双草醚
【用途一】
用于防治水稻田稗草等禾本科杂草和阔叶杂草,可在秧田、直播田、小苗移栽田和抛秧田使用
用于防治水稻田稗草等禾本科杂草和阔叶杂草,可在秧田、直播田、小苗移栽田和抛秧田使用
【用途二】
嘧啶水杨酸类除草剂,乙酰乳酸酶抑制剂,通过阴止支链氨基酸的生物合成而起作用,适用作物水稻。主要用于直播水稻的苗后除草,对1~7叶期稗草均有效,3~6叶期防效尤佳。对车前臂形草、芒稷、阿拉伯高梁、紫水苋、鸭跖草、瓜皮草、异型莎草、碎米莎草、大马唐、萤蔺、假马齿苋、粟米草也有良好防效。本品对大多数土壤和气候环境下效果稳定,可与其他农药混用。
【用途三】
双草醚是一种超高效、广谱、低毒的除草剂,主要用于防治水稻田稗草等禾本科杂草和阔叶杂草,可秧田、直播田、小苗移载田和抛秧田使用。
嘧啶水杨酸类除草剂,乙酰乳酸酶抑制剂,通过阴止支链氨基酸的生物合成而起作用,适用作物水稻。主要用于直播水稻的苗后除草,对1~7叶期稗草均有效,3~6叶期防效尤佳。对车前臂形草、芒稷、阿拉伯高梁、紫水苋、鸭跖草、瓜皮草、异型莎草、碎米莎草、大马唐、萤蔺、假马齿苋、粟米草也有良好防效。本品对大多数土壤和气候环境下效果稳定,可与其他农药混用。
【用途三】
双草醚是一种超高效、广谱、低毒的除草剂,主要用于防治水稻田稗草等禾本科杂草和阔叶杂草,可秧田、直播田、小苗移载田和抛秧田使用。
产品名称
-
中文名双草醚
-
英文名bispyribac-sodium
-
中文别名农美利,水杨酸双嘧啶,2,6-双(4,6-二甲氧嘧啶基-2-氧基)苯酸钠 | 安美利
-
英文别名
Benzoic acid, 2,6-bis[(4,6-dimethoxy-2-pyrimidinyl)oxy]-, sodium salt T6N CNJ DO1 FO1 BOR BVQ CO- BT6N CNJ DO1 FO1 &&Na salt Sodium 2,6-bis(4,6-dimethoxy-2-pyrimidinyloxy)benzoate MFCD02071313 bispyribac-sodium Sodium 2,6-bis[(4,6-dimethoxy-2-pyrimidinyl)oxy]benzoate 9106720 sodium,2,6-bis[(4,6-dimethoxypyrimidin-2-yl)oxy]benzoate Benzoic acid, 2,6-bis[(4,6-dimethoxy-2-pyrimidinyl)oxy]-, sodium salt (1:1) Sodium 2,6-bis[(4,6-dimethoxypyrimidin-2-yl)oxy]benzoate sodium 2,6-bis(4,6-dimethoxypyrimidin-2-yloxy)benzoate Sodium 2,6-bis((4,6-dimethoxypyrimidin-2-yl)oxy)benzoate -
常用名双草醚
-
C A S号125401-92-5
物理性质
-
密度1.379 g/cm3
-
沸点686.4ºC at 760 mmHg
-
熔点223-224°C
-
化学式C19H17N4NaO8
-
结构式
1、摩尔折射率:无可用的
2、摩尔体积(cm3/mol):无可用的
3、等张比容(90.2K):无可用的
4、表面张力(dyne/cm):无可用的
5、介电常数:无可用的
6、极化率(10-24cm3):无可用的
7、单一同位素质量:452.094409 Da
8、标称质量:452 Da
9、平均质量:452.35 Da
-
闪点368.9ºC
-
分子量452.350
-
精确质量452.094421
-
P S A147.07000
-
外观形状白色粉末
-
储存条件
密封、在 0-6 ºC下保存
-
稳定性
-
水溶解性
-
形态白色粉末状固体
-
H L B值
-
粘度
-
PH值
作用/用途
【用途一】
用于防治水稻田稗草等禾本科杂草和阔叶杂草,可在秧田、直播田、小苗移栽田和抛秧田使用
用于防治水稻田稗草等禾本科杂草和阔叶杂草,可在秧田、直播田、小苗移栽田和抛秧田使用
【用途二】
嘧啶水杨酸类除草剂,乙酰乳酸酶抑制剂,通过阴止支链氨基酸的生物合成而起作用,适用作物水稻。主要用于直播水稻的苗后除草,对1~7叶期稗草均有效,3~6叶期防效尤佳。对车前臂形草、芒稷、阿拉伯高梁、紫水苋、鸭跖草、瓜皮草、异型莎草、碎米莎草、大马唐、萤蔺、假马齿苋、粟米草也有良好防效。本品对大多数土壤和气候环境下效果稳定,可与其他农药混用。
【用途三】
双草醚是一种超高效、广谱、低毒的除草剂,主要用于防治水稻田稗草等禾本科杂草和阔叶杂草,可秧田、直播田、小苗移载田和抛秧田使用。
嘧啶水杨酸类除草剂,乙酰乳酸酶抑制剂,通过阴止支链氨基酸的生物合成而起作用,适用作物水稻。主要用于直播水稻的苗后除草,对1~7叶期稗草均有效,3~6叶期防效尤佳。对车前臂形草、芒稷、阿拉伯高梁、紫水苋、鸭跖草、瓜皮草、异型莎草、碎米莎草、大马唐、萤蔺、假马齿苋、粟米草也有良好防效。本品对大多数土壤和气候环境下效果稳定,可与其他农药混用。
【用途三】
双草醚是一种超高效、广谱、低毒的除草剂,主要用于防治水稻田稗草等禾本科杂草和阔叶杂草,可秧田、直播田、小苗移载田和抛秧田使用。
制备方法
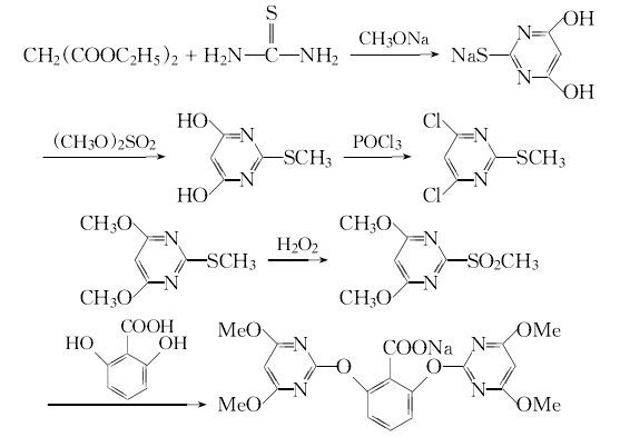
1、 以丙二酸二乙酯和硫脲为起始原料,在甲醇钠的存在下缩合生成4,6-二羟基-2-嘧啶硫酚钠,再经甲基化、氯化、甲氧基化和氧化等一系列反应制得4,6-二甲氧基-2-甲磺酰基嘧啶,最后将4,6-二甲氧基-2-甲磺酰基嘧啶与2,6-二羟基苯甲酸在碱性条件下反应而得双草醚。六步反应总收率为41%,含量95%。
双草醚也可采用2,6-二羟基苯甲酸与2-甲磺酰基-4,6-二甲氧基嘧啶反应制得。
但该法要求在无水条件下进行反应,应用易燃且难以贮存的危险品氢化钠和较贵的溶剂四氢呋喃,反应收率仅有28%。
安全提醒
MSDS
|
1.1 产品标识符
: 双草醚 产品名称 1.2 鉴别的其他方法 Sodium 2,6-bis(4,6-dimethoxy-2-pyrimidinyloxy)benzoate 1.3 有关的确定了的物质或混合物的用途和建议不适合的用途 仅供科研用途,不作为药物、家庭备用药或其它用途。
模块2. 危险性概述 2.1 GHS分类 急性毒性, 经口 (类别5) 急性毒性, 经皮 (类别5) 眼刺激 (类别2A) 2.2 GHS 标记要素,包括预防性的陈述 象形图 警示词警告 危险申明 H303吞咽可能有害。 H313接触皮肤可能有害。 H319造成严重眼刺激。 警告申明 预防 P264操作后彻底清洁皮肤。 P280穿戴防护手套/ 眼保护罩/ 面部保护罩。 措施 P305 + P351 + P338如与眼睛接触,用水缓慢温和地冲洗几分钟。如戴隐形眼镜并可方便地取 出,取出隐形眼镜,然后继续冲洗. P312如感觉不适,呼救中毒控制中心或医生. P337 + P313如仍觉眼睛刺激:求医/就诊。 如仍觉眼睛刺激:求医/就诊. 当心 - 物质尚未完全测试。 2.3 其它危害物 - 无 模块3. 成分/组成信息 3.1 物 质 : Sodium 2,6-bis(4,6-dimethoxy-2-pyrimidinyloxy)benzoate 别名 : C19H17N4NaO8 分子式 : 452.35 g/mol 分子量 组分浓度或浓度范围 Bispyribac-sodium - CAS 号125401-92-5 模块4. 急救措施 4.1 必要的急救措施描述 一般的建议 请教医生。 出示此安全技术说明书给到现场的医生看。 吸入 如果吸入,请将患者移到新鲜空气处。 如果停止了呼吸,给于人工呼吸。 请教医生。 皮肤接触 用肥皂和大量的水冲洗。 请教医生。 眼睛接触 用大量水彻底冲洗至少15分钟并请教医生。 食入 切勿给失去知觉者从嘴里喂食任何东西。 用水漱口。 请教医生。 4.2 主要症状和影响,急性和迟发效应 据我们所知,此化学,物理和毒性性质尚未经完整的研究。 4.3 及时的医疗处理和所需的特殊处理的说明和指示 无数据资料 模块5. 消防措施 5.1 灭火介质 灭火方法及灭火剂 用水雾,耐醇泡沫,干粉或二氧化碳灭火。 5.2 源于此物质或混合物的特别的危害 碳氧化物, 氮氧化物 产品分解后性质不明 碳氧化物, 氮氧化物, 钠的氧化物 5.3 给消防员的建议 如必要的话,戴自给式呼吸器去救火。 5.4 进一步信息 无数据资料 模块6. 泄露应急处理 6.1 人员的预防,防护设备和紧急处理程序 使用个人防护设备。 防止粉尘的生成。 防止吸入蒸汽、气雾或气体。 保证充分的通风。 避免吸入粉尘。 6.2 环境保护措施 不要让产物进入下水道。 6.3 抑制和清除溢出物的方法和材料 收集、处理泄漏物,不要产生灰尘。 扫掉和铲掉。 存放进适当的闭口容器中待处理。 6.4 参考其他部分 丢弃处理请参阅第13节。 模块7. 操作处置与储存 7.1 安全操作的注意事项 避免接触皮肤和眼睛。 防止粉尘和气溶胶生成。 在有粉尘生成的地方,提供合适的排风设备。一般性的防火保护措施。 7.2 安全储存的条件,包括任何不兼容性 贮存在阴凉处。 容器保持紧闭,储存在干燥通风处。 7.3 特定用途 无数据资料 模块8. 接触控制和个体防护 8.1 容许浓度 最高容许浓度 没有已知的国家规定的暴露极限。 8.2 暴露控制 适当的技术控制 按照良好工业和安全规范操作。 休息前和工作结束时洗手。 个体防护设备 眼/面保护 带有防护边罩的安全眼镜符合 EN166要求请使用经官方标准如NIOSH (美国) 或 EN 166(欧盟) 检测与批准的设备防护眼部。 皮肤保护 戴手套取 手套在使用前必须受检查。 请使用合适的方法脱除手套(不要接触手套外部表面),避免任何皮肤部位接触此产品. 使用后请将被污染过的手套根据相关法律法规和有效的实验室规章程序谨慎处理. 请清洗并吹干双手 所选择的保护手套必须符合EU的89/686/EEC规定和从它衍生出来的EN 376标准。 身体保护 防渗透的衣服, 防护设备的类型必须根据特定工作场所中的危险物的浓度和含量来选择。 呼吸系统防护 如须暴露于有害环境中,请使用P95型(美国)或P1型(欧盟 英国 143)防微粒呼吸器。如需更高级别防护,请使用OV/AG/P99型(美国)或ABEK-P2型 (欧盟 英国 143) 防毒罐。 呼吸器使用经过测试并通过政府标准如NIOSH(US)或CEN(EU)的呼吸器和零件。 模块9. 理化特性 9.1 基本的理化特性的信息 a) 外观与性状 形状: 粉末 颜色: 白色 b) 气味 无数据资料 c) 气味阈值 无数据资料 d) pH值 无数据资料 e) 熔点/凝固点 223 - 224 °C f) 起始沸点和沸程 无数据资料 g) 闪点 无数据资料 h) 蒸发速率 无数据资料 i) 易燃性(固体,气体) 无数据资料 j) 高的/低的燃烧性或爆炸性限度 无数据资料 k) 蒸汽压 无数据资料 l) 蒸汽密度 无数据资料 m) 相对密度 无数据资料 n) 水溶性 73.3 g/l 在 25 °C o) n-辛醇/水分配系数 辛醇--水的分配系数的对数值: -1.03 p) 自燃温度 无数据资料 q) 分解温度 无数据资料 r) 粘度 无数据资料 模块10. 稳定性和反应活性 10.1 反应性 无数据资料 10.2 稳定性 无数据资料 10.3 危险反应的可能性 无数据资料 10.4 应避免的条件 无数据资料 10.5 不兼容的材料 强氧化剂 10.6 危险的分解产物 其它分解产物 - 无数据资料 模块11. 毒理学资料 11.1 毒理学影响的信息 急性毒性 半数致死剂量 (LD50) 经口 - 大鼠 - 2,635 mg/kg 半数致死剂量 (LD50) 经皮 - 大鼠 - > 2,000 mg/kg 皮肤刺激或腐蚀 皮肤 - 兔子 - 无皮肤刺激 眼睛刺激或腐蚀 眼睛 - 兔子 - 轻度的眼睛刺激 - Draize试验 呼吸道或皮肤过敏 无数据资料 生殖细胞突变性 无数据资料 致癌性 IARC: 此产品中没有大于或等于 0。1%含量的组分被 IARC鉴别为可能的或肯定的人类致癌物。 生殖毒性 无数据资料 特异性靶器官系统毒性(一次接触) 无数据资料 特异性靶器官系统毒性(反复接触) 无数据资料 吸入危险 无数据资料 潜在的健康影响 吸入吸入可能有害。 可能引起呼吸道刺激。 摄入如服入是有害的。 皮肤如果通过皮肤吸收可能是有害的。 可能引起皮肤刺激。 眼睛造成严重眼刺激。 接触后的征兆和症状 据我们所知,此化学,物理和毒性性质尚未经完整的研究。 附加说明 化学物质毒性作用登记: DG4436200 模块12. 生态学资料 12.1 生态毒性 无数据资料 12.2 持久存留性和降解性 无数据资料 12.3 潜在的生物蓄积性 无数据资料 12.4 土壤中的迁移性 无数据资料 12.5 PBT 和 vPvB的结果评价 无数据资料 12.6 其它不利的影响 无数据资料 模块13. 废弃处置 13.1 废物处理方法 产品 将剩余的和未回收的溶液交给处理公司。 联系专业的拥有废弃物处理执照的机构来处理此物质。 与易燃溶剂相溶或者相混合,在备有燃烧后处理和洗刷作用的化学焚化炉中燃烧 受污染的容器和包装 作为未用过的产品弃置。 模块14. 运输信息 14.1 联合国危险货物编号 欧洲陆运危规: -国际海运危规: -国际空运危规: - 14.2 联合国(UN)规定的名称 欧洲陆运危规: 非危险货物 国际海运危规: 非危险货物 国际空运危规: 非危险货物 14.3 运输危险类别 欧洲陆运危规: -国际海运危规: -国际空运危规: - 14.4 包裹组 欧洲陆运危规: -国际海运危规: -国际空运危规: - 14.5 环境危险 欧洲陆运危规: 否国际海运危规 海运污染物: 否国际空运危规: 否 14.6 对使用者的特别提醒 无数据资料 模块 15 - 法规信息 N/A 模块16 - 其他信息 N/A |
原料简介
应用范围
毒性和生态
安全信息
| 符号 |
GHS07 |
|---|---|
| 信号词 | Warning |
| 危害声明 | H319 |
| 警示性声明 | P305 + P351 + P338 |
| 个人防护装备 | dust mask type N95 (US);Eyeshields;Gloves |
| 危害码 (欧洲) | Xi |
| 风险声明 (欧洲) | R36/37/38:Irritating to eyes, respiratory system and skin . |
| 安全声明 (欧洲) | S26-S36 |
| 危险品运输编码 | NONH for all modes of transport |
| RTECS号 | DG4436200 |
是否危险品
危险性
危险类别码
危险等级
触发危险方式
安全技术说明书
环境影响程度
包装与储运
相关供应商

搜索








