甲羧除草醚
-
中文名甲羧除草醚
-
英文名Bifenox
-
中文别名茅毒 | 5-(2,4-二氯苯氧基)-2-硝基苯甲酸甲酯 | 治草醚
-
英文别名
2,4-dichlorophenyl 3'-methoxycarbonyl-4'-nitrophenyl ether Bifenox 5-(2,4-dichlorophenoxy)-2-nitrobenzoic acid methyl ester Caswell No. 561AA Benzoic acid,5-(2,4-dichlorophenoxy)-2-nitro-,methyl ester methyl 2-nitro-5-(2',4'-dichlorophenoxy)benzoate MFCD00055314 Methyl 5-(2,4-dichlorophenoxy)-2-nitrobenzoate Benzoic acid, 5-(2,4-dichlorophenoxy)-2-nitro-, methyl ester Modown EINECS 255-894-7 methyl 5-(2',4'-dichlorophenoxy)-2-nitrobenzoate 2,4-Dichlorophenyl 3-(Methoxycarbonyl)-4-nitrophenyl Ether Bifenox [ANSI:BSI:ISO] MC-4379 -
常用名甲羧除草醚
-
C A S号42576-02-3
-
密度1.5±0.1 g/cm3
-
沸点421.0±45.0 °C at 760 mmHg
-
熔点83 - 85ºC
-
化学式C14H9Cl2NO5
-
结构式
-
闪点208.4±28.7 °C
-
分子量342.131
-
精确质量340.985779
-
P S A81.35000
-
外观形状
-
储存条件
密封、阴凉、干燥保存
-
稳定性
-
水溶解性
-
形态黄色或浅褐色结晶。
-
H L B值
-
粘度
-
PH值
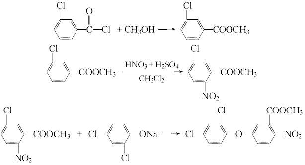
以苯甲酰氯、氯气、2,4-二氯苯酚为主要原料,进行下列反应而得。
1.间氯苯甲酰氯的制备 将苯甲酰氯281g、铁粉1.4g及硫黄0.56g投入反应瓶中。保持温度20℃,通氯氯化,约2.5h。然后通氮气赶除光气和反应生成的氯化氢气体而得。
2.间氯苯甲酸甲酯的制备 将甲醇慢慢地加入搅拌下的间氯苯甲酰氯中(酰氯:甲醇=1.0:1.1摩尔比)。在25-68℃之间行酯化反应,回流2-3h,反应过程中有大量氯化氢放出,回收过量的甲醇而得。3. 5-氯-2-硝基苯甲酸甲酯的制备 往反应瓶中加入853g间氯苯甲酸甲酯,和500g 1,2-二氯乙烷,冷却至-10℃,滴加338g 95%的发烟硝酸(5.1mol)和816g 96%硫酸(8mol)的混合酸,约3h滴完。在-10℃下搅拌反应2h,再升温至30℃搅拌反应3h。分出有机层,过滤,干燥而得。
4.甲酯除草醚的制备 将固体碳酸钾(97%)189g,加入搅拌下的2,4-二氯苯酚(97%)419g及960ml二甲基甲酰胺溶剂中,加热回流1h,伴有二氧化碳放出,约50%的二甲基甲酰胺蒸出之后,将5-氯-2-硝基苯甲酸甲酯(80%)638g加入搅拌下的95%的酚盐中。加完后,在100℃反应3h,脱溶后加甲醇使产品溶解,冷却,滤除氯化钾。滤液冷却结晶而得,熔点84-86℃。配制成10%颗粒剂,21%乳油,25%可湿性粉剂。
5.水解反应将772g三氯化苄、0.25g三氯化铁混合后,升温至120℃,再将75g水于一定时间内恒温滴加,滴毕继续搅拌30min,得苯甲酰氯633g,收率96%。6.氯化反应投入苯甲酰氯281g,铁粉1.4g,硫黄0.56g,于20℃通氯反应2.5h,赶走余氯和氯化氢气体,得间氯苯甲酰氯粗品,收率70%~80%。
7.酯化反应将甲醇滴加到间氯苯甲酰氯中,配比为1∶1(mol),于25~68℃范围内反应,反应过程有轻微放热现象,可以调节加料速度,控制反应温度,回流2~3h,反应过程有大量氯化氢逸出,过量的甲醇与残余氯化氢气体用真空排除,得无色间氯苯甲酸甲酯液体,收率98%~99%。
8.硝化反应将853g间氯苯甲酸甲酯(纯度94%)和500g1,2-二氯乙烷混合后,冷却至-10℃,再滴加338g 95%发烟硝酸和816g 96%的硫酸(混酸),约在3h内滴毕,将反应物在-10℃下搅拌2犺后,再在0~30℃搅拌3h,倾去有机层(1,2-二氯乙烷),过滤、干燥,得829g5-氯-2-硝基苯甲酸甲酯,收率76.9%。
9.缩合反应将固体碳酸钾1.61mol加入到2,4-二氯苯酚2.49mol及960mol DMF溶液中,升温回流1h,伴有二氧化碳气体逸出。把近1/2的犇犕犉(夹带生成的水)溶剂蒸出后,将5-氯-2-硝基苯甲酸甲酯2.37mol加入温度为95℃的酚盐溶液中。加毕于100℃反应3h,真空蒸出犇犕犉,加1000mL甲醇使粗品溶解,大约冷至65℃,滤出犓犆犾,母液冷冻结晶,得纯甲羧除草醚420g,收率50%。
10.制备方法二
|
甲羧除草醚MSDS英文版
|
| 符号 |
GHS09 |
|---|---|
| 信号词 | Warning |
| 危害声明 | H410 |
| 警示性声明 | P273-P501 |
| 个人防护装备 | Eyeshields;Gloves;type N95 (US);type P1 (EN143) respirator filter |
| 危害码 (欧洲) | N: Dangerous for the environment; |
| 风险声明 (欧洲) | 50/53 |
| 安全声明 (欧洲) | S60-S61 |
| 危险品运输编码 | UN 3077 9/PG 3 |
| RTECS号 | DG7890000 |
| 海关编码 | 2918990090 |

搜索







