酮(9:1,体积比)洗脱。得到的固体再用乙醇结晶,得1.60g化合物(Ⅲ),收率59%,熔点159-162℃。
化合物(Ⅲ)(2.50g,4.6mmo1)溶于60ml饱和氨的甲醇溶液(0℃饱和),在100℃搅拌5h。蒸发至干,剩余物经硅胶柱层析,用氯仿-甲醇(8:2,体积比)洗脱。再乙醇结晶,得0.87g克拉屈滨,收率71%,熔点220℃(软化)。
2. 1-甲氧基-2-脱氧-3,5-二-O-对甲苯甲酰基-α,β-D-呋喃型核糖的制备
在反应瓶中加入甲醇120ml和2-脱氧核糖10g(74.5mmol),搅拌溶解,加入1%氯化氢甲醇溶液20ml, 室温搅拌25min,用固体NaHCO3 2.5g调至pH7,过滤,滤液减压蒸除甲醇,加入吡啶(50ml×3),浓缩至浆状再溶于吡啶60ml中.搅拌,冷至0 ºC滴加对甲苯甲酰氯22ml(160mmol),滴毕,室温搅拌反应过夜.加入冰水150ml,用二氯甲烷(50ml×3)提取,合并有机层,依次用饱和NaHCO3溶液和2mol/L盐酸洗,无水硫酸镁干燥过夜,过滤,滤液浓缩,剩余物热溶于甲醇60ml,加入柱色谱分离得的洗脱组分(流出液)浓缩,冷却,析晶,过滤,干燥得白色粉末1-甲氧基-2-脱氧-3,5-二-O-对甲苯甲酰基-α,β-D-呋喃型核糖18.8g,收率65.6%.
3. 1-氯-2-脱氧-3,5-二-O-对甲苯甲酰基-α- D-顺-呋喃核糖的制备
在反应瓶中加入1-甲氧基-2-脱氧-3,5-二-O-对甲苯甲酰基-α,β-D-呋喃型核糖5g(13mmol)和乙酸16ml,搅拌下滴入饱和氯化氢乙酸溶液25ml和乙酰氯2ml,不再出现白色固体后停止搅拌,加入1.5倍体积的无水乙醚, 搅拌1~2h.过滤,得白色粉末3.56g,收率70.4%,mp114~118 ºC,(文献[9]报道收率58%,mp108~111 ºC)
4. 2-氯-6-氨基嘌呤的制备
在反应瓶中加入甲酰胺100ml和10g(72.5mmol),搅拌下通入氨气,缓慢升温至100 ºC反应6h.放冷,过滤,滤饼用甲酰胺洗涤(甲酰胺母液可套用)后投入到1mol/LNaOH水溶液200ml中,搅拌10min,过滤,滤饼用1mol/LNaOH溶液洗,合并滤液和洗液,用乙酸调至pH中性,析出固体,过滤,滤饼用水洗,干燥得黄色粉末2-氯-6-氨基嘌呤7.6g,收率84.7%,直接用于下步反应.
5. 2-氯-2’-脱氧-3’ ,5’ -二-O-对甲苯甲酰基腺嘌呤的制备
在反应瓶中加入甲醇300ml和甲醇钠7.2g(133mmol),搅拌溶解,再加入2-氯-6-氨基嘌呤22.5g(133mmol) 的甲醇260ml溶液,室温搅拌反应20min.蒸除甲醇,加入丙酮350ml,浓缩至干,残余浆状物溶于丙酮1300ml,N2保护下加入1-氯-2-脱氧-3,5-二-O-对甲苯甲酰基-α- D-顺-呋喃核糖22.9g(58.9mmol),搅拌反应(室温下)大约2h, TLC跟踪反应至1-氯-2-脱氧-3,5-二-O-对甲苯甲酰基-α- D-顺-呋喃核糖消失.过滤,滤液浓缩,剩余物用乙醇重结晶,得白色粉末20.9g收率69.1%,mp184~188 ºC,(文献[8]报道收率60.2%,mp192~194 ºC)
6. 克拉屈滨的合成
在反应瓶中加入甲醇75ml甲醇钠0.44g(8.1mmol),搅拌下加入白色粉末1g(1.9mmol)室温搅拌1.5h.用乙酸调至pH中性,过滤,滤液进行浓缩,用正己烷搅拌捣碎研磨(正己烷用量4~5ml),倾去上层清液,剩余物用95%乙醇8ml重结晶, 得白色粉末克拉屈滨0.37g,收率66.7%,mp208~212ºC,(文献[6] 报道收率62%,文献[8]报道mp210~214 ºC).
|
1.1 产品标识符
: 2-Chloro-2′-deoxyadenosine 产品名称 1.2 鉴别的其他方法 CdA Cladribine
1.3 有关的确定了的物质或混合物的用途和建议不适合的用途
仅供科研用途,不作为药物、家庭备用药或其它用途。 模块2. 危险性概述 2.1 GHS分类 急性毒性, 经口 (类别3) 急性毒性, 吸入 (类别3) 急性毒性, 经皮 (类别3) 皮肤刺激 (类别2) 眼刺激 (类别2A) 特异性靶器官系统毒性(一次接触) (类别3) 2.2 GHS 标记要素,包括预防性的陈述 象形图 警示词危险 危险申明 H301吞咽会中毒 H311皮肤接触会中毒 H315造成皮肤刺激。 H319造成严重眼刺激。 H331吸入会中毒。 H335可能引起呼吸道刺激。 警告申明 预防 P261避免吸入粉尘/烟/气体/烟雾/蒸气/喷雾. P264操作后彻底清洁皮肤。 P270使用本产品时不要进食、饮水或吸烟。 P271只能在室外或通风良好之处使用。 P280穿戴防护手套/ 眼保护罩/ 面部保护罩。 措施 P301 + P310如果吞下去了: 立即呼救解毒中心或医生。 P302 + P352如与皮肤接触,用大量肥皂和水冲洗受感染部位. P304 + P340如吸入,将患者移至新鲜空气处并保持呼吸顺畅的姿势休息. P305 + P351 + P338如与眼睛接触,用水缓慢温和地冲洗几分钟。如戴隐形眼镜并可方便地取 出,取出隐形眼镜,然后继续冲洗. P312如感觉不适,呼救中毒控制中心或医生. P322具体措施(见本标签上提供的急救指导)。 P330漱口。 P332 + P313如发生皮肤刺激:求医/ 就诊。 P337 + P313如仍觉眼睛刺激:求医/就诊。 如仍觉眼睛刺激:求医/就诊. P361立即去除/脱掉所有沾染的衣服。 储存 P403 + P233存放于通风良的地方。 保持容器密闭。 P405存放处须加锁。 处理 P501将内容物/ 容器处理到得到批准的废物处理厂。 2.3 其它危害物 - 无 模块3. 成分/组成信息 3.1 物 质 : CdA 别名 Cladribine : C10H12ClN5O3 分子式 : 285.69 g/mol 分子量 组分浓度或浓度范围 Cladribine - CAS 号4291-63-8 模块4. 急救措施 4.1 必要的急救措施描述 一般的建议 请教医生。 出示此安全技术说明书给到现场的医生看。 吸入 如果吸入,请将患者移到新鲜空气处。 如果停止了呼吸,给于人工呼吸。 请教医生。 皮肤接触 用肥皂和大量的水冲洗。 立即将患者送往医院。 请教医生。 眼睛接触 用大量水彻底冲洗至少15分钟并请教医生。 食入 切勿给失去知觉者从嘴里喂食任何东西。 用水漱口。 请教医生。 4.2 主要症状和影响,急性和迟发效应 中枢神经系统机能降低, 消化系统失调, 麻醉, 损害眼睛, 可能发生对肝的伤害。, 对心脏有害, 可能发生对肾的伤害。, 可能引起惊厥。 4.3 及时的医疗处理和所需的特殊处理的说明和指示 无数据资料 模块5. 消防措施 5.1 灭火介质 灭火方法及灭火剂 用水雾,耐醇泡沫,干粉或二氧化碳灭火。 5.2 源于此物质或混合物的特别的危害 碳氧化物, 氮氧化物, 氯化氢气体 5.3 给消防员的建议 如必要的话,戴自给式呼吸器去救火。 5.4 进一步信息 无数据资料 模块6. 泄露应急处理 6.1 人员的预防,防护设备和紧急处理程序 戴呼吸罩。 防止粉尘的生成。 防止吸入蒸汽、气雾或气体。 保证充分的通风。 将人员撤离到安全区域。 避免吸入粉尘。 6.2 环境保护措施 在确保安全的前提下,采取措施防止进一步的泄漏或溢出。 不要让产物进入下水道。 6.3 抑制和清除溢出物的方法和材料 收集、处理泄漏物,不要产生灰尘。 扫掉和铲掉。 存放进适当的闭口容器中待处理。 6.4 参考其他部分 丢弃处理请参阅第13节。 模块7. 操作处置与储存 7.1 安全操作的注意事项 避免接触皮肤和眼睛。 防止粉尘和气溶胶生成。 在有粉尘生成的地方,提供合适的排风设备。一般性的防火保护措施。 7.2 安全储存的条件,包括任何不兼容性 贮存在阴凉处。 容器保持紧闭,储存在干燥通风处。 建议的贮存温度: 2 - 8 °C 7.3 特定用途 无数据资料 模块8. 接触控制和个体防护 8.1 容许浓度 最高容许浓度 没有已知的国家规定的暴露极限。 8.2 暴露控制 适当的技术控制 避免与皮肤、眼睛和衣服接触。 休息以前和操作过此产品之后立即洗手。 个体防护设备 眼/面保护 面罩與安全眼鏡请使用经官方标准如NIOSH (美国) 或 EN 166(欧盟) 检测与批准的设备防护眼部。 皮肤保护 戴手套取 手套在使用前必须受检查。 请使用合适的方法脱除手套(不要接触手套外部表面),避免任何皮肤部位接触此产品. 使用后请将被污染过的手套根据相关法律法规和有效的实验室规章程序谨慎处理. 请清洗并吹干双手 所选择的保护手套必须符合EU的89/686/EEC规定和从它衍生出来的EN 376标准。 身体保护 全套防化学试剂工作服, 防护设备的类型必须根据特定工作场所中的危险物的浓度和含量来选择。 呼吸系统防护 如危险性评测显示需要使用空气净化的防毒面具,请使用全面罩式多功能微粒防毒面具N99型(US) 或P2型(EN 143)防毒面具筒作为工程控制的候补。如果防毒面具是保护的唯一方式,则使用全面罩式送风防毒 面具。 呼吸器使用经过测试并通过政府标准如NIOSH(US)或CEN(EU)的呼吸器和零件。 模块9. 理化特性 9.1 基本的理化特性的信息 a) 外观与性状 形状: 固体 b) 气味 无数据资料 c) 气味阈值 无数据资料 d) pH值 无数据资料 e) 熔点/凝固点 无数据资料 f) 起始沸点和沸程 无数据资料 g) 闪点 无数据资料 h) 蒸发速率 无数据资料 i) 易燃性(固体,气体) 无数据资料 j) 高的/低的燃烧性或爆炸性限度 无数据资料 k) 蒸汽压 无数据资料 l) 蒸汽密度 无数据资料 m) 相对密度 无数据资料 n) 水溶性 无数据资料 o) n-辛醇/水分配系数 无数据资料 p) 自燃温度 无数据资料 q) 分解温度 无数据资料 r) 粘度 无数据资料 模块10. 稳定性和反应活性 10.1 反应性 无数据资料 10.2 稳定性 无数据资料 10.3 危险反应的可能性 无数据资料 10.4 应避免的条件 无数据资料 10.5 不兼容的材料 强氧化剂 10.6 危险的分解产物 其它分解产物 - 无数据资料 模块11. 毒理学资料 11.1 毒理学影响的信息 急性毒性 无数据资料 吸入: 无数据资料 皮肤刺激或腐蚀 无数据资料 眼睛刺激或腐蚀 无数据资料 呼吸道或皮肤过敏 无数据资料 生殖细胞突变性 细胞突变性-体外试验 - 人 - 淋巴细胞 DNA抑制 致癌性 IARC: 此产品中没有大于或等于 0。1%含量的组分被 IARC鉴别为可能的或肯定的人类致癌物。 生殖毒性 致畸性 - 大鼠 - 腹膜内的 对生殖的影响:胚胎植入后死亡率(例如总着床胚胎数中死亡和/或被再吸收的胚胎数)。 对胚胎或胎儿的影响:胎儿毒性(死亡除外,例如矮小胎儿)。 特异性靶器官系统毒性(一次接触) 吸入 - 可能引起呼吸道刺激。 特异性靶器官系统毒性(反复接触) 无数据资料 吸入危险 无数据资料 潜在的健康影响 吸入吸入会中毒。 引起呼吸道刺激。 摄入误吞会中毒。 皮肤如果被皮肤吸收会有毒性 造成皮肤刺激。 眼睛造成严重眼刺激。 接触后的征兆和症状 中枢神经系统机能降低, 消化系统失调, 麻醉, 损害眼睛, 可能发生对肝的伤害。, 对心脏有害, 可能发生对肾的伤害。, 可能引起惊厥。 附加说明 化学物质毒性作用登记: AU7357560 模块12. 生态学资料 12.1 生态毒性 无数据资料 12.2 持久存留性和降解性 无数据资料 12.3 潜在的生物蓄积性 无数据资料 12.4 土壤中的迁移性 无数据资料 12.5 PBT 和 vPvB的结果评价 无数据资料 12.6 其它不利的影响 无数据资料 模块13. 废弃处置 13.1 废物处理方法 产品 将剩余的和未回收的溶液交给处理公司。 联系专业的拥有废弃物处理执照的机构来处理此物质。 与易燃溶剂相溶或者相混合,在备有燃烧后处理和洗刷作用的化学焚化炉中燃烧 受污染的容器和包装 作为未用过的产品弃置。 模块14. 运输信息 14.1 联合国危险货物编号 欧洲陆运危规: -国际海运危规: -国际空运危规: - 14.2 联合国(UN)规定的名称 欧洲陆运危规: 非危险货物 国际海运危规: 非危险货物 国际空运危规: 非危险货物 14.3 运输危险类别 欧洲陆运危规: -国际海运危规: -国际空运危规: - 14.4 包裹组 欧洲陆运危规: -国际海运危规: -国际空运危规: - 14.5 环境危险 欧洲陆运危规: 否国际海运危规 海运污染物: 否国际空运危规: 否 14.6 对使用者的特别提醒 无数据资料 模块 15 - 法规信息 N/A 模块16 - 其他信息 N/A |
| 符号 |
GHS06 |
|---|---|
| 信号词 | Danger |
| 危害声明 | H301 + H311 + H331-H315-H319-H335 |
| 警示性声明 | Missing Phrase - N15.00950417-P261-P280-P302 + P352 + P312-P304 + P340 + P312-P403 + P233 |
| 个人防护装备 | Eyeshields;Faceshields;Gloves;type P2 (EN 143) respirator cartridges |
| 危害码 (欧洲) | T:Toxic |
| 风险声明 (欧洲) | R23/24/25;R36/37/38 |
| 安全声明 (欧洲) | S26-S37/39-S45-S36-S22 |
| 危险品运输编码 | NONH for all modes of transport |
| WGK德国 | 3 |
| RTECS号 | AU7357560 |

搜索







