克利西丁
【用途一】
适用于直接、分散、活性染料的合成
适用于直接、分散、活性染料的合成
【用途二】
本品是一种染料中间体。在直接染料方面用于合成C.I.29050、29065、27885等,在酸性染料方面用于合成C.I.14940、14965等,还用于制造分散大红GC、直接耐晒蓝3RLL、直接黑D、活性黄棕K-GR、阳离子黄4G等。
【用途三】
本品是以种染料中间体。在直接染料方面用于合成C.I.29050;29065;27885等,在酸性染料方面用于合成C.I.14940;14965等,还用于制造分散大红GC;直接耐晒蓝3RLL;直接黑D;活性黄棕K-GR;阳离子黄4G等。
本品是一种染料中间体。在直接染料方面用于合成C.I.29050、29065、27885等,在酸性染料方面用于合成C.I.14940、14965等,还用于制造分散大红GC、直接耐晒蓝3RLL、直接黑D、活性黄棕K-GR、阳离子黄4G等。
【用途三】
本品是以种染料中间体。在直接染料方面用于合成C.I.29050;29065;27885等,在酸性染料方面用于合成C.I.14940;14965等,还用于制造分散大红GC;直接耐晒蓝3RLL;直接黑D;活性黄棕K-GR;阳离子黄4G等。
产品名称
-
中文名2-甲氧基-5-甲基苯胺
-
英文名Para-Cresidine
-
中文别名5-甲基邻茴香胺 | 克利西丁 | 1-氨基-2-甲氧基-5-甲基苯 | 2-氨基-4-甲基苯甲醚 | 邻氨基对甲苯甲醚 | 3-甲基-6-甲氧基苯胺 | 4-甲大茴香胺 | 5-甲鄰甲氧苯胺 | 邻氯基对甲基苯甲醚 | 3-氨基对甲苯甲醚
-
英文别名
Para-Cresidine EINECS 204-419-1 6-Methoxy-m-toluidine 2-Methoxy-5-methylbenzenamine 2-Methoxy-5-methylaniline Cresidine Benzenamine,2-methoxy-5-methyl 5-Methyl-o-anisidine Para Cresidine p-cresidine MFCD00007815 Benzenamine, 2-methoxy-5-methyl- 2-amino-4-methylanisole 1-amino-2-methoxy-5-methylbenzene Krezidin 3-Amino-4-methoxytoluene 2-methoxy-5-methyl aniline 5-methyl-2-methoxyaniline -
常用名克利西丁
-
C A S号120-71-8
物理性质
-
密度1.0±0.1 g/cm3
-
沸点235.4±20.0 °C at 760 mmHg
-
熔点50-52 °C(lit.)
-
化学式C8H11NO
-
结构式
1、 摩尔折射率:41.99
2、 摩尔体积(cm3/mol):131.9
3、 等张比容(90.2K):327.4
4、 表面张力(dyne/cm):37.8
5、 介电常数:
6、 偶极距(10-24cm3):
7、 极化率16.64
-
闪点102.1±15.0 °C
-
分子量137.179
-
精确质量137.084061
-
P S A35.25000
-
外观形状黄色至棕色结晶固体
-
储存条件
包装采用玻璃瓶外木箱内衬垫料。贮存于阴凉、通风的仓库内,远离火种、热源避免阳光直射,与食用原料隔离贮运。
-
稳定性
-
水溶解性
-
形态白色结晶
-
H L B值
-
粘度
-
PH值
作用/用途
【用途一】
适用于直接、分散、活性染料的合成
适用于直接、分散、活性染料的合成
【用途二】
本品是一种染料中间体。在直接染料方面用于合成C.I.29050、29065、27885等,在酸性染料方面用于合成C.I.14940、14965等,还用于制造分散大红GC、直接耐晒蓝3RLL、直接黑D、活性黄棕K-GR、阳离子黄4G等。
【用途三】
本品是以种染料中间体。在直接染料方面用于合成C.I.29050;29065;27885等,在酸性染料方面用于合成C.I.14940;14965等,还用于制造分散大红GC;直接耐晒蓝3RLL;直接黑D;活性黄棕K-GR;阳离子黄4G等。
本品是一种染料中间体。在直接染料方面用于合成C.I.29050、29065、27885等,在酸性染料方面用于合成C.I.14940、14965等,还用于制造分散大红GC、直接耐晒蓝3RLL、直接黑D、活性黄棕K-GR、阳离子黄4G等。
【用途三】
本品是以种染料中间体。在直接染料方面用于合成C.I.29050;29065;27885等,在酸性染料方面用于合成C.I.14940;14965等,还用于制造分散大红GC;直接耐晒蓝3RLL;直接黑D;活性黄棕K-GR;阳离子黄4G等。
制备方法
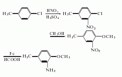
1.由对氯甲苯硝化、甲氧基化、还原而得。在15-20℃将混酸加入对氯甲苯中,在30℃搅拌2h,用水稀释,分离废酸,水洗得4-氯-3-硝基甲苯(收率30.6%)和4-氯-2-硝基甲苯(收率56.7%),用分馏和结晶法将两者分离,得4-氯-3-硝基甲苯。将其与甲醇及甲醇钠溶液反应,用硫酸中和分离,得3-硝基-4-甲氧基甲苯,收率85.6%。用水、铁粉、甲酸还原后,再用溶剂汽油多次萃取蒸馏而得。
2.由对甲酚硝化得到2-硝基-4-甲酚,再与硫酸二甲酯甲基化为3-硝基-4-对甲氧基甲苯,最后用硫化碱还原而得。3.对氯-N,N-二乙基苄胺法 经硝化、甲氧基化、还原反应制得。
安全提醒
MSDS
|
|||||||||||||||||||||||||||||||||||||||||||||||||||||||||||||||||||||||||||||||||||||||||||||||||||||||||||||||||||||||||||||||||||||||||||||||||||||||||||||||||||||||||||||||||||||||||||||||||||||||||||||||||||||||||||||||||||||||||||||||||||||||
原料简介
应用范围
毒性和生态
安全信息
| 符号 |
GHS07, GHS08 |
|---|---|
| 信号词 | Danger |
| 危害声明 | H302-H319-H350 |
| 警示性声明 | P201-P305 + P351 + P338-P308 + P313 |
| 个人防护装备 | Eyeshields;full-face particle respirator type N100 (US);Gloves;respirator cartridge type N100 (US);type P1 (EN143) respirator filter;type P3 (EN 143) respirator cartridges |
| 危害码 (欧洲) | T:Toxic; |
| 风险声明 (欧洲) | R22;R45 |
| 安全声明 (欧洲) | S53-S45 |
| 危险品运输编码 | NONH for all modes of transport |
| WGK德国 | 3 |
| RTECS号 | BZ6720000 |
| 包装等级 | I; II; III |
| 海关编码 | 2922199090 |
是否危险品
危险性
危险类别码
危险等级
触发危险方式
安全技术说明书
环境影响程度
包装与储运
相关供应商

搜索








