氯烯炔菊酯
新颖拟除虫菊酯杀虫剂,具胃毒和触杀活性,并有一定的熏蒸作用。稳定性好,无残留,除防治卫生害虫外,亦可用于防治仓贮害虫。喷雾法防治家蝇,剂量为5.8~10mg/ m3;每片含药剂250mg的电热蚊香片加热至150℃,对淡色库蚊杀死率达80%~100%。当剂量为0.2mg时,对黑大毛皮囊幼虫的灭杀率达100%。
产品名称
-
中文名氯烯炔菊酯
-
英文名chlorempenthrin
-
中文别名炔戊氯菊酯 | 1-乙炔基-2-甲基戊-2-烯基(RS)-2,2-二甲基-3-(2,2-二氯乙烯基)环丙烷羧酸酯 | (1R,S)-顺,反-2,2-二甲基-3-(2,2-二氯乙烯基)环丙烷羧酸-1-乙炔基-2-甲基戊-2-烯基酯
-
英文别名
(5E)-5-Methyl-5-octen-1-yn-3-yl 3-(2,2-dichlorovinyl)-2,2-dimethylcyclopropanecarboxylate 1-ethynyl-2-methylpenten-2-yl-(1R,S)-cis,trns-2,2-dimethyl-3-(2,2-dichlorovinyl) cyclpropanecarboxylate Cyclopropanecarboxylic acid, 3-(2,2-dichloroethenyl)-2,2-dimethyl-, (3E)-1-ethynyl-3-methyl-3-hexen-1-yl ester (1RS,2EZ)-1-ethynyl-2-methylpent-2-enyl (1RS,3RS (1RS,2EZ)-1-ethynyl-2-methylpent-2-enyl (1RS)-cis-trans-3-(2,2-dichlorovinyl)-2,2-dimethylcyclopropanecarboxylate 1-ethynyl-2-methyl-2-penten-1-yl 3-(2,2-dichloroethenyl)-2,2-dimethylcyclopropanecarboxylate 8501c 1RS,3SR)-3-(2,2-dichlorovinyl)-2,2-dimethylcyclopropanecarboxylate 1-Ethynyl-2-methyl-2-penten-1-yl (1R,S)-cis,trans-2,2-dimethyl-3-(2,2-dichlorovinyl) cyclopropanecarboxylate (3Ξ,4E)-4-methylhept-4-en-1-yn-3-yl (1Ξ,3Ξ)-3-(2,2-dichloroethenyl)-2,2-dimethylcyclopropane-1-carboxylate -
常用名氯烯炔菊酯
-
C A S号54407-47-5
物理性质
-
密度1.2±0.1 g/cm3
-
沸点399.5±42.0 °C at 760 mmHg
-
熔点N/A
-
化学式C17H22Cl2O2
-
结构式
1、 摩尔折射率:89.51
2、 摩尔体积(cm3/mol):280.8
3、 等张比容(90.2K):722.1
4、 表面张力(dyne/cm):43.7
5、 极化率(10-24cm3):35.48
-
闪点136.8±26.9 °C
-
分子量329.261
-
精确质量328.099670
-
P S A26.30000
-
外观形状
-
储存条件
-
稳定性
-
水溶解性
-
形态
-
H L B值
-
粘度
-
PH值
作用/用途
新颖拟除虫菊酯杀虫剂,具胃毒和触杀活性,并有一定的熏蒸作用。稳定性好,无残留,除防治卫生害虫外,亦可用于防治仓贮害虫。喷雾法防治家蝇,剂量为5.8~10mg/ m3;每片含药剂250mg的电热蚊香片加热至150℃,对淡色库蚊杀死率达80%~100%。当剂量为0.2mg时,对黑大毛皮囊幼虫的灭杀率达100%。
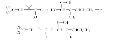
制备方法
3-羟基-4-甲基-4,5-烯基-1-庚炔由2-甲基-2-戊烯醛与乙炔钠反应制取。3-羟基-4-甲基-4,5-烯基-1-庚炔与二氯菊酰氯反应制得氯烯炔菊酯。
安全提醒
MSDS
原料简介
应用范围
毒性和生态
安全信息
| 海关编码 | 2916209023 |
|---|
是否危险品
危险性
危险类别码
危险等级
触发危险方式
安全技术说明书
环境影响程度
包装与储运
相关供应商

搜索






