1-萘酚酞
【用途一】
用作酸碱指示剂,PH值6.7左右时为无色~桔黄色,PH值7.9左右时由橘黄变为蓝色。市售品中含杂质者多呈淡红色,于PH值7.3~8.7时由淡红色变为蓝绿色。
用作酸碱指示剂,PH值6.7左右时为无色~桔黄色,PH值7.9左右时由橘黄变为蓝色。市售品中含杂质者多呈淡红色,于PH值7.3~8.7时由淡红色变为蓝绿色。
产品名称
-
中文名1-萘酚酞
-
英文名alpha-Naphtholphthalein
-
中文别名3,3'-双(4-羟基-1-萘基)-1(3H)-异苯并呋喃酮 | α-萘酚酞 | 甲萘酚酞 | α-萘酚酞,1-萘酚夫酞,3,3-双(4-羟基-1-萘基)苯酞 | 3,3-双(4-羟基-1-萘基)苯酞
-
英文别名
3,3-bis(4-hydroxynaphthalen-1-yl)-2-benzofuran-1-one MFCD00036202 EINECS 209-875-5 -
常用名1-萘酚酞
-
C A S号596-01-0
物理性质
-
密度1.404 g/cm3
-
沸点705.6ºC at 760 mmHg
-
熔点238-240 °C(lit.)
-
化学式C28H18O4
-
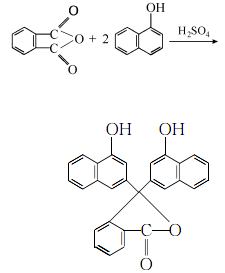
结构式
五、分子性质数据:
1、 摩尔折射率:123.79
2、 摩尔体积(cm3/mol):297.9
3、 等张比容(90.2K):862.1
4、 表面张力(dyne/cm):70.1
5、 极化率(10-24cm3):49.07
-
闪点247ºC
-
分子量418.44000
-
精确质量418.12100
-
P S A66.76000
-
外观形状灰色至棕色固体
-
储存条件
储存于阴凉干燥处。
-
稳定性
-
水溶解性
-
形态
-
H L B值
-
粘度
-
PH值
作用/用途
【用途一】
用作酸碱指示剂,PH值6.7左右时为无色~桔黄色,PH值7.9左右时由橘黄变为蓝色。市售品中含杂质者多呈淡红色,于PH值7.3~8.7时由淡红色变为蓝绿色。
用作酸碱指示剂,PH值6.7左右时为无色~桔黄色,PH值7.9左右时由橘黄变为蓝色。市售品中含杂质者多呈淡红色,于PH值7.3~8.7时由淡红色变为蓝绿色。
制备方法
1.由邻苯二甲酸酐与α-萘酚及氯化锌加热至100℃~110℃时制成。同时伴生副产物,经分离而得。
2.将1-萘酚和苯酐分别研细,按理论量混合后与浓硫酸一起搅拌成绿色粘稠状,维持温度在60℃ ( 不超过65℃)下19h,进行缩合反应:
冷却后粉碎,用冰水浸泡成松散状黄色粉末,用水洗涤,甩干。用1%氢氧化钠溶液溶解,并加热至60℃,趁热过滤,滤液冷却后用1∶ 1盐酸溶液在10℃以下中和至呈酸性,析出的结晶在低温下干燥,即得成品。
安全提醒
MSDS
|
1-萘酚酞MSDS英文版
|
原料简介
应用范围
毒性和生态
安全信息
| 个人防护装备 | dust mask type N95 (US);Eyeshields;Gloves |
|---|---|
| 危害码 (欧洲) | Xi:Irritant; |
| 风险声明 (欧洲) | R36/37/38 |
| 安全声明 (欧洲) | S26-S36 |
| 危险品运输编码 | NONH for all modes of transport |
| WGK德国 | 3 |
| 海关编码 | 32041900 |
是否危险品
危险性
危险类别码
危险等级
触发危险方式
安全技术说明书
环境影响程度
包装与储运
相关供应商

搜索







