丙二醇二月桂酸酯
产品名称
-
中文名丙二醇二月桂酸酯
-
英文名propylene glycol dilaurate
-
中文别名
-
英文别名
Propylene glycol dilaurate 2-dodecanoyloxypropyl dodecanoate -
常用名丙二醇二月桂酸酯
-
C A S号22788-19-8
物理性质
-
密度0.915 g/cm3
-
沸点504.7ºC at 760 mmHg
-
熔点N/A
-
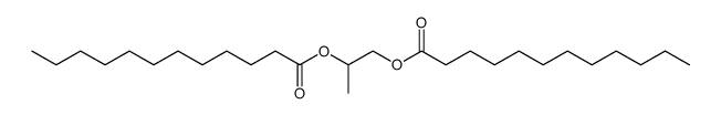
化学式C27H52O4
-
结构式
-
闪点235.8ºC
-
分子量440.69900
-
精确质量440.38700
-
P S A52.60000
-
外观形状
-
储存条件
-
稳定性
-
水溶解性
-
形态
-
H L B值
-
粘度
-
PH值
作用/用途
制备方法
安全提醒
MSDS
原料简介
应用范围
毒性和生态
安全信息
| 危险品运输编码 | NONH for all modes of transport |
|---|---|
| 海关编码 | 2915900090 |
是否危险品
危险性
危险类别码
危险等级
触发危险方式
安全技术说明书
环境影响程度
包装与储运
相关供应商







