鼠立死
1.鼠立死是德国拜耳公司四十年代未开发和推广应用的杀鼠剂,具有灭鼠谱广、使用浓度低的特点,鼠立死的空出优点是蓄积毒性微弱,不易发生二次中毒,有高效解毒剂、低浓度毒饵的接受性能,杀鼠效果与被禁用的氟乙酰胺相当,是一种理想的急性杀鼠剂。张家口市化工所已进行中试,并通过省级鉴定。 2.高效、剧毒、急性杀鼠剂。中毒症状为典型的神经性毒剂症状,首先表现兴奋不安,继之强直性痉挛、惊厥,其选择性毒力认为是进入机体后,被代谢产生维生素B6的拮抗剂,作为一种酶抑制剂,破坏了谷氨酸脱羧代谢所致。本品灭鼠靶谱广,作用迅速,对家栖鼠和野栖鼠均有良好灭效。
产品名称
-
中文名鼠立死
-
英文名Crimidine
-
中文别名杀鼠嘧啶 | 2-氯-4-二甲胺基-6-甲基嘧啶 | 6-甲基-4-(二甲氨基)-2-氯嘧啶 | 杀鼠嘧啶:甲基鼠灭定
-
英文别名
2-chloro-N,N,6-trimethylpyrimidin-4-amine Crimidin 2-Chloro-4-(dimethylamino)-6-methylpyrimidine Crimidina [Italian] 2-Chloro-4-dimethylamino-6-methylpyrimidine Crimidine Crimidine [ISO:BSI] MFCD00055517 Caswell No. 188 2-chloro-4-dimethylamino-6-methyl-pyrimidine 4-Pyrimidinamine, 2-chloro-N,N,6-trimethyl- Castrix EINECS 208-622-6 Crimidin [German] 2-dimethylamino-4-chloro-6-methylpyrimidine (2-Chlor-6-methyl-pyrimidin-4-yl)-dimethyl-amin 2-Chlor-N,N,6-trimethylpyrimidin-4-amin 2-Chloro-N,N,6-trimethyl-4-pyrimidinamine Crimidina T6N CNJ BG DN1&1 F1 (2-chloro-6-methyl-pyrimidin-4-yl)-dimethyl-amine -
常用名鼠立死
-
C A S号535-89-7
物理性质
-
密度1.2±0.1 g/cm3
-
沸点291.2±20.0 °C at 760 mmHg
-
熔点87ºC
-
化学式C7H10ClN3
-
结构式
1、 摩尔折射率:46.46
2、 摩尔体积(cm3/mol):142.0
3、 等张比容(90.2K):371.1
4、 表面张力(dyne/cm):46.5
5、 极化率(10-24cm3):18.42
-
闪点129.9±21.8 °C
-
分子量171.627
-
精确质量171.056320
-
P S A29.02000
-
外观形状
-
储存条件
储存于阴凉、干燥、通风良好的库房。远离火种、热源。防止阳光直射。包装密封。应与酸类、食用化学品分开存放,切忌混储。储区应备有合适的材料收容泄漏物。
-
稳定性
-
水溶解性
-
形态白色蜡状物
-
H L B值
-
粘度
-
PH值
作用/用途
1.鼠立死是德国拜耳公司四十年代未开发和推广应用的杀鼠剂,具有灭鼠谱广、使用浓度低的特点,鼠立死的空出优点是蓄积毒性微弱,不易发生二次中毒,有高效解毒剂、低浓度毒饵的接受性能,杀鼠效果与被禁用的氟乙酰胺相当,是一种理想的急性杀鼠剂。张家口市化工所已进行中试,并通过省级鉴定。 2.高效、剧毒、急性杀鼠剂。中毒症状为典型的神经性毒剂症状,首先表现兴奋不安,继之强直性痉挛、惊厥,其选择性毒力认为是进入机体后,被代谢产生维生素B6的拮抗剂,作为一种酶抑制剂,破坏了谷氨酸脱羧代谢所致。本品灭鼠靶谱广,作用迅速,对家栖鼠和野栖鼠均有良好灭效。
制备方法
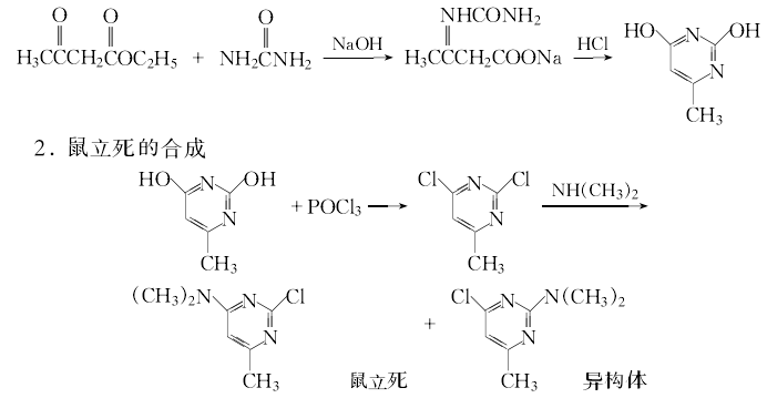
先用乙酰乙酸乙酯与尿素缩合,制备2,4-二羟基-6-甲基嘧啶,然后用POCl3作氯化剂,在短时间内生成2,4-二氯-6-甲基嘧啶,氯化产物在室温下与二甲胺反应,制得鼠立死与异构体的比便为4:1。
2,4-二羟基-6-甲基嘧啶的制备
鼠立死的合成
安全提醒
MSDS
|
1.1 产品标识符
: 鼠立死 产品名称 1.2 鉴别的其他方法 无数据资料 1.3 有关的确定了的物质或混合物的用途和建议不适合的用途 仅供科研用途,不作为药物、家庭备用药或其它用途。
模块2. 危险性概述 2.1 GHS分类 急性毒性, 经口 (类别1) 急性毒性, 经皮 (类别4) 严重的眼损伤 (类别1) 2.2 GHS 标记要素,包括预防性的陈述 象形图 警示词危险 危险申明 H300吞咽致命。 H312皮肤接触有害。 H318造成严重眼损伤。 警告申明 预防 P264操作后彻底清洁皮肤。 P270使用本产品时不要进食、饮水或吸烟。 P280穿戴防护手套/ 眼保护罩/ 面部保护罩。 措施 P301 + P310如果吞下去了: 立即呼救解毒中心或医生。 P302 + P352如与皮肤接触,用大量肥皂和水冲洗受感染部位. P305 + P351 + P338如与眼睛接触,用水缓慢温和地冲洗几分钟。如戴隐形眼镜并可方便地取 出,取出隐形眼镜,然后继续冲洗. P310立即呼叫中毒控制中心或医生. P322具体措施(见本标签上提供的急救指导)。 P330漱口。 P363沾染的衣服清洗后方可重新使用。 储存 P405存放处须加锁。 处理 P501将内容物/ 容器处理到得到批准的废物处理厂。 2.3 其它危害物 - 无 模块3. 成分/组成信息 3.1 物 质 : C7H10ClN3 分子式 : 171.63 g/mol 分子量 组分浓度或浓度范围 Crimidine - CAS 号535-89-7 EC-编号208-622-6 索引编号613-004-00-8 模块4. 急救措施 4.1 必要的急救措施描述 一般的建议 请教医生。 出示此安全技术说明书给到现场的医生看。 吸入 如果吸入,请将患者移到新鲜空气处。 如果停止了呼吸,给于人工呼吸。 请教医生。 皮肤接触 用肥皂和大量的水冲洗。 立即将患者送往医院。 请教医生。 眼睛接触 用大量水彻底冲洗至少15分钟并请教医生。 食入 切勿给失去知觉者从嘴里喂食任何东西。 用水漱口。 请教医生。 4.2 主要症状和影响,急性和迟发效应 4.3 及时的医疗处理和所需的特殊处理的说明和指示 无数据资料 模块5. 消防措施 5.1 灭火介质 灭火方法及灭火剂 用水雾,耐醇泡沫,干粉或二氧化碳灭火。 5.2 源于此物质或混合物的特别的危害 碳氧化物, 氮氧化物, 氯化氢气体 碳氧化物, 氮氧化物, 氯化氢气体 5.3 给消防员的建议 如必要的话,戴自给式呼吸器去救火。 5.4 进一步信息 无数据资料 模块6. 泄露应急处理 6.1 人员的预防,防护设备和紧急处理程序 戴呼吸罩。 防止粉尘的生成。 防止吸入蒸汽、气雾或气体。 保证充分的通风。 将人员撤离到安全区域。 避免吸入粉尘。 6.2 环境保护措施 在确保安全的前提下,采取措施防止进一步的泄漏或溢出。 不要让产物进入下水道。 6.3 抑制和清除溢出物的方法和材料 收集、处理泄漏物,不要产生灰尘。 扫掉和铲掉。 存放进适当的闭口容器中待处理。 6.4 参考其他部分 丢弃处理请参阅第13节。 模块7. 操作处置与储存 7.1 安全操作的注意事项 避免接触皮肤和眼睛。 防止粉尘和气溶胶生成。 在有粉尘生成的地方,提供合适的排风设备。 7.2 安全储存的条件,包括任何不兼容性 贮存在阴凉处。 容器保持紧闭,储存在干燥通风处。 7.3 特定用途 无数据资料 模块8. 接触控制和个体防护 8.1 容许浓度 最高容许浓度 没有已知的国家规定的暴露极限。 8.2 暴露控制 适当的技术控制 避免与皮肤、眼睛和衣服接触。 休息以前和操作过此产品之后立即洗手。 个体防护设备 眼/面保护 面罩與安全眼鏡请使用经官方标准如NIOSH (美国) 或 EN 166(欧盟) 检测与批准的设备防护眼部。 皮肤保护 戴手套取 手套在使用前必须受检查。 请使用合适的方法脱除手套(不要接触手套外部表面),避免任何皮肤部位接触此产品. 使用后请将被污染过的手套根据相关法律法规和有效的实验室规章程序谨慎处理. 请清洗并吹干双手 所选择的保护手套必须符合EU的89/686/EEC规定和从它衍生出来的EN 376标准。 沉浸保护 联合国运输名称: 丁腈橡胶 最小的层厚度 0.11 mm 溶剂渗透时间: > 480 min 测试过的物质Dermatril® ( Z677272, 规格 M) 飞溅保护 联合国运输名称: 丁腈橡胶 最小的层厚度 0.11 mm 溶剂渗透时间: > 30 min 测试过的物质Dermatril® ( Z677272, 规格 M) 0 测试方法 EN374 如果以溶剂形式应用或与其它物质混合应用,或在不 同于EN 374规定的条件下应用,请与EC批准的手套的供应 商联系。 这个推荐只是建议性的,并且务必让熟悉我们客户计划使用的特定情况的工业卫生学专家评估确认才可. 这不应该解释为在提供对任何特定使用情况方法的批准. 身体保护 全套防化学试剂工作服, 防护设备的类型必须根据特定工作场所中的危险物的浓度和含量来选择。 呼吸系统防护 如危险性评测显示需要使用空气净化的防毒面具,请使用全面罩式多功能微粒防毒面具N100型(US )或P3型(EN 143)防毒面具筒作为工程控制的候补。如果防毒面具是保护的唯一方式,则使用全面罩式送风防毒 面具。 呼吸器使用经过测试并通过政府标准如NIOSH(US)或CEN(EU)的呼吸器和零件。 模块9. 理化特性 9.1 基本的理化特性的信息 a) 外观与性状 形状: 结晶 颜色: 无色 b) 气味 无臭 c) 气味阈值 无数据资料 d) pH值 无数据资料 e) 熔点/凝固点 无数据资料 f) 起始沸点和沸程 无数据资料 g) 闪点 无数据资料 h) 蒸发速率 无数据资料 i) 易燃性(固体,气体) 无数据资料 j) 高的/低的燃烧性或爆炸性限度 无数据资料 k) 蒸汽压 无数据资料 l) 蒸汽密度 无数据资料 m) 相对密度 无数据资料 n) 水溶性 不溶 o) n-辛醇/水分配系数 辛醇--水的分配系数的对数值: 1.794 p) 自燃温度 无数据资料 q) 分解温度 无数据资料 r) 粘度 无数据资料 模块10. 稳定性和反应活性 10.1 反应性 无数据资料 10.2 稳定性 无数据资料 10.3 危险反应的可能性 无数据资料 10.4 应避免的条件 无数据资料 10.5 不兼容的材料 强氧化剂 10.6 危险的分解产物 其它分解产物 - 无数据资料 模块11. 毒理学资料 11.1 毒理学影响的信息 急性毒性 半数致死剂量 (LD50) 经口 - 大鼠 - 1.25 mg/kg 半数致死剂量 (LD50) 经皮 - 大鼠 - > 1,000 mg/kg 皮肤刺激或腐蚀 无数据资料 眼睛刺激或腐蚀 无数据资料 呼吸道或皮肤过敏 长期或反复接触导致个别人过敏反应 生殖细胞突变性 无数据资料 致癌性 IARC: 此产品中没有大于或等于 0。1%含量的组分被 IARC鉴别为可能的或肯定的人类致癌物。 生殖毒性 无数据资料 特异性靶器官系统毒性(一次接触) 无数据资料 特异性靶器官系统毒性(反复接触) 无数据资料 吸入危险 无数据资料 潜在的健康影响 吸入吸入可能有害。 可能引起呼吸道刺激。 摄入如果服入了可能会致死。 皮肤如果通过皮肤被吸收是有害的。 可能引起皮肤刺激。 眼睛引起眼睛烧伤。 附加说明 化学物质毒性作用登记: UV8050000 模块12. 生态学资料 12.1 生态毒性 无数据资料 12.2 持久存留性和降解性 无数据资料 12.3 潜在的生物蓄积性 无数据资料 12.4 土壤中的迁移性 无数据资料 12.5 PBT 和 vPvB的结果评价 无数据资料 12.6 其它不利的影响 无数据资料 模块13. 废弃处置 13.1 废物处理方法 产品 将剩余的和未回收的溶液交给处理公司。 与易燃溶剂相溶或者相混合,在备有燃烧后处理和洗刷作用的化学焚化炉中燃烧 受污染的容器和包装 作为未用过的产品弃置。 模块14. 运输信息 14.1 联合国危险货物编号 欧洲陆运危规: 2811国际海运危规: 2811国际空运危规: 2811 14.2 联合国(UN)规定的名称 欧洲陆运危规: TOXIC SOLID, ORGANIC, N.O.S. (Crimidine) 国际海运危规: TOXIC SOLID, ORGANIC, N.O.S. (Crimidine) 国际空运危规: Toxic solid, organic, n.o.s. (Crimidine) 14.3 运输危险类别 欧洲陆运危规: 6.1国际海运危规: 6.1国际空运危规: 6.1 14.4 包裹组 欧洲陆运危规: I国际海运危规: I国际空运危规: I 14.5 环境危险 欧洲陆运危规: 否国际海运危规 海运污染物: 否国际空运危规: 否 14.6 对使用者的特别提醒 无数据资料 模块16. 其他信息 进一步信息 版权所有:2012 Co. LLC. 公司。许可无限制纸张拷贝,仅限于内部使用。 上述信息视为正确,但不包含所有的信息,仅作为指引使用。本文件中的信息是基于我们目前所知,就正 确的安全提示来说适用于本品。该信息不代表对此产品性质的保证。 参见发票或包装条的反面。 模块 15 - 法规信息 N/A |
原料简介
应用范围
毒性和生态
安全信息
| 符号 |
GHS06 |
|---|---|
| 信号词 | Danger |
| 危害声明 | H300 |
| 警示性声明 | P301 + P310 + P330 |
| 个人防护装备 | Eyeshields;Faceshields;full-face particle respirator type N100 (US);Gloves;respirator cartridge type N100 (US);type P1 (EN143) respirator filter;type P3 (EN 143) respirator cartridges |
| 危害码 (欧洲) | T+:Verytoxic; |
| 风险声明 (欧洲) | R28 |
| 安全声明 (欧洲) | S36/37-S45 |
| 危险品运输编码 | UN 2811 |
| RTECS号 | UV8050000 |
| 包装等级 | I |
| 危险类别 | 6.1(a) |
| 海关编码 | 2933599017 |
是否危险品
危险性
危险类别码
危险等级
触发危险方式
安全技术说明书
环境影响程度
包装与储运
相关供应商

搜索







