4-氨基苯乙酮
【用途一】
用作医药喘咳素的原料
用作医药喘咳素的原料
【用途二】
用作测定钯的灵敏试剂及测定维生素B1的试剂
【用途三】
医药喘咳素的中间体。也用于测定钯和维生素B1。
【用途四】
测定钯和维生素B1。铈的光度测定试剂。磺胺类比色测定。
用作测定钯的灵敏试剂及测定维生素B1的试剂
【用途三】
医药喘咳素的中间体。也用于测定钯和维生素B1。
【用途四】
测定钯和维生素B1。铈的光度测定试剂。磺胺类比色测定。
产品名称
-
中文名4-氨基苯乙酮
-
英文名4-Aminoacetophenone
-
中文别名4-氨基乙酰苯 | 4'-氨基苯乙酮 | 4-乙酰苯胺 | 对氨基苯乙酮 | 4-乙酰基苯胺
-
英文别名
1-(4-Aminophenyl)ethanone MFCD00007896 p-Aminoacetylbenzene p-Aminoacetophenone Ethanone, 1-(4-aminophenyl)- p-acetylaniline 4-Acetylaniline 4-Amino acetophenone EINECS 202-801-2 -
常用名4-氨基苯乙酮
-
C A S号99-92-3
物理性质
-
密度1.1±0.1 g/cm3
-
沸点294.8±13.0 °C at 760 mmHg
-
熔点103-107 °C(lit.)
-
化学式C8H9NO
-
结构式
1、 摩尔折射率:40.51
2、 摩尔体积(cm3/mol):123.2
3、 等张比容(90.2K):318.2
4、 表面张力(dyne/cm):44.4
5、 介电常数:
6、 偶极距(10-24cm3):
7、 极化率:16.06
-
闪点132.1±19.8 °C
-
分子量135.163
-
精确质量135.068420
-
P S A43.09000
-
外观形状黄色至棕色结晶粉末
-
储存条件1.储存于阴凉、通风的库房。远离火种、热源。 2.应与酸性物质、酸性氯化物、酸酐、氯甲酸酯分开存放,切忌混储。 3.配备相应品种和数量的消防器材。储区应备有合适的材料收容泄漏物。
-
稳定性
-
水溶解性
-
形态淡黄色针状结晶或粉末。有愉快的特殊气味。见光后色变深。
-
H L B值
-
粘度
-
PH值
作用/用途
【用途一】
用作医药喘咳素的原料
用作医药喘咳素的原料
【用途二】
用作测定钯的灵敏试剂及测定维生素B1的试剂
【用途三】
医药喘咳素的中间体。也用于测定钯和维生素B1。
【用途四】
测定钯和维生素B1。铈的光度测定试剂。磺胺类比色测定。
用作测定钯的灵敏试剂及测定维生素B1的试剂
【用途三】
医药喘咳素的中间体。也用于测定钯和维生素B1。
【用途四】
测定钯和维生素B1。铈的光度测定试剂。磺胺类比色测定。
制备方法
(1)由对硝基苯乙酮还原:将氯化亚锡、浓盐酸放入反应罐,冷却,搅拌加入对硝基苯乙酮。自然升温至90℃时,急冷至85℃,继续冷至室温,搅拌1h,过滤,滤饼加过量氢氧化钠溶液分解复合物。过滤,得对氨基苯乙酮粗品,用稀乙醇时得重结晶可得熔点105-106℃的精品。收率61%用铁粉和氯化钠代替氯化亚锡也可进行还原反应。
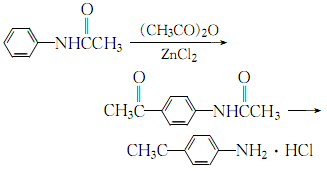
(2)由乙酰苯胺、乙酐制得乙酰氨基苯乙酮,再水解、中和而得。乙酐、乙酰苯、无水氯化锌混合保持微沸5h,稍冷,倒入浓盐酸,回流水解5h,放置至室温,加入25%氢氧化钠至调节pH为7-8,通入蒸汽赶去苯胺,加脱色炭过滤,减压浓缩,冷却得橙黄色结晶。滤干得粗品。再用水进行重结晶提纯。
(3)将醋酐、乙酰苯胺以1∶ 1( 摩尔比)的比例与催化剂量的无水氯化锌混合均匀,加热回流5h,加入浓盐酸后继续回流水解5h:
反应结束后,静置冷却至室温,加入25%的氢氧化钠溶液至油水明显分层,在分离出的油层中加入水,再用25%的氢氧化钠调节ph值至7~8,然后用水蒸气蒸馏蒸出苯胺。剩余物用活性炭脱色,过滤所得滤液进行减压浓缩,冷却所的橙黄色结晶用水重结晶,以制得纯品对氨基苯乙酮。
安全提醒
MSDS
|
模块1. 化学品 1.1 产品标识符 : 4′-氨基苯乙酮 产品名称 1.2 鉴别的其他方法 4-Acetylaniline
1.3 有关的确定了的物质或混合物的用途和建议不适合的用途
仅用于研发。不作为药品、家庭或其它用途。 模块2. 危险性概述 2.1 GHS-分类 急性毒性, 经口 (类别 4) 皮肤刺激 (类别 2) 眼睛刺激 (类别 2A) 特异性靶器官系统毒性(一次接触) (类别 3) 急性水生毒性 (类别 2) 2.2 GHS 标记要素,包括预防性的陈述 象形图 警示词警告 危险申明 H302吞咽有害。 H315造成皮肤刺激。 H319造成严重眼刺激。 H335可能引起呼吸道刺激。 H401对水生生物有毒。 警告申明 预防措施 P261避免吸入粉尘/烟/气体/烟雾/蒸气/喷雾. P264操作后彻底清洁皮肤。 P270使用本产品时不要进食、饮水或吸烟。 P271只能在室外或通风良好之处使用。 P273避免释放到环境中。 P280穿戴防护手套/ 眼保护罩/ 面部保护罩。 事故响应 P301 + P312如果吞咽并觉不适: 立即呼叫解毒中心或就医。 P302 + P352如果皮肤接触:用大量肥皂和水清洗。 P304 + P340如吸入: 将患者移到新鲜空气处休息,并保持呼吸舒畅的姿势。 P305 + P351 + P338如与眼睛接触,用水缓慢温和地冲洗几分钟。如戴隐形眼镜并可方便地取 出,取出隐形眼镜,然后继续冲洗. P312如感觉不适,呼救中毒控制中心或医生. P321具体处置(见本标签上提供的急救指导)。 P330漱口。 P332 + P313如觉皮肤刺激:求医/就诊。 P337 + P313如仍觉眼睛刺激:求医/就诊。 P362脱掉沾污的衣服,清洗后方可再用。 安全储存 P403 + P233存放于通风良的地方。 保持容器密闭。 P405存放处须加锁。 废弃处置 P501将内容物/ 容器处理到得到批准的废物处理厂。 2.3 其它危害物 - 无 模块3. 成分/组成信息 3.1 物 质 : 4-Acetylaniline 别名 : C8H9NO 分子式 : 135.16 g/mol 分子量 组分浓度或浓度范围 4'-Aminoacetophenone - 化学文摘登记号(CAS99-92-3 No.)202-801-2 EC-编号 模块4. 急救措施 4.1 必要的急救措施描述 一般的建议 请教医生。 向到现场的医生出示此安全技术说明书。 吸入 如果吸入,请将患者移到新鲜空气处。 如呼吸停止,进行人工呼吸。 请教医生。 皮肤接触 用肥皂和大量的水冲洗。 请教医生。 眼睛接触 用大量水彻底冲洗至少15分钟并请教医生。 食入 切勿给失去知觉者通过口喂任何东西。 用水漱口。 请教医生。 4.2 主要症状和影响,急性和迟发效应 人体吸入引起高铁血红蛋白形成,一定浓度后引起苍白病。一般2~4小时或更长时间后发作, 据我们所知,此化学,物理和毒性性质尚未经完整的研究。 4.3 及时的医疗处理和所需的特殊处理的说明和指示 无数据资料 模块5. 消防措施 5.1 灭火介质 灭火方法及灭火剂 用水雾,抗乙醇泡沫,干粉或二氧化碳灭火。 5.2 源于此物质或混合物的特别的危害 碳氧化物, 氮氧化物 5.3 给消防员的建议 如必要的话,戴自给式呼吸器去救火。 5.4 进一步信息 无数据资料 模块6. 泄露应急处理 6.1 作业人员防护措施、防护装备和应急处置程序 使用个人防护用品。 避免粉尘生成。 避免吸入蒸气、烟雾或气体。 保证充分的通风。 人员疏散到安全区域。 避免吸入粉尘。 6.2 环境保护措施 如能确保安全,可采取措施防止进一步的泄漏或溢出。 不要让产品进入下水道。 一定要避免排放到周围环境中。 6.3 泄漏化学品的收容、清除方法及所使用的处置材料 收集和处置时不要产生粉尘。 扫掉和铲掉。 放入合适的封闭的容器中待处理。 6.4 参考其他部分 丢弃处理请参阅第13节。 模块7. 操作处置与储存 7.1 安全操作的注意事项 避免接触皮肤和眼睛。 避免形成粉尘和气溶胶。 在有粉尘生成的地方,提供合适的排风设备。一般性的防火保护措施。 7.2 安全储存的条件,包括任何不兼容性 贮存在阴凉处。 使容器保持密闭,储存在干燥通风处。 7.3 特定用途 无数据资料 模块8. 接触控制和个体防护 8.1 容许浓度 最高容许浓度 没有已知的国家规定的暴露极限。 8.2 暴露控制 适当的技术控制 根据良好的工业卫生和安全规范进行操作。 休息前和工作结束时洗手。 个体防护设备 眼/面保护 带有防护边罩的安全眼镜符合 EN166要求请使用经官方标准如NIOSH (美国) 或 EN 166(欧盟) 检测与批准的设备防护眼部。 皮肤保护 戴手套取 手套在使用前必须受检查。 请使用合适的方法脱除手套(不要接触手套外部表面),避免任何皮肤部位接触此产品. 使用后请将被污染过的手套根据相关法律法规和有效的实验室规章程序谨慎处理. 请清洗并吹干双手 所选择的保护手套必须符合EU的89/686/EEC规定和从它衍生出来的EN 376标准。 完全接触 物料: 丁腈橡胶 最小的层厚度 0.11 mm 溶剂渗透时间: 480 min 测试过的物质Dermatril® (KCL 740 / Z677272, 规格 M) 飞溅保护 物料: 丁腈橡胶 最小的层厚度 0.11 mm 溶剂渗透时间: 480 min 测试过的物质Dermatril® (KCL 740 / Z677272, 规格 M) , 测试方法 EN374 如果以溶剂形式应用或与其它物质混合应用,或在不同于EN 374规定的条件下应用,请与EC批准的手套的供应商联系。 这个推荐只是建议性的,并且务必让熟悉我们客户计划使用的特定情况的工业卫生学专家评估确认才可. 这不应该解释为在提供对任何特定使用情况方法的批准. 身体保护 全套防化学试剂工作服, 防护设备的类型必须根据特定工作场所中的危险物的浓度和数量来选择。 呼吸系统防护 如须暴露于有害环境中,请使用P95型(美国)或P1型(欧盟 英国 143)防微粒呼吸器。如需更高级别防护,请使用OV/AG/P99型(美国)或ABEK-P2型 (欧盟 英国 143) 防毒罐。 呼吸器使用经过测试并通过政府标准如NIOSH(US)或CEN(EU)的呼吸器和零件。 模块9. 理化特性 9.1 基本的理化特性的信息 a) 外观与性状 形状: 粉末 颜色: 淡黄, 深黄 b) 气味 无数据资料 c) 气味阈值 无数据资料 d) pH值 无数据资料 e) 熔点/凝固点 熔点/凝固点: 103 - 107 °C - lit. f) 沸点、初沸点和沸程 293 °C - lit. g) 闪点 无数据资料 h) 蒸发速率 无数据资料 i) 易燃性(固体,气体) 无数据资料 j) 高的/低的燃烧性或爆炸性限度 无数据资料 k) 蒸气压 无数据资料 l) 蒸汽密度 无数据资料 m) 密度/相对密度 无数据资料 n) 水溶性 无数据资料 o) n-辛醇/水分配系数 无数据资料 p) 自燃温度 无数据资料 q) 分解温度 无数据资料 r) 粘度 无数据资料 模块10. 稳定性和反应活性 10.1 反应性 无数据资料 10.2 稳定性 无数据资料 10.3 危险反应 无数据资料 10.4 应避免的条件 无数据资料 10.5 不相容的物质 酸, 酰基氯, 酸酐, 氯甲酸酯, 强氧化剂, 强还原剂 10.6 危险的分解产物 其它分解产物 - 无数据资料 模块11. 毒理学资料 11.1 毒理学影响的信息 急性毒性 半数致死剂量 (LD50) 经口 - 大鼠 - 381 mg/kg 皮肤刺激或腐蚀 无数据资料 眼睛刺激或腐蚀 无数据资料 呼吸道或皮肤过敏 无数据资料 生殖细胞致突变性 无数据资料 致癌性 IARC: 此产品中没有大于或等于 0。1%含量的组分被 IARC鉴别为可能的或肯定的人类致癌物。 生殖毒性 无数据资料 特异性靶器官系统毒性(一次接触) 吸入 - 可能引起呼吸道刺激。 特异性靶器官系统毒性(反复接触) 无数据资料 吸入危险 无数据资料 潜在的健康影响 吸入吸入可能有害。 引起呼吸道刺激。 摄入误吞对人体有害。 皮肤通过皮肤吸收可能有害。 造成皮肤刺激。 眼睛造成严重眼刺激。 接触后的征兆和症状 人体吸入引起高铁血红蛋白形成,一定浓度后引起苍白病。一般2~4小时或更长时间后发作, 据我们所知,此化学,物理和毒性性质尚未经完整的研究。 附加说明 化学物质毒性作用登记: AM5500000 模块12. 生态学资料 12.1 生态毒性 对水蚤和其他水生无脊半数效应浓度(EC50) - 大型蚤 (水蚤) - 5 mg/l - 48 h 椎动物的毒性 12.2 持久性和降解性 无数据资料 12.3 潜在的生物累积性 无数据资料 12.4 土壤中的迁移性 无数据资料 12.5 PBT 和 vPvB的结果评价 无数据资料 12.6 其它不良影响 对水生生物有毒。 无数据资料 模块13. 废弃处置 13.1 废物处理方法 产品 将剩余的和不可回收的溶液交给有许可证的公司处理。 联系专业的拥有废弃物处理执照的机构来处理此物质。 与易燃溶剂相溶或者相混合,在备有燃烧后处理和洗刷作用的化学焚化炉中燃烧 受污染的容器和包装 按未用产品处置。 模块14. 运输信息 14.1 联合国危险货物编号 欧洲陆运危规: -国际海运危规: -国际空运危规: - 14.2 联合国运输名称 欧洲陆运危规: 非危险货物 国际海运危规: 非危险货物 国际空运危规: 非危险货物 14.3 运输危险类别 欧洲陆运危规: -国际海运危规: -国际空运危规: - 14.4 包裹组 欧洲陆运危规: -国际海运危规: -国际空运危规: - 14.5 环境危险 欧洲陆运危规: 否国际海运危规国际空运危规: 否 海洋污染物(是/否): 否 14.6 对使用者的特别提醒 无数据资料 模块 15 - 法规信息 N/A 模块16 - 其他信息 N/A |
原料简介
应用范围
毒性和生态
安全信息
| 符号 |
GHS07 |
|---|---|
| 信号词 | Warning |
| 危害声明 | H302 |
| 警示性声明 | P301 + P312 + P330 |
| 个人防护装备 | dust mask type N95 (US);Eyeshields;Faceshields;Gloves |
| 危害码 (欧洲) | Xn:Harmful; |
| 风险声明 (欧洲) | R22 |
| 安全声明 (欧洲) | S26-S36 |
| 危险品运输编码 | NONH for all modes of transport |
| WGK德国 | 3 |
| RTECS号 | AM5500000 |
| 海关编码 | 29223900 |
是否危险品
危险性
危险类别码
危险等级
触发危险方式
安全技术说明书
环境影响程度
包装与储运
相关供应商

搜索







