试银灵
1.有机灵敏试剂,光度测定银、金、汞、铂、钯。
2.用于光度法测定银、铜、金、铂、钯和汞等的显色剂,也可用于定性检出上述元素。
产品名称
-
中文名对二甲氨基苄罗丹宁
-
英文名5-(4-DIMETHYLAMINOBENZYLIDENE)RHODANINE
-
中文别名试银灵 | 4-二甲基氨基苯亚甲基罗丹宁 | 5-(对二甲氨基亚苄基)罗丹宁 | 4-二甲基氨基苯亚甲基罗丹宁 | 对二甲氨基亚苄罗丹宁 | 5-(4-二甲基氨基苯亚甲基)绕丹宁 | 玫瑰红银试剂 | 5-(4-二甲氨基亚苄基)罗丹宁 | 对二甲氨基亚苄基罗丹宁 | 5-[4-(二甲基氨基)苯基]亚甲基-2-硫代-4-噻唑烷酮 | 5-[4-(二甲基氨基)苯基]亚甲基-2-硫代-4-噻唑烷酮
-
英文别名
4(5H)-thiazolone, 5-[[4-(dimethylamino)phenyl]methylene]-2-mercapto-, (5Z)- 4-Dimethylaminobenzylidenerhodanine 5-(4-Dimethylamino-benzylidene)-2-thioxo-thiazolidin-4-one 5-(4-Dimethylaminobenzylidene)-2-thioxo-4-thiazolidinone 5-(4-(Dimethylamino)benzylidene)-2-mercaptothiazol-4(5H)-one 5-[[4-(Dimethylamino)phenyl]methylene]-2-thioxo-4-thiazolidinone 4-Thiazolidinone, 5-[[4- (dimethylamino)phenyl]methylene]-2-thioxo- 5-(4-DIMETHYLAMINOBENZYLIDENE)RHODANINE EINECS 208-625-2 (5Z)-5-[4-(Dimethylamino)benzylidene]-2-thioxo-1,3-thiazolidin-4-one p-Dimethylaminobenzalrhodanine 4-Thiazolidinone, 5-[[4-(dimethylamino)phenyl]methylene]-2-thioxo-, (5Z)- 4-Dimethylaminobenzalrhodanine MFCD00064857 -
常用名试银灵
-
C A S号536-17-4
物理性质
-
密度1.4±0.1 g/cm3
-
沸点430ºC at 760mmHg
-
熔点285-288 °C(lit.)
-
化学式C12H12N2OS2
-
结构式
1、 摩尔折射率:74.94
2、 摩尔体积(cm3/mol):193.1
3、 等张比容(90.2K):555.4
4、 表面张力(dyne/cm):68.3
5、 极化率(10-24cm3):29.70
-
闪点213.8ºC
-
分子量264.366
-
精确质量264.039093
-
P S A89.73000
-
外观形状
-
储存条件
1.储存于阴凉、干燥、通风良好的库房。远离火种、热源。防止阳光直射。
2.包装密封。应与酸类、食用化学品分开存放,切忌混储。
3.储区应备有合适的材料收容泄漏物。本品应密封保存。
-
稳定性
-
水溶解性
-
形态红色针状结晶
-
H L B值
-
粘度
-
PH值
作用/用途
1.有机灵敏试剂,光度测定银、金、汞、铂、钯。
2.用于光度法测定银、铜、金、铂、钯和汞等的显色剂,也可用于定性检出上述元素。
制备方法
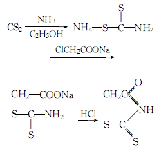
1.将5℃的二硫化碳 乙醇溶液倒入5℃的氨-乙醇溶液,充分搅拌后静置,待沉淀完全后,过滤。用乙醚洗涤沉淀后备用。一氯乙酸水溶液用碳酸钠调ph值为7~8冷却至10℃以下,搅拌下分次少量加入上述新鲜沉淀,控制温度在20℃以下,冷却后静置,过滤,滤液加到煮沸的盐酸水溶液中,加热至95℃,冷却,过滤后,结晶用冰醋酸重结晶一次,得罗丹宁:
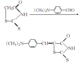
将制得的罗丹宁和对二甲氨苯甲醛以理论量配比溶于乙酸,加热回流1~2h:
加水或加乙醇使产物对二甲氨基亚苄罗丹宁沉淀,静置后过滤,结晶经水洗干燥后,再用沸腾乙醇重结晶提纯即可。
安全提醒
MSDS
|
1.1 产品标识符
: 5-(4-二甲氨基亚苄基)罗丹宁 产品名称 1.2 鉴别的其他方法 无数据资料 1.3 有关的确定了的物质或混合物的用途和建议不适合的用途 仅供科研用途,不作为药物、家庭备用药或其它用途。
模块2. 危险性概述 2.1 GHS分类 根据化学品全球统一分类与标签制度(GHS)的规定,不是危险物质或混合物。 2.3 其它危害物 - 无 模块3. 成分/组成信息 3.1 物 质 : C12H12N2OS2 分子式 : 264.37 g/mol 分子量 无 模块4. 急救措施 4.1 必要的急救措施描述 吸入 如果吸入,请将患者移到新鲜空气处。 如果停止了呼吸,给于人工呼吸。 皮肤接触 用肥皂和大量的水冲洗。 眼睛接触 用水冲洗眼睛作为预防措施。 食入 切勿给失去知觉者从嘴里喂食任何东西。 用水漱口。 4.2 主要症状和影响,急性和迟发效应 据我们所知,此化学,物理和毒性性质尚未经完整的研究。 4.3 及时的医疗处理和所需的特殊处理的说明和指示 无数据资料 模块5. 消防措施 5.1 灭火介质 灭火方法及灭火剂 用水雾,耐醇泡沫,干粉或二氧化碳灭火。 5.2 源于此物质或混合物的特别的危害 碳氧化物, 氮氧化物, 硫氧化物 5.3 给消防员的建议 如必要的话,戴自给式呼吸器去救火。 5.4 进一步信息 无数据资料 模块6. 泄露应急处理 6.1 人员的预防,防护设备和紧急处理程序 防止粉尘的生成。 防止吸入蒸汽、气雾或气体。 6.2 环境保护措施 不要让产物进入下水道。 6.3 抑制和清除溢出物的方法和材料 扫掉和铲掉。 存放进适当的闭口容器中待处理。 6.4 参考其他部分 丢弃处理请参阅第13节。 模块7. 操作处置与储存 7.1 安全操作的注意事项 在有粉尘生成的地方,提供合适的排风设备。一般性的防火保护措施。 7.2 安全储存的条件,包括任何不兼容性 贮存在阴凉处。 容器保持紧闭,储存在干燥通风处。 7.3 特定用途 无数据资料 模块8. 接触控制和个体防护 8.1 容许浓度 最高容许浓度 没有已知的国家规定的暴露极限。 8.2 暴露控制 适当的技术控制 常规的工业卫生操作。 个体防护设备 眼/面保护 请使用经官方标准如NIOSH (美国) 或 EN 166(欧盟) 检测与批准的设备防护眼部。 皮肤保护 戴手套取 手套在使用前必须受检查。 请使用合适的方法脱除手套(不要接触手套外部表面),避免任何皮肤部位接触此产品. 使用后请将被污染过的手套根据相关法律法规和有效的实验室规章程序谨慎处理. 请清洗并吹干双手 所选择的保护手套必须符合EU的89/686/EEC规定和从它衍生出来的EN 376标准。 身体保护 根据危险物质的类型,浓度和量,以及特定的工作场所来选择人体保护措施。, 防护设备的类型必须根据特定工作场所中的危险物的浓度和含量来选择。 呼吸系统防护 不需要保护呼吸。如需防护粉尘损害,请使用N95型(US)或P1型(EN 143)防尘面具。 呼吸器使用经过测试并通过政府标准如NIOSH(US)或CEN(EU)的呼吸器和零件。 模块9. 理化特性 9.1 基本的理化特性的信息 a) 外观与性状 形状: 结晶 颜色: 深红 b) 气味 无数据资料 c) 气味阈值 无数据资料 d) pH值 无数据资料 e) 熔点/凝固点 熔点/凝固点: 285 - 288 °C - lit. f) 起始沸点和沸程 无数据资料 g) 闪点 无数据资料 h) 蒸发速率 无数据资料 i) 易燃性(固体,气体) 无数据资料 j) 高的/低的燃烧性或爆炸性限度 无数据资料 k) 蒸汽压 无数据资料 l) 蒸汽密度 无数据资料 m) 相对密度 无数据资料 n) 水溶性 无数据资料 o) n-辛醇/水分配系数 无数据资料 p) 自燃温度 无数据资料 q) 分解温度 无数据资料 r) 粘度 无数据资料 模块10. 稳定性和反应活性 10.1 反应性 无数据资料 10.2 稳定性 无数据资料 10.3 危险反应的可能性 无数据资料 10.4 应避免的条件 无数据资料 10.5 不兼容的材料 强氧化剂 10.6 危险的分解产物 其它分解产物 - 无数据资料 模块11. 毒理学资料 11.1 毒理学影响的信息 急性毒性 半数致死剂量 (LD50) 腹膜内的 - 老鼠 - 150 mg/kg 皮肤刺激或腐蚀 无数据资料 眼睛刺激或腐蚀 无数据资料 呼吸道或皮肤过敏 无数据资料 生殖细胞突变性 无数据资料 致癌性 IARC: 此产品中没有大于或等于 0。1%含量的组分被 IARC鉴别为可能的或肯定的人类致癌物。 生殖毒性 无数据资料 特异性靶器官系统毒性(一次接触) 无数据资料 特异性靶器官系统毒性(反复接触) 无数据资料 吸入危险 无数据资料 潜在的健康影响 吸入吸入可能有害。 可能引起呼吸道刺激。 摄入如服入是有害的。 皮肤如果通过皮肤吸收可能是有害的。 可能引起皮肤刺激。 眼睛可能引起眼睛刺激。 接触后的征兆和症状 据我们所知,此化学,物理和毒性性质尚未经完整的研究。 附加说明 化学物质毒性作用登记: VI8090000 模块12. 生态学资料 12.1 生态毒性 无数据资料 12.2 持久存留性和降解性 无数据资料 12.3 潜在的生物蓄积性 无数据资料 12.4 土壤中的迁移性 无数据资料 12.5 PBT 和 vPvB的结果评价 无数据资料 12.6 其它不利的影响 无数据资料 模块13. 废弃处置 13.1 废物处理方法 产品 将剩余的和未回收的溶液交给处理公司。 受污染的容器和包装 作为未用过的产品弃置。 模块14. 运输信息 14.1 联合国危险货物编号 欧洲陆运危规: -国际海运危规: -国际空运危规: - 14.2 联合国(UN)规定的名称 欧洲陆运危规: 非危险货物 国际海运危规: 非危险货物 国际空运危规: 非危险货物 14.3 运输危险类别 欧洲陆运危规: -国际海运危规: -国际空运危规: - 14.4 包裹组 欧洲陆运危规: -国际海运危规: -国际空运危规: - 14.5 环境危险 欧洲陆运危规: 否国际海运危规 海运污染物: 否国际空运危规: 否 14.6 对使用者的特别提醒 无数据资料 模块 15 - 法规信息 N/A 模块16 - 其他信息 N/A |
原料简介
应用范围
毒性和生态
安全信息
| 个人防护装备 | Eyeshields;Gloves;type N95 (US);type P1 (EN143) respirator filter |
|---|---|
| 危害码 (欧洲) | Xi |
| 风险声明 (欧洲) | 36/37/38 |
| 安全声明 (欧洲) | S22-S24/25 |
| 危险品运输编码 | NONH for all modes of transport |
| WGK德国 | 3 |
| RTECS号 | VI8090000 |
| 海关编码 | 2934999090 |
是否危险品
危险性
危险类别码
危险等级
触发危险方式
安全技术说明书
环境影响程度
包装与储运
相关供应商

搜索








