氯醚菊酯
本品是广谱性拟除虫菊酯类杀虫剂。用于防治棉铃虫、烟草夜蛾、棉红铃虫、棉叶波纹夜蛾、粉纹夜蛾、亚热带黏虫、棉大卷叶螟、蚜虫、豆荚盲蝽、温室粉虱、墨西哥棉铃象甲等,用量0.9~2g/100m2;用于防治小菜蛾、一星黏虫、夜蛾、桃蚜等蔬菜害虫,用量0.98~2g/100m2;用于防治玉米螟、大螟、玉米蚜虫,用量0.75~1.5g/100m2。此外不可用于防治烟草、大豆、马铃薯、水稻、果树上的多种害虫。对螨类也有一定杀灭能力。
产品名称
-
中文名氯醚菊酯
-
英文名ethopermethrin,
-
中文别名
-
英文别名
3-Phenoxybenzyl 2-(4-chlorophenyl)-2-methylpropyl ether 1-((2-(4-Chlorophenyl)-2-methylpropoxy)methyl)-3-phenoxybenzene Benzene,1-((2-(4-chlorophenyl)-2-methylpropoxy)methyl)-3-phenoxy Ethopermethrin -
常用名氯醚菊酯
-
C A S号80844-01-5
物理性质
-
密度1.138g/cm3
-
沸点458ºC at 760 mmHg
-
熔点N/A
-
化学式C23H23ClO2
-
结构式
-
闪点129.3ºC
-
分子量366.88100
-
精确质量366.13900
-
P S A18.46000
-
外观形状
-
储存条件
-
稳定性
-
水溶解性
-
形态
-
H L B值
-
粘度
-
PH值
作用/用途
本品是广谱性拟除虫菊酯类杀虫剂。用于防治棉铃虫、烟草夜蛾、棉红铃虫、棉叶波纹夜蛾、粉纹夜蛾、亚热带黏虫、棉大卷叶螟、蚜虫、豆荚盲蝽、温室粉虱、墨西哥棉铃象甲等,用量0.9~2g/100m2;用于防治小菜蛾、一星黏虫、夜蛾、桃蚜等蔬菜害虫,用量0.98~2g/100m2;用于防治玉米螟、大螟、玉米蚜虫,用量0.75~1.5g/100m2。此外不可用于防治烟草、大豆、马铃薯、水稻、果树上的多种害虫。对螨类也有一定杀灭能力。
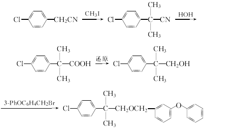
制备方法
一、制备方法一
(1)叔丁基氯的制备:叔丁醇与盐酸作用,混合摇匀20min制得。
(2)2-(4-氯苯基)-2-甲基丙烷的制备 在氯苯和无水三氯化铁混合液中,通入干燥的氯化氢,在30℃下滴加叔丁基氯,滴毕继续反应2h。
(3)2-(4-氯苯基)-2-氯甲基丙烷的制备:将上步产物在催化剂过氧化苯甲酰存在下与氯化亚硫酰于100℃反应2h。
(4)本品的合成:将上步产物与间苯氧基苯甲醇、氢氧化钠,在溶剂中通氮气,于120℃搅拌反应8h。
二、制备方法二
三、制备方法三
安全提醒
MSDS
原料简介
应用范围
毒性和生态
安全信息
| 海关编码 | 2909309090 |
|---|
是否危险品
危险性
危险类别码
危险等级
触发危险方式
安全技术说明书
环境影响程度
包装与储运
相关供应商

搜索








