
硫酸钕
产品名称
-
中文名硫酸钕
-
英文名tris(tetramethylcyclopentadienyl)neodymium
-
中文别名三(四甲基环戊二烯基)铵(III)
-
英文别名
-
常用名硫酸钕
-
C A S号164528-22-7
物理性质
-
密度N/A
-
沸点N/A
-
熔点N/A
-
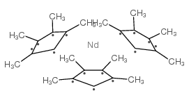
化学式C27H39Nd
-
结构式
-
闪点120 °F
-
分子量507.83900
-
精确质量505.21300
-
P S A
-
外观形状solid | yellow-green
-
储存条件
保存方法:密闭,阴凉,通风干燥处
-
稳定性
-
水溶解性
-
形态
-
H L B值
-
粘度
-
PH值
作用/用途
制备方法
安全提醒
MSDS
硫酸钕MSDS英文版
|
原料简介
应用范围
毒性和生态
安全信息
危害码 (欧洲) | F: Flammable; |
---|---|
风险声明 (欧洲) | R11 |
安全声明 (欧洲) | 16 |
危险品运输编码 | UN 1325 4.1/PG 2 |
WGK德国 | 3 |
包装等级 | II |
危险类别 | 4.1 |
是否危险品
危险性
危险类别码
危险等级
触发危险方式
安全技术说明书
环境影响程度
包装与储运
相关供应商