代森锌
【用途一】
叶面用保护性杀菌剂,主要用于防治麦类、蔬菜、葡萄、果树和烟草等作物的多种真菌病害
叶面用保护性杀菌剂,主要用于防治麦类、蔬菜、葡萄、果树和烟草等作物的多种真菌病害
【用途二】
属叶面保护性杀菌剂,主要用于防治麦类、蔬菜、葡萄、果树和烟草等作物的多种真菌病害
【用途三】
广谱性、保护性杀菌剂。可用于防治水稻、麦类、蔬菜、葡萄、果树、烟草等作物的多种病害,如麦类锈病、玉米大斑病、茶赤星病、烟草立枯病、炭疽病、野大病、花生褐斑病、马铃薯疫病、疮痂病、黑痣病以及苹果、梨、桃、柑橘、葡萄、蔬菜等多种病害。一般用80%可湿性粉剂500~800倍液喷雾。
【用途四】
该品为叶面保护性杀菌剂。主要用于防治麦类、蔬菜、葡萄、果树和烟草等作物的多种直菌病害。
属叶面保护性杀菌剂,主要用于防治麦类、蔬菜、葡萄、果树和烟草等作物的多种真菌病害
【用途三】
广谱性、保护性杀菌剂。可用于防治水稻、麦类、蔬菜、葡萄、果树、烟草等作物的多种病害,如麦类锈病、玉米大斑病、茶赤星病、烟草立枯病、炭疽病、野大病、花生褐斑病、马铃薯疫病、疮痂病、黑痣病以及苹果、梨、桃、柑橘、葡萄、蔬菜等多种病害。一般用80%可湿性粉剂500~800倍液喷雾。
【用途四】
该品为叶面保护性杀菌剂。主要用于防治麦类、蔬菜、葡萄、果树和烟草等作物的多种直菌病害。
产品名称
-
中文名代森锌
-
英文名Zineb
-
中文别名培金 | 2-(4-氯苯基)苯基乙酰基)-1H-茚-1,3(2H)-二酮 | 乙撑双二硫代氨基甲酸锌 | 氯鼠酮 | 亚乙基双(二硫代氨基甲酸)锌 | 1,2-亚乙基两个氨荒酸锌
-
英文别名
cineb Tritoftorol Zinc ethane-1,2-diyldicarbamodithioate MFCD00067266 kypzin dipher zidan EINECS 235-180-1 carbamodithioic acid, 1,2-ethanediylbis-, zinc salt (1:1) aspor Zinc-ethylenebis(dithiocarbamate) zinc ethane-1,2-diylbis(dithiocarbamate) Carbamodithioic acid, N,N'-1,2-ethanediylbis-, zinc salt (1:1) zinc ethylene-bis-dithiocarbamate Zinc 1,2-ethanediyldicarbamodithioate discon ZEB Metiram-zinc Zink-1,2-ethandiylbis(dithiocarbamat) Zineb funjeb Zinkethan-1,2-diylbis(dithiocarbamat) daisen -
常用名代森锌
-
C A S号12122-67-7
物理性质
-
密度N/A
-
沸点308.2ºC at 760mmHg
-
熔点157ºC (decomposes)
-
化学式C4H6N2S4Zn
-
结构式
1、摩尔折射率:无可用的
2、摩尔体积(cm3/mol):无可用的
3、等张比容(90.2K):无可用的
4、表面张力(dyne/cm):无可用的
5、介电常数:无可用的
6、极化率(10-24cm3):无可用的
7、单一同位素质量:273.870524 Da
8、标称质量:274 Da
9、平均质量:275.7728 Da
-
闪点140.2ºC
-
分子量275.773
-
精确质量273.870514
-
P S A88.24000
-
外观形状一种灰白色粉末
-
储存条件
储存注意事项储存于阴凉、通风的库房。远离火种、热源。避免光照。包装要求密封,不可与空气接触。应与氧化剂、酸类、碱类等分开存放,切忌混储。配备相应品种和数量的消防器材。储区应备有合适的材料收容泄漏物。
-
稳定性
-
水溶解性
-
形态
-
H L B值
-
粘度
-
PH值
作用/用途
【用途一】
叶面用保护性杀菌剂,主要用于防治麦类、蔬菜、葡萄、果树和烟草等作物的多种真菌病害
叶面用保护性杀菌剂,主要用于防治麦类、蔬菜、葡萄、果树和烟草等作物的多种真菌病害
【用途二】
属叶面保护性杀菌剂,主要用于防治麦类、蔬菜、葡萄、果树和烟草等作物的多种真菌病害
【用途三】
广谱性、保护性杀菌剂。可用于防治水稻、麦类、蔬菜、葡萄、果树、烟草等作物的多种病害,如麦类锈病、玉米大斑病、茶赤星病、烟草立枯病、炭疽病、野大病、花生褐斑病、马铃薯疫病、疮痂病、黑痣病以及苹果、梨、桃、柑橘、葡萄、蔬菜等多种病害。一般用80%可湿性粉剂500~800倍液喷雾。
【用途四】
该品为叶面保护性杀菌剂。主要用于防治麦类、蔬菜、葡萄、果树和烟草等作物的多种直菌病害。
属叶面保护性杀菌剂,主要用于防治麦类、蔬菜、葡萄、果树和烟草等作物的多种真菌病害
【用途三】
广谱性、保护性杀菌剂。可用于防治水稻、麦类、蔬菜、葡萄、果树、烟草等作物的多种病害,如麦类锈病、玉米大斑病、茶赤星病、烟草立枯病、炭疽病、野大病、花生褐斑病、马铃薯疫病、疮痂病、黑痣病以及苹果、梨、桃、柑橘、葡萄、蔬菜等多种病害。一般用80%可湿性粉剂500~800倍液喷雾。
【用途四】
该品为叶面保护性杀菌剂。主要用于防治麦类、蔬菜、葡萄、果树和烟草等作物的多种直菌病害。
制备方法
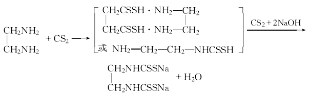
1.先合成代森钠。可以采用一步法或两步法。两步法有利于控制副产物三硫代碳酸钠的生成,质量好,收率也高。反应温度控制在<35℃,二硫化碳的滴加速度由反应温度而定。分批加入氢氧化钠溶液,加碱温度控制在35℃左右,每批都控制pH≤9。
将5%硫酸溶液缓慢地滴加到上述代森钠水溶液中,中和过量的氢氧化钠和分解副产物三硫代碳酸钠,至pH值6~7,并排除硫代氢气体。将已中和的代森钠水溶液升温加热至40~45℃,在搅拌下加入硫酸锌水溶液,搅拌30min,离心分离,清水洗涤,于93kPa下于50~60℃烘干,得代森锌。
2.由乙二胺、二硫化碳和氢氧化钠在30~35℃下反应生成代森钠,再与氯化锌或硫酸锌反应生成产品。
安全提醒
MSDS
2.对环境的影响 一、健康危害 侵入途径:吸入、食入。 健康危害:中毒主要影响中枢神经系统,对肝、肾有一定的损害。对皮肤和粘膜有刺激作用,可引起皮肤过敏。长期接触可能有引起甲状腺肿作用。 二、毒理学资料及环境行为 急性毒性:LD
50>5200mg/kg(大鼠经口);LC
501850mg/m
3(大鼠吸入);人经口5~g/kg(估计量)致死
其降解产物乙撑硫脲可引起试验鼠甲状腺肿大。 代森锌是有机硫杀菌剂,属低毒性。在1987~1988年,我们对不同厂家的制剂,在贮存过程中降解生成乙撑硫脲的变化,进行研究。结果表明,4种样品经16个月贮存,不论在开口或封口条件下,乙撑硫脲含量均随时间延长而增加。在贮存1个月后,乙撑硫脲含量就达到或超过允许标准。此外,乙撑硫脲不但易被植物吸收,输送到植物各部位,而且在土壤中淋溶程度也大。乙撑硫脲是一种潜在致甲状腺肿、致畸、致突变和在高剂量下致癌的化合物。 危险特性:遇明火、高热可燃。受热分解,放出氮、硫的氧化物等毒性气体。 燃烧(分解)产物:一氧化碳、二氧化碳、氮氧化物、硫化物、氧化锌。 3.现场应急监测方法4.实验室监测方法气相色谱法(蘑菇罐头)《农药残留量气相色谱法》国家商检局编 5.环境标准
6.应急处理处置方法 一、泄漏应急处理 切断火源。戴好防毒面具和手套。避免扬尘,小心扫起,置于袋中转移至安全场所。如大量泄漏,收集回收或载害处理后废弃。 二、防护措施 呼吸系统防护:高浓度环境中,建议佩戴供气式呼吸器。 眼睛防护:可采用安全面罩。 防护服:穿工作服。 手防护:必要时戴防护手套。 其它:注意个人清洁卫生。 三、急救措施 皮肤接触:脱去污染的衣着,用大量流动清水彻底冲洗。 眼睛接触:立即翻开上下眼睑,用流动清水或生理盐水冲洗。就医。 吸入:迅速脱离现场至空气新鲜处。保持呼吸道通畅。呼吸困难时给输氧。呼吸停止时,立即进行人工呼吸。就医。 食入:误服者给饮足量温水,催吐,就医。 灭火方法:泡沫、二氧化碳、干粉、砂土。 |
原料简介
应用范围
毒性和生态
安全信息
| 符号 |
GHS07 |
|---|---|
| 信号词 | Warning |
| 危害声明 | H317-H335 |
| 警示性声明 | P261-P280 |
| 个人防护装备 | dust mask type N95 (US);Eyeshields;Faceshields;Gloves |
| 危害码 (欧洲) | Xi:Irritant |
| 风险声明 (欧洲) | R37;R43 |
| 安全声明 (欧洲) | S8-S24/25-S46 |
| 危险品运输编码 | UN 3077 9 / PGIII |
| RTECS号 | ZH3325000 |
| 包装等级 | I; II; III |
| 危险类别 | 6.1 |
| 海关编码 | 2930909055 |
是否危险品
危险性
危险类别码
危险等级
触发危险方式
安全技术说明书
环境影响程度
包装与储运
相关供应商

搜索








