吡氟氯禾灵
Haloxyfop 是一种芳氯氧苯氧丙酸除草剂 (herbicide),广泛应用于阔叶作物的野草。Haloxyfop 对玉米幼苗叶绿体中乙酰辅酶 A 羧化酶 (EC 6.4.1.2) 的抑制作的 IC50 为 0.5 μM,而对豌豆中该酶无影响。
产品名称
-
中文名氟吡禾灵
-
英文名haloxyfop
-
中文别名氟吡甲禾灵 | 吡氟氯禾灵 | (RS)-2-[4(3-氯-5-三氟甲基-2-吡啶氧基)苯氧基]丙酸 | 盖草能(酸) | 氟唑磺隆
-
英文别名
2-(4-((3-chloro-5-(trifluoromethyl)-2-pyridinyl)oxy)phenoxy)propanoic acid Propanoic acid, 2-[4-[[3-chloro-5-(trifluoromethyl)-2-pyridinyl]oxy]phenoxy]- 2-[4-[[3-chloro-5-(trifluoromethyl)-2-pyridinyl]oxy]phenoxy]propanoic acid Haloxyfop (free acid) 2-(4-{[3-Chloro-5-(trifluoromethyl)-2-pyridinyl]oxy}phenoxy)propanoic acid 2-[4-[3-chloro-5-(trifluoromethyl)pyridin-2-yl]oxyphenoxy]propanoic acid Propanoic acid,2-4-3-chloro-5-(trifluoromethyl)-2-pyridinyloxyphenoxy 2-<4-(3-chloro-5-trifluoromethyl-2-pyridinyloxy)phenoxy>propionic acid (RS)-Haloxyfop rac-(2R)-2-(4-{[3-chloro-5-(trifluoromethyl)pyridin-2-yl]oxy}phenoxy)propanoic acid 2-[4-[3-chloro-5-(tr HALOXYFOP PESTANAL Halossifop T6NJ BOR DOY1&VQ& CG EXFFF Haloxyfop acid MFCD00871401 2-(4-((3-chloro-5-(trifluoromethyl)-pyridin-2-yl)oxy)phenoxy)propionic acid (RS)-2-{4-[3-chloro-5-(trifluoromethyl)-2-pyridyloxy]phenoxy}propionic acid haloxyfop 2-[4-(3-chloro-5-trifluoromethyl-2-pyridyloxy)phenoxy]propionic acid 2-(4-{[3-Chloro-5-(trifluoromethyl)pyridin-2-yl]oxy}phenoxy)propanoic acid DOWCO453 2-(4-((3-Chloro-5-(trifluoromethyl)pyridin-2-yl)oxy)phenoxy)propanoic acid -
常用名吡氟氯禾灵
-
C A S号69806-34-4
物理性质
-
密度1.4±0.1 g/cm3
-
沸点420.3±45.0 °C at 760 mmHg
-
熔点N/A
-
化学式C15H11ClF3NO4
-
结构式
1、 摩尔折射率:78.13
2、 摩尔体积(cm3/mol):250.7
3、 等张比容(90.2K):641.0
4、 表面张力(dyne/cm):42.7
5、 极化率(10-24cm3):30.97
-
闪点208.0±28.7 °C
-
分子量361.700
-
精确质量361.032867
-
P S A68.65000
-
外观形状
-
储存条件
存放在密封容器内,并放在阴凉,干燥处。储存的地方必须远离氧化剂。
-
稳定性
-
水溶解性
-
形态无色结晶。
-
H L B值
-
粘度
-
PH值
作用/用途
Haloxyfop 是一种芳氯氧苯氧丙酸除草剂 (herbicide),广泛应用于阔叶作物的野草。Haloxyfop 对玉米幼苗叶绿体中乙酰辅酶 A 羧化酶 (EC 6.4.1.2) 的抑制作的 IC50 为 0.5 μM,而对豌豆中该酶无影响。
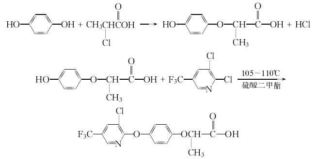
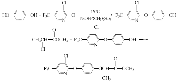
制备方法
由4-(3-氯-5-三氟甲基吡啶-2-基氧基)苯酚与2-氯代丙酸甲酯在碱性条件下反应生成。
制备方法一
制备方法二
安全提醒
MSDS
原料简介
应用范围
毒性和生态
安全信息
| 个人防护装备 | Eyeshields;Gloves;type N95 (US);type P1 (EN143) respirator filter |
|---|---|
| 危险品运输编码 | NONH for all modes of transport |
| RTECS号 | UA2458284 |
是否危险品
危险性
危险类别码
危险等级
触发危险方式
安全技术说明书
环境影响程度
包装与储运
相关供应商

搜索








