苯酮唑
三唑酰胺类除草剂。是一种苗前和苗后使用的除草剂.可防除稻田大多数一年生与多年生阔叶杂草,如稗草、鸭舌草、异型莎草、萤蔺、瓜皮草等,对稗草有特效。对移栽水稻安全.持效期超过40d,使用剂量为50~300g(a.i.)/ha。
有以下特点:
①可同时防除其他多年生和一年生杂草;
②持效期长达40d;
③对芽前到三叶期杂草均有效;
④对稗草有卓效,在200~300g/hm2剂量下,对水稻有很高选择性;
⑤可单独使用或与其他作草剂混用。以10g有效成分/hm2剂量,对稗草、异型莎草具有很高活性,对移栽水稻无药害。以500~100g有效成分/hm2剂量可有效防除鸭舌草、萤蔺和一年生阔叶杂草。以300g有效成分/hm2剂量可有效地防治芽前到2.5叶期稗草、异型莎草,而对移栽水稻无药害。
-
中文名唑草胺
-
英文名cafenstrole
-
中文别名N,N-二乙基-3-均三甲基苯磺酰基-1H-1,2,4-三唑-1-甲酰胺 | 苯酮唑
-
英文别名
3-(2,4,6-trimethyl-benzenesulfonyl)-[1,2,4]triazole-1-carboxylic acid diethylamide N,N-diethyl-3-[(2,4,6-trimethylphenyl)sulfonyl]-1H-1,2,4-triazole-1-carboxamide N,N-diethyl-3-(2,4,6-trimethylphenyl)sulfonyl-1,2,4-triazole-1-carboxamide N,N-diethyl-3-(2,4,6-trimethylphenylsulphonyl)-1H-1,2,4-triazole-1-carboxamide zuocaoan Cafenstrole [ISO] Cafenstrole N,N-Diethyl-3-mesitylsulfonyl-1H-1,2,4-triazole-1-carboxamide N,N-diethyl-3-(2,4,6-trimethylbenzene-1-sulfonyl)-1H-1,2,4-triazole-1-carboxamide 3-(2,4,6-trimethylphenyl)sulfonyl-1-diethylcarbamoyl-1H-1,2,4-triazole N,N-diethyl-3-mesitylsulfonyl-1H-1,2,4-triazole-1-carboxamide 1-(diethylcarbamoyl)-3-(2,4,6-trimethylphenylsulfonyl)-1,2,4-triazole -
常用名苯酮唑
-
C A S号125306-83-4
-
密度1.26g/cm3
-
沸点525.4ºC at 760mmHg
-
熔点115ºC
-
化学式C16H22N4O3S
-
结构式
1、摩尔折射率:94.88
2、摩尔体积(cm3/mol):277.3
3、等张比容(90.2K):719.5
4、表面张力(dyne/cm):45.2
5、介电常数:无可用的
6、极化率(10-24cm3):37.61
7、单一同位素质量:350.141261 Da
8、标称质量:350 Da
9、平均质量:350.4359 Da
-
闪点271.5ºC
-
分子量350.43600
-
精确质量350.14100
-
P S A93.54000
-
外观形状
-
储存条件
密封、在 0-6 ºC下保存
-
稳定性
-
水溶解性
-
形态白色晶体
-
H L B值
-
粘度
-
PH值
三唑酰胺类除草剂。是一种苗前和苗后使用的除草剂.可防除稻田大多数一年生与多年生阔叶杂草,如稗草、鸭舌草、异型莎草、萤蔺、瓜皮草等,对稗草有特效。对移栽水稻安全.持效期超过40d,使用剂量为50~300g(a.i.)/ha。
有以下特点:
①可同时防除其他多年生和一年生杂草;
②持效期长达40d;
③对芽前到三叶期杂草均有效;
④对稗草有卓效,在200~300g/hm2剂量下,对水稻有很高选择性;
⑤可单独使用或与其他作草剂混用。以10g有效成分/hm2剂量,对稗草、异型莎草具有很高活性,对移栽水稻无药害。以500~100g有效成分/hm2剂量可有效防除鸭舌草、萤蔺和一年生阔叶杂草。以300g有效成分/hm2剂量可有效地防治芽前到2.5叶期稗草、异型莎草,而对移栽水稻无药害。
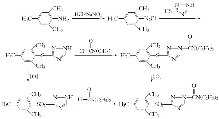
1、三唑硫醇钾盐的制备 将等摩尔的甲酰胺缓慢滴加到氨基硫脲的四氢呋喃悬浮液中,加入少量催化剂,升温至回流,搅拌反应1h,冷却至室温,加少量水,析出白色沉淀,将固体转移到另一反应瓶中,加入水及适量的KOH(放热)。冷却到5℃以下,可直接用于一下步合成。
2、 3-(2,4,6-三甲基苯基硫基)-1,2,4-三唑的制备 将水、2,4,6-三甲基苯胺以及适量的浓盐酸混合后,冷却至0℃以下,加入NaNO2的水溶液,加毕搅拌30min,在5℃以下将此重氮盐溶液加入到1,2,4-三唑硫醇钾盐溶液中,搅拌1h,升温至室温,停止反应,加水,过滤得红黄色絮状物,产率70%。所得化合物可直接用于下步反应。m.p.188℃(文献值186~187℃)。
3、 3-(2,4,5-三甲基苯基磺酰基)-1,2,4-三唑的制备 将3-(2,4,6-三甲基苯基硫基)-1,2,4-三唑以及一定量的醋酸混合物,升温至120℃,加入H2O2溶液。在120℃下搅拌6h。冷却至室温,析出白色晶体,过滤得成品,m.p.229℃(文献值229~230℃),产率77%。
苯酮唑的合成 将3-(2,4,6-三甲基苯基磺酰基)-1,2,4-三唑和二乙基氨基甲酰氯的四氢呋喃溶液混合后,加入少量无水碳酸钾,回流5h,反应结束后加入少量水,静置冷却至室温得白色沉淀。用乙酸乙酯进行重结晶,得白色晶体,得率81%,m.p.114℃(文献值114~115℃)。
据文献报道,国外苯酮唑的合成遵循下列路线。
| 危险品运输编码 | NONH for all modes of transport |
|---|---|
| 海关编码 | 2933990017 |

搜索







