碳酸丙烯酯
【用途一】
UV固化涂料和油墨
UV固化涂料和油墨
【用途二】
用作气相色谱固定液及溶剂,也用于高分子聚合物的合成
【用途三】
用作油性溶剂、纺丝溶剂,烯烃、芳烃萃取剂,二氧化碳吸收剂,水溶性染料及颜料的分散剂等
【用途四】
本品是极性溶剂,用作增塑剂、纺丝溶剂、水溶性染料及塑料的分散剂。也可用作油性溶剂和烯烃、芳烃的萃取剂。碳酸丙烯酯作电池的电解液可承受较恶劣的光、热及化学变化。在地质选矿方面和分析化学方面也都有一定用途。另外,碳酸丙烯酯还可代替酚醛树脂作木材粘合剂,还用于合成碳酸二甲酯。
【用途五】
碳酸丙烯酯(108-32-7)做为一种高效溶剂,用来脱除石油气,石油裂解气,油田气及合成氨原料气中的二氧化碳,也可以做增塑剂,纺丝溶剂或水溶性染料,颜料分散剂,油性溶剂以及烯烃和芳烃之萃取剂;还可以做为电池工业锂电池的优良介质
【用途六】
做为一种高效溶剂,用来脱除石油气,石油裂解气,油田气及合成氨原料气中的二氧化碳,也可以做增塑剂,纺丝溶剂或水溶性染料,颜料分散剂,油性溶剂以及烯烃和芳烃之萃取剂。
用作气相色谱固定液及溶剂,也用于高分子聚合物的合成
【用途三】
用作油性溶剂、纺丝溶剂,烯烃、芳烃萃取剂,二氧化碳吸收剂,水溶性染料及颜料的分散剂等
【用途四】
本品是极性溶剂,用作增塑剂、纺丝溶剂、水溶性染料及塑料的分散剂。也可用作油性溶剂和烯烃、芳烃的萃取剂。碳酸丙烯酯作电池的电解液可承受较恶劣的光、热及化学变化。在地质选矿方面和分析化学方面也都有一定用途。另外,碳酸丙烯酯还可代替酚醛树脂作木材粘合剂,还用于合成碳酸二甲酯。
【用途五】
碳酸丙烯酯(108-32-7)做为一种高效溶剂,用来脱除石油气,石油裂解气,油田气及合成氨原料气中的二氧化碳,也可以做增塑剂,纺丝溶剂或水溶性染料,颜料分散剂,油性溶剂以及烯烃和芳烃之萃取剂;还可以做为电池工业锂电池的优良介质
【用途六】
做为一种高效溶剂,用来脱除石油气,石油裂解气,油田气及合成氨原料气中的二氧化碳,也可以做增塑剂,纺丝溶剂或水溶性染料,颜料分散剂,油性溶剂以及烯烃和芳烃之萃取剂。
产品名称
-
中文名碳酸丙烯酯
-
英文名Propylene carbonate
-
中文别名1,2-丙二醇碳 | 碳酸丙二醇酯 | 4-甲基-1,3-二氧戊环-2-酮 | 1,2-丙二醇碳酸酯
-
英文别名
1,2-Propanediol cyclic carbonate 1,3-Dioxolan-2-one, 4-methyl- Propylene glycol cyclic carbonate Carbonic acid cyclic 1,2-propylene ester 1, 3-Dioxolan-2-one, 4-methyl- Cyclic propylene carbonate PC-HP Carbonic acid, cyclic propylene ether Jeffsol PC 4-Methyl-1,3-dioxol-2-one 2-Oxo-4-methyl-1,3-dioxolane 1,2-Propanediol cyclic carbonate,4-Methyl-1,3-dioxolan-2-one MFCD00005385 4-Methyl-1,3-dioxolan-2-one 4-Methyl-2-oxo-1,3-dioxolane Propylene carbonate Arconate 1000 EINECS 203-572-1 -
常用名碳酸丙烯酯
-
C A S号108-32-7
物理性质
-
密度1.2±0.1 g/cm3
-
沸点241.7±0.0 °C at 760 mmHg
-
熔点-49ºC
-
化学式C4H6O3
-
结构式
1、 摩尔折射率:21.88
2、 摩尔体积(cm3/mol):87.2
3、 等张比容(90.2K):204.3
4、 表面张力(dyne/cm):30.0
5、 介电常数:
6、 偶极距(10-24cm3):
7、 极化率:8.67
-
闪点132.2±0.0 °C
-
分子量102.089
-
精确质量102.031693
-
P S A35.53000
-
外观形状无色液体
-
储存条件
储存于阴凉、通风的库房。远离火种、热源。应与氧化剂分开存放,切忌混储。配备相应品种和数量的消防器材。储区应备有泄漏应急处理设备和合适的收容材料。
本品用铁桶包装,贮于阴凉通风处,远离火源。按易燃化学品规定贮运。
-
稳定性
-
水溶解性
-
形态无色液体, 无气味, 不吸潮。
-
H L B值
-
粘度
-
PH值
作用/用途
【用途一】
UV固化涂料和油墨
UV固化涂料和油墨
【用途二】
用作气相色谱固定液及溶剂,也用于高分子聚合物的合成
【用途三】
用作油性溶剂、纺丝溶剂,烯烃、芳烃萃取剂,二氧化碳吸收剂,水溶性染料及颜料的分散剂等
【用途四】
本品是极性溶剂,用作增塑剂、纺丝溶剂、水溶性染料及塑料的分散剂。也可用作油性溶剂和烯烃、芳烃的萃取剂。碳酸丙烯酯作电池的电解液可承受较恶劣的光、热及化学变化。在地质选矿方面和分析化学方面也都有一定用途。另外,碳酸丙烯酯还可代替酚醛树脂作木材粘合剂,还用于合成碳酸二甲酯。
【用途五】
碳酸丙烯酯(108-32-7)做为一种高效溶剂,用来脱除石油气,石油裂解气,油田气及合成氨原料气中的二氧化碳,也可以做增塑剂,纺丝溶剂或水溶性染料,颜料分散剂,油性溶剂以及烯烃和芳烃之萃取剂;还可以做为电池工业锂电池的优良介质
【用途六】
做为一种高效溶剂,用来脱除石油气,石油裂解气,油田气及合成氨原料气中的二氧化碳,也可以做增塑剂,纺丝溶剂或水溶性染料,颜料分散剂,油性溶剂以及烯烃和芳烃之萃取剂。
用作气相色谱固定液及溶剂,也用于高分子聚合物的合成
【用途三】
用作油性溶剂、纺丝溶剂,烯烃、芳烃萃取剂,二氧化碳吸收剂,水溶性染料及颜料的分散剂等
【用途四】
本品是极性溶剂,用作增塑剂、纺丝溶剂、水溶性染料及塑料的分散剂。也可用作油性溶剂和烯烃、芳烃的萃取剂。碳酸丙烯酯作电池的电解液可承受较恶劣的光、热及化学变化。在地质选矿方面和分析化学方面也都有一定用途。另外,碳酸丙烯酯还可代替酚醛树脂作木材粘合剂,还用于合成碳酸二甲酯。
【用途五】
碳酸丙烯酯(108-32-7)做为一种高效溶剂,用来脱除石油气,石油裂解气,油田气及合成氨原料气中的二氧化碳,也可以做增塑剂,纺丝溶剂或水溶性染料,颜料分散剂,油性溶剂以及烯烃和芳烃之萃取剂;还可以做为电池工业锂电池的优良介质
【用途六】
做为一种高效溶剂,用来脱除石油气,石油裂解气,油田气及合成氨原料气中的二氧化碳,也可以做增塑剂,纺丝溶剂或水溶性染料,颜料分散剂,油性溶剂以及烯烃和芳烃之萃取剂。
制备方法
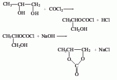
1.光气法原料丙二醇与光气作用,生成氯甲酸羟基异丙酯,然后与氢氧化钠作用生成碳酸丙烯酯,再经减压蒸馏得成品。
2.酯交换法。
3.氯丙醇法。
4.环氧丙烷与二氧化碳合成法二氧化碳与环氧丙烷在150-160℃、5MPa条件下反应生成碳酸丙烯酯。经减压分馏得成品。以上方法均已工业化,但前三种方法生产成本较高,产品质量欠佳,因而逐渐被第四种方法所代替。
5.丙烯氧化与二氧化碳合成法。此法为近年来实验室开发的一种合成方法。
精制方法:主要杂质为水、二氧化碳、1,2-丙二醇、烯丙醇和氧化丙烯等。一般用减压蒸馏法精制。但作高能电池的溶剂使用时,杂质有显著的影响。可将其用分子筛干燥一夜,再通过一个干燥的分子筛柱,在减压下分馏两次,收集中间馏出的2/3部分,此法可使杂质含量降至标准要求以下。
6. 烟草:FC,18。
安全提醒
MSDS
|
||||||||||||||||||||||||||||||||||||||||||||||||||||||||||||||||||||||||||||||||||||||||||||||||||||||||||||||||||||||||||||||||||||||||||||||||||||||||||||||||||||||||||||||||||||||||||||||||||||||||||||||||||||||||||||||||||||||||||||||||||||||||||
原料简介
应用范围
毒性和生态
安全信息
| 符号 |
GHS07 |
|---|---|
| 信号词 | Warning |
| 危害声明 | H319 |
| 警示性声明 | P305 + P351 + P338 |
| 个人防护装备 | Eyeshields;full-face respirator (US);Gloves;multi-purpose combination respirator cartridge (US);type ABEK (EN14387) respirator filter |
| 危害码 (欧洲) | Xi:Irritant |
| 风险声明 (欧洲) | R36 |
| 安全声明 (欧洲) | 26-37/39 |
| 危险品运输编码 | NONH for all modes of transport |
| WGK德国 | 1 |
| RTECS号 | FF9650000 |
| 海关编码 | 2932999099 |
是否危险品
危险性
危险类别码
危险等级
触发危险方式
安全技术说明书
环境影响程度
包装与储运
相关供应商

搜索











